FDA Label for Pramipexole Dihydrochloride Extended-release
View Indications, Usage & Precautions
- 1 INDICATIONS AND USAGE
- 2 DOSAGE AND ADMINISTRATION
- 2.1 GENERAL DOSING CONSIDERATIONS
- 2.2 DOSING FOR PARKINSON’S DISEASE
- 2.3 SWITCHING FROM IMMEDIATE-RELEASE PRAMIPEXOLE TABLETS TO PRAMIPEXOLE DIHYDROCHLORIDE EXTENDED-RELEASE TABLETS
- 3 DOSAGE FORMS AND STRENGTHS
- 4 CONTRAINDICATIONS
- 5.1 FALLING ASLEEP DURING ACTIVITIES OF DAILY LIVING AND SOMNOLENCE
- 5.2 SYMPTOMATIC ORTHOSTATIC HYPOTENSION
- 5.3 IMPULSE CONTROL/COMPULSIVE BEHAVIORS
- 5.4 HALLUCINATIONS AND PSYCHOTIC-LIKE BEHAVIOR
- 5.5 DYSKINESIA
- 5.6 POSTURAL DEFORMITY
- 5.7 RENAL IMPAIRMENT
- 5.8 RHABDOMYOLYSIS
- 5.9 RETINAL PATHOLOGY
- 5.10 EVENTS REPORTED WITH DOPAMINERGIC THERAPY
- 6 ADVERSE REACTIONS
- 6.1 CLINICAL TRIALS EXPERIENCE
- 6.2 POSTMARKETING EXPERIENCE
- 7 DRUG INTERACTIONS
- 7.1 DOPAMINE ANTAGONISTS
- 8.1 PREGNANCY
- 8.2 LACTATION
- 8.4 PEDIATRIC USE
- 8.5 GERIATRIC USE
- 8.6 RENAL IMPAIRMENT
- 10 OVERDOSAGE
- 11 DESCRIPTION
- 12 CLINICAL PHARMACOLOGY
- 12.1 MECHANISM OF ACTION
- 12.2 PHARMACODYNAMICS
- 12.3 PHARMACOKINETICS
- 13.1 CARCINOGENESIS, MUTAGENESIS, IMPAIRMENT OF FERTILITY
- 13.2 ANIMAL TOXICOLOGY AND/OR PHARMACOLOGY
- 14 CLINICAL STUDIES
- 16.1 HOW SUPPLIED
- 16.2 STORAGE AND HANDLING
- 17 PATIENT COUNSELING INFORMATION
- PATIENT INFORMATION
- PACKAGE LABEL PRINCIPAL PANEL
Pramipexole Dihydrochloride Extended-release Product Label
The following document was submitted to the FDA by the labeler of this product Xiamen Lp Pharmaceutical Co., Ltd.. The document includes published materials associated whith this product with the essential scientific information about this product as well as other prescribing information. Product labels may durg indications and usage, generic names, contraindications, active ingredients, strength dosage, routes of administration, appearance, warnings, inactive ingredients, etc.
1 Indications And Usage
Pramipexole dihydrochloride extended-release tablets are indicated for the treatment of Parkinson’s disease.
2 Dosage And Administration
2.1 General Dosing Considerations
Pramipexole dihydrochloride extended-release tablets are taken orally once daily, with or without food.
Pramipexole dihydrochloride extended-release tablets must be swallowed whole and must not be chewed, crushed, or divided.
If a significant interruption in therapy with pramipexole dihydrochloride extended-release tablets has occurred, re-titration of therapy may be warranted.
2.2 Dosing For Parkinson’S Disease
The starting dose is 0.375 mg given once per day. Based on efficacy and tolerability, dosages may be increased gradually, not more frequently than every 5 to 7 days, first to 0.75 mg per day and then by 0.75 mg increments up to a maximum recommended dose of 4.5 mg per day.
In clinical trials, dosage was initiated at 0.375 mg/day and gradually titrated based on individual therapeutic response and tolerability. Doses greater than 4.5 mg/day have not been studied in clinical trials. Patients should be assessed for therapeutic response and tolerability at a minimal interval of 5 days or longer after each dose increment [ see Clinical Studies ( 14) ].
