Product Images Furosemide
View Photos of Packaging, Labels & Appearance
Product Label Images
The following 4 images provide visual information about the product associated with Furosemide NDC 70860-302 by Athenex Pharmaceutical Division, Llc., such as packaging, labeling, and the appearance of the drug itself. This resource could be helpful for medical professionals, pharmacists, and patients seeking to verify medication information and ensure they have the correct product.
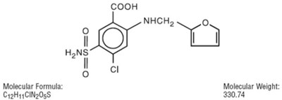
Structural Formula - fur04 0002 01

This is a molecular formula and molecular weight of a chemical compound. The compound is made up of 42 carbon atoms, 11 hydrogen atoms, 1 chlorine atom, 2 oxygen atoms, 1 sulfur atom with a total molecular weight of 330.74 g/mol.*
PACKAGE LABEL – PRINCIPAL DISPLAY PANEL – Vial Label - fur04 0002 02

This is a medication called Furosemide in the form of an injection that contains 20mg per 2 mL, manufactured for Athenex in India. It is to be used for intravenous or intramuscular use while being stored at 20° to 25°C. The unused potion must be discarded and the solution should be clear and colorless to use. The packaging has a unique code that is TN/DRUGS/616/1996, and the product is contained in a single-dose vial.*
PACKAGE LABEL – PRINCIPAL DISPLAY PANEL – Vial Label - fur04 0002 03

Furosemide is a medication in injection form with a concentration of 40 mg per 4mL. The medication is manufactured for Athenex located in Schaumburg, IL, USA and is made in India. The lot number is (01)00370860302423 and the expiration date is not provided. It should be protected from light. There is also an unvarnished area measuring 17 x 10 mm.*
PACKAGE LABEL – PRINCIPAL DISPLAY PANEL – Vial Label - fur04 0002 04

NDC 70860-302-43 Beonly's Adienex, Water for Intramuscular Use is an injection made in India by Athenex, which comes in a Single-Dose 10 mL vial with a concentration of 10 mg per mL. The product should be protected from light and stored in an unvarnished area. The code number for this product is TNDRUGS B1s/1905.*
* The product label images have been analyzed using a combination of traditional computing and machine learning techniques. It should be noted that the descriptions provided may not be entirely accurate as they are experimental in nature. Use the information in this page at your own discretion and risk.