Product Images Lisinopril

View Photos of Packaging, Labels & Appearance

Product Label Images

The following 2 images provide visual information about the product associated with Lisinopril NDC 70934-120 by Denton Pharma, Inc. Dba Northwind Pharmaceuticals, such as packaging, labeling, and the appearance of the drug itself. This resource could be helpful for medical professionals, pharmacists, and patients seeking to verify medication information and ensure they have the correct product.

70934 120 30 Master Bottle Label Approval Rev B 03 19

70934 120 30 Master Bottle Label Approval   Rev B 03 19

This is a medication called Lisinopril, available in the form of tablets. Each tablet has a strength of 10mg. The National Drug Code (NDC) for this medication is 70934-120-30. The rest of the text is not readable and may be a part of the medication's packaging.*

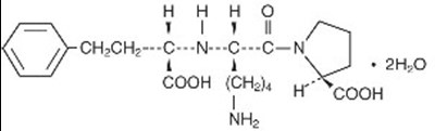
Chemical Structure - e299d477 a612 4af4 b6aa f5addc8a736d 01

Chemical Structure - e299d477 a612 4af4 b6aa f5addc8a736d 01

* The product label images have been analyzed using a combination of traditional computing and machine learning techniques. It should be noted that the descriptions provided may not be entirely accurate as they are experimental in nature. Use the information in this page at your own discretion and risk.