Due to the flexible dose design used in clinical trials, specific dose-response information could not be determined [ see Clinical Studies ( 14) ].
Pramipexole dihydrochloride extended-release tablets may be tapered off at a rate of 0.75 mg per day until the daily dose has been reduced to 0.75 mg. Thereafter, the dose may be reduced by 0.375 mg per day [ see Warnings and Precautions ( 5.10) ].
Dosing in Patients with Renal Impairment
In patients with moderate renal impairment (creatinine clearance between 30 and 50 mL/min), pramipexole dihydrochloride extended-release tablets should initially be taken every other day. Caution should be exercised and careful assessment of therapeutic response and tolerability should be made before increasing to daily dosing after one week, and before any additional titration in 0.375 mg increments up to 2.25 mg per day. Dose adjustment should occur no more frequently than at weekly intervals.
Pramipexole dihydrochloride extended-release tablets have not been studied in patients with severe renal impairment (creatinine clearance <30 mL/min) or patients on hemodialysis, and are not recommended in these patients.
2.3 Switching From Immediate-Release Pramipexole Tablets To Pramipexole Dihydrochloride Extended-Release Tablets
Patients with Parkinson’s disease may be switched overnight from immediate-release pramipexole tablets to pramipexole dihydrochloride extended-release tablets at the same daily dose. When switching between immediate-release pramipexole tablets and pramipexole dihydrochloride extended-release tablets, patients should be monitored to determine if dosage adjustment is necessary.
3 Dosage Forms And Strengths
- 0.375 mg white to off-white, round, convex shaped, extended-release tablets debossed with “002” on one side and plain on the other side. Each extended-release tablet contains 0.375 mg pramipexole dihydrochloride monohydrate equivalent to 0.352 mg pramipexole dihydrochloride.
- 0.75 mg white to off-white, round, convex shaped, extended-release tablets debossed with “003” on one side and plain on the other side. Each extended-release tablet contains 0.75 mg pramipexole dihydrochloride monohydrate equivalent to 0.705 mg pramipexole dihydrochloride.
4 Contraindications
None.
5.1 Falling Asleep During Activities Of Daily Living And Somnolence
Patients treated with pramipexole have reported falling asleep while engaged in activities of daily living, including the operation of motor vehicles, which sometimes resulted in accidents. Although many of these patients reported somnolence while on pramipexole tablets, some perceived that they had no warning signs (sleep attack) such as excessive drowsiness, and believed that they were alert immediately prior to the event. Some of these events had been reported as late as one year after the initiation of treatment. In placebo-controlled clinical trials in Parkinson’s disease, the sudden onset of sleep or sleep attacks were reported in 8 of 387 (2%) patients treated with pramipexole dihydrochloride extended-release tablets compared to 2 of 281 (1%) patients on placebo.
In early Parkinson’s disease, somnolence was reported in 36% of 223 patients treated with pramipexole dihydrochloride extended-release tablets, median dose 3.0 mg/day, compared to 15% of 103 patients on placebo. In advanced Parkinson’s disease, somnolence was reported in 15% of 164 patients treated with pramipexole dihydrochloride extended-release tablets, median dose 3 mg/day, compared to 16% of 178 patients on placebo. It has been reported that falling asleep while engaged in activities of daily living usually occurs in a setting of preexisting somnolence, although patients may not give such a history. For this reason, prescribers should reassess patients for drowsiness or sleepiness, especially since some of the events occur well after the start of treatment. Prescribers should also be aware that patients may not acknowledge drowsiness or sleepiness until directly questioned about drowsiness or sleepiness during specific activities.
Before initiating treatment with pramipexole dihydrochloride extended-release tablets, advise patients of the potential to develop drowsiness, and specifically ask about factors that may increase the risk for somnolence such as the use of concomitant sedating medications or alcohol, the presence of sleep disorders, and concomitant medications that increase pramipexole plasma levels (e.g., cimetidine) [ see Clinical Pharmacology ( 12.3) ]. If a patient develops significant daytime sleepiness or episodes of falling asleep during activities that require active participation (e.g., conversations, eating, etc.), pramipexole dihydrochloride extended-release tablets should ordinarily be discontinued. If a decision is made to continue pramipexole dihydrochloride extended-release tablets, advise patients not to drive and to avoid other potentially dangerous activities that might result in harm if the patients become somnolent. While dose reduction reduces the degree of somnolence, there is insufficient information to establish that dose reduction will eliminate episodes of falling asleep while engaged in activities of daily living.
