Product Images Tonmya
View Photos of Packaging, Labels & Appearance
Product Label Images
The following 6 images provide visual information about the product associated with Tonmya NDC 70792-102 by Tonix Medicines, Inc., such as packaging, labeling, and the appearance of the drug itself. This resource could be helpful for medical professionals, pharmacists, and patients seeking to verify medication information and ensure they have the correct product.
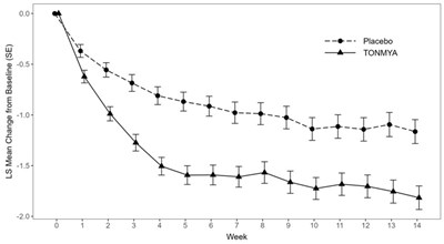
Figure 1 Trial 1 - tonmya 02

LS Mean Change from Baseline (SE) for Placebo and TONMYA. The values are not specified in the provided text.*
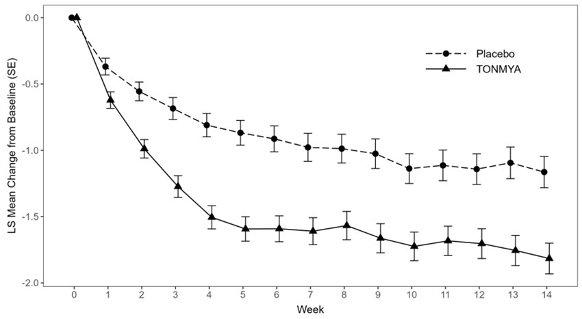
Figure 2 Trial 1 - tonmya 04

This is a chart showing the percentage of subjects experiencing a reduction in pain when using TONMYA compared to a placebo. The percentages range from 20% to 100%, with various levels of reduction in pain noted.*
Figure 2 Trial 3 - tonmya 05

This text provides information about the percentage reduction in pain for subjects comparing Placebo vs. TONMYA. It includes percentages ranging from 20% to 100%, highlighting the different levels of pain reduction observed.*
PRINCIPAL DISPLAY PANEL - 2.8 mg Tablet Bottle Label - tonmya 06

This appears to be the label of a medication called TONMYya™ containing 28mg of Lobenzaprine HCI per sublingual tablet. The text provides information on proper storage conditions, including keeping the medication at a temperature between 20°C and 25°C and protecting it from moisture. It also advises keeping the medication out of reach of children and storing it in the original container with the desiccant canister. The label also includes the NDC (National Drug Code) number, quantity (90 tablets), and contact information for the manufacturer in Chatham, NJ.*
* The product label images have been analyzed using a combination of traditional computing and machine learning techniques. It should be noted that the descriptions provided may not be entirely accurate as they are experimental in nature. Use the information in this page at your own discretion and risk.