Product Images Chlordiazepoxide Hydrochloride And Clidinium Bromide

View Photos of Packaging, Labels & Appearance

Product Label Images

The following 3 images provide visual information about the product associated with Chlordiazepoxide Hydrochloride And Clidinium Bromide NDC 70700-185 by Xiromed, Llc, such as packaging, labeling, and the appearance of the drug itself. This resource could be helpful for medical professionals, pharmacists, and patients seeking to verify medication information and ensure they have the correct product.

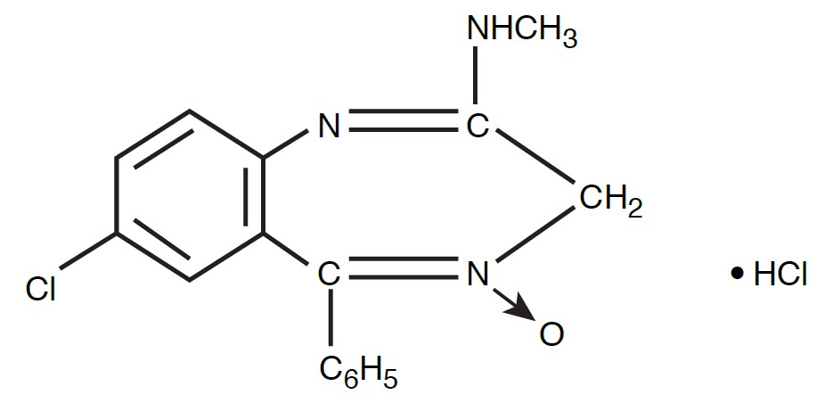
chlordiazepoxide - chlordiazepoxide

chlordiazepoxide - chlordiazepoxide

HCI stands for Human-Computer Interaction. It refers to the study of designing, evaluating, and implementing interactive computing systems for human use and how humans interact with digital technology. This includes the study of user experience, usability, user interface design, and accessibility. The goal of HCI is to provide efficient and effective interfaces between humans and computers, improving users' experience and productivity.*

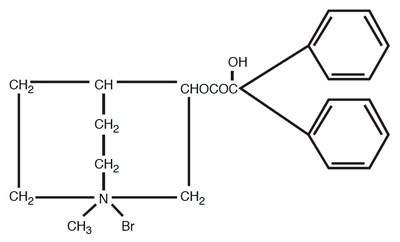
clidinium - clidinium

clidinium - clidinium

label - label

label - label

This is a description of Chlordiazepoxide Hydrochloride and Clidinium Bromide Capsules. Each capsule contains 5mg of Chlordiazepoxide HCI USP and 2.5mg of Clidinium Bromide USP. The recommended dosage is one or two capsules 3 or 4 times a day, before meals and at bedtime, for adults. The medication guide should be dispensed to each patient. The capsules should be stored at 25°C (77°F) with excursions permitted to 15° to 30 °C (59° to 86°F) in a tight, light-resistant container as defined in the USP/NF. It is RxOnly and manufactured by Xiromed, LLC.*

* The product label images have been analyzed using a combination of traditional computing and machine learning techniques. It should be noted that the descriptions provided may not be entirely accurate as they are experimental in nature. Use the information in this page at your own discretion and risk.