Product Images Halobetasol Propionate

View Photos of Packaging, Labels & Appearance

Product Label Images

The following 3 images provide visual information about the product associated with Halobetasol Propionate NDC 70752-119 by Quagen Pharmaceuticals Llc, such as packaging, labeling, and the appearance of the drug itself. This resource could be helpful for medical professionals, pharmacists, and patients seeking to verify medication information and ensure they have the correct product.

Halobetasol Propionate Ointment, 0.05% - 15g Carton - carton label 15g

Halobetasol Propionate Ointment, 0.05% - 15g Carton - carton label 15g

Halobetasol Propionate Ointment is a medication for topical use only, for which each gram contains 0.5 mg of halobetasol propionate in addition to other ingredients like aluminum stearate, white beeswax, monostearyl citrate, and propylene glycol. The ointment should be applied once or twice daily or as recommended by a physician and should be kept out of the reach of children. The usual dosage instructions and additional details are provided in the insert. The manufacturing company is Quagen Pharmaceuticals LLC, located in West Caldwell, NJ 07006. Lot no. and exp. date on carton and crimp of tube, and it should not be used for eyes.*

Halobetasol Propionate Ointment, 0.05% - 50g Carton Label - carton label 50g

Halobetasol Propionate Ointment, 0.05% - 50g Carton Label - carton label 50g

Halobetasol Propionate Ointment is a topical medication for external use only. Each gram of the ointment contains 0.5mg of halobetasol propionate in a base of aluminum stearate, white beeswax, pentaerythritol cocoate, propylene glycol, sorbitan sesquioleate, monostearyl citrate, and white petrolatum. The ointment is intended to be applied once or twice daily, or as directed by a physician. The medication is not recommended for use in or around the eyes and should be kept out of the reach of children, and should be stored between 20°-25°C (68°-77°F) . The lot number and expiration date can be found on both the carton and crimp of the tube. The product is manufactured by Quagen Pharmaceuticals LLC.*

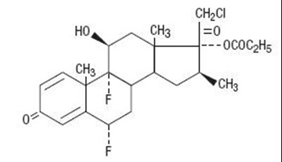
chemicalstructure - chemicalstructure

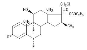
chemicalstructure - chemicalstructure

* The product label images have been analyzed using a combination of traditional computing and machine learning techniques. It should be noted that the descriptions provided may not be entirely accurate as they are experimental in nature. Use the information in this page at your own discretion and risk.