Product Images Escitalopram Oxalate

View Photos of Packaging, Labels & Appearance

Product Label Images

The following 6 images provide visual information about the product associated with Escitalopram Oxalate NDC 70934-163 by Denton Pharma, Inc. Dba Northwind Pharmaceuticals, such as packaging, labeling, and the appearance of the drug itself. This resource could be helpful for medical professionals, pharmacists, and patients seeking to verify medication information and ensure they have the correct product.

70934 163 30 Master Bottle Label Approval Rev B 01 19

70934 163 30 Master Bottle Label Approval   Rev B 01 19

This is a prescription drug with National Drug Code (NDC) 70934-163-30. The name of the drug is Escitalopram. It is available in the form of tablets, USP and each tablet contains 10mg of the drug. The package contains 30 tablets. The remaining text seems to be unreadable or gibberish.*

1 - a659eec9 07cf 4399 abab 7e8036d8b6ad 01

1 - a659eec9 07cf 4399 abab 7e8036d8b6ad 01

This is a table detailing the frequency of adverse reactions observed in patients with Major Depressive Disorder in response to treatment with escitalopram oxalate compared to placebo. The adverse reactions observed with a frequency of more than 2% and higher than placebo are listed in the table. These reactions include dry mouth, sweating, diarrhea, constipation, abdominal pain, influenza-like symptoms, fatigue, insomnia, decreased appetite, decreased libido, rhinitis, sinusitis, ejaculation disorder, impotence, and anorgasmia. There is a note specifying the denominators used for males and females in relation to sexual adverse reactions.*

2 - a659eec9 07cf 4399 abab 7e8036d8b6ad 02

2 - a659eec9 07cf 4399 abab 7e8036d8b6ad 02

This is a table showing the treatment-emergent adverse reactions observed in patients with generalized anxiety disorder. It lists various adverse reactions along with the frequency of their occurrences for patients who were treated with Escitalopram and placebo. Adverse reactions with a frequency greater than 2% and greater than placebo are mentioned. These adverse reactions are broadly categorized into Autonomic Nervous System Disorders, Central and Peripheral Nervous System Disorders, Gastrointestinal Disorders, General, Musculoskeletal System Disorder, Psychiatric Disorders, Respiratory System Disorders, and Trogenital. The table also provides the percentage of occurrence of each of the adverse reactions for Escitalopram and placebo treatment options, respectively.*

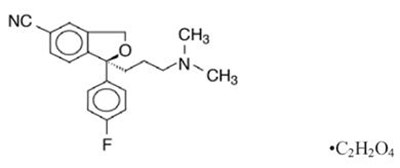
1 - a659eec9 07cf 4399 abab 7e8036d8b6ad 03

1 - a659eec9 07cf 4399 abab 7e8036d8b6ad 03

logo - a659eec9 07cf 4399 abab 7e8036d8b6ad 04

logo - a659eec9 07cf 4399 abab 7e8036d8b6ad 04

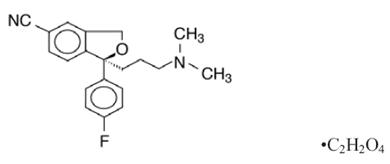
1 - a659eec9 07cf 4399 abab 7e8036d8b6ad 05

1 - a659eec9 07cf 4399 abab 7e8036d8b6ad 05

* The product label images have been analyzed using a combination of traditional computing and machine learning techniques. It should be noted that the descriptions provided may not be entirely accurate as they are experimental in nature. Use the information in this page at your own discretion and risk.