Product Images Pedizolpak

View Photos of Packaging, Labels & Appearance

Product Label Images

The following 4 images provide visual information about the product associated with Pedizolpak NDC 70859-053 by Nucare Pharmaceuticals,inc., such as packaging, labeling, and the appearance of the drug itself. This resource could be helpful for medical professionals, pharmacists, and patients seeking to verify medication information and ensure they have the correct product.

PDP - FUNGOID TINCTURE

PDP - FUNGOID TINCTURE

This appears to be a label of a drug product called "PEDINOL' fungoid tincture" which contains an active ingredient called miconazole nitrate 2%, used as a topical antifungal. The label also includes some dosage instructions and a caution against use in the eyes.*

pdp - PedizolPAK

pdp - PedizolPAK

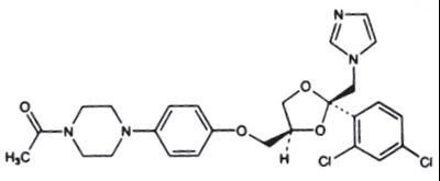
Chemical Structure - ketoconazole 01

Chemical Structure - ketoconazole 01

PRINCIPAL DISPLAY PANEL - 15 g Tube Carton - ketoconazole 02

PRINCIPAL DISPLAY PANEL - 15 g Tube Carton - ketoconazole 02

* The product label images have been analyzed using a combination of traditional computing and machine learning techniques. It should be noted that the descriptions provided may not be entirely accurate as they are experimental in nature. Use the information in this page at your own discretion and risk.