5.2 Symptomatic Orthostatic Hypotension
Dopamine agonists, in clinical studies and clinical experience, appear to impair the systemic regulation of blood pressure, with resulting orthostatic hypotension, especially during dose escalation. Parkinson’s disease patients, in addition, appear to have an impaired capacity to respond to an orthostatic challenge. For these reasons, Parkinson’s disease patients being treated with dopaminergic agonists, including pramipexole dihydrochloride extended-release tablets, ordinarily require careful monitoring for signs and symptoms of orthostatic hypotension, especially during dose escalation, and should be informed of this risk. In placebo-controlled clinical trials in Parkinson’s disease, symptomatic orthostatic hypotension was reported in 10 of 387 (3%) patients treated with pramipexole dihydrochloride extended-release tablets compared to 3 of 281 (1%) patients on placebo. One patient of 387 on pramipexole dihydrochloride extended-release tablets discontinued treatment due to hypotension.
5.3 Impulse Control/Compulsive Behaviors
Case reports and the results of cross-sectional studies suggest that patients can experience intense urges to gamble, increased sexual urges, intense urges to spend money, binge eating, and/or other intense urges, and the inability to control these urges while taking one or more of the medications, including pramipexole dihydrochloride extended-release tablets, that increase central dopaminergic tone and that are generally used for the treatment of Parkinson’s disease. In some cases, although not all, these urges were reported to have stopped when the dose was reduced or the medication was discontinued. Because patients may not recognize these behaviors as abnormal, it is important for prescribers to specifically ask patients or their caregivers about the development of new or increased gambling urges, sexual urges, uncontrolled spending or other urges while being treated with pramipexole dihydrochloride extended-release tablets. Physicians should consider dose reduction or stopping the medication if a patient develops such urges while taking pramipexole dihydrochloride extended-release tablets.
A total of 1056 patients with Parkinson’s disease who participated in two pramipexole dihydrochloride extended-release tablets placebo-controlled studies of up to 33 weeks duration were specifically asked at each visit about the occurrence of these symptoms. A total of 14 of 387 (4%) treated with pramipexole dihydrochloride extended-release tablets, 12 of 388 (3%) treated with immediate-release pramipexole tablets, and 4 of 281 (1%) treated with placebo reported compulsive behaviors, including pathological gambling, hypersexuality, and/or compulsive buying.
5.4 Hallucinations And Psychotic-Like Behavior
In placebo-controlled clinical trials in Parkinson’s disease, hallucinations (visual or auditory or mixed) were reported in 25 of 387 (6%) patients treated with pramipexole dihydrochloride extended-release tablets compared to 5 of 281 (2%) patients receiving placebo. Hallucinations led to discontinuation of treatment in 5 of 387 (1%) patients on pramipexole dihydrochloride extended-release tablets.
Age appears to increase the risk of hallucinations attributable to pramipexole. In placebo-controlled clinical trials in Parkinson’s disease, hallucinations were reported in 15 of 162 (9%) patients ≥65 years of age taking pramipexole dihydrochloride extended-release tablets compared to 10 of 225 (4%) patients <65 years of age taking pramipexole dihydrochloride extended-release tablets.
Postmarketing reports with dopamine agonists, including pramipexole dihydrochloride extended-release tablets, indicate that patients may experience new or worsening mental status and behavioral changes, which may be severe, including psychotic-like behavior during treatment with pramipexole dihydrochloride extended-release tablets or after starting or increasing the dose of pramipexole dihydrochloride extended-release tablets. Other drugs prescribed to improve the symptoms of Parkinson’s disease can have similar effects on thinking and behavior. This abnormal thinking and behavior can consist of one or more of a variety of manifestations including paranoid ideation, delusions, hallucinations, confusion, psychotic-like behavior, disorientation, aggressive behavior, agitation, and delirium.
Patients with a major psychotic disorder should ordinarily not be treated with dopamine agonists, including pramipexole dihydrochloride extended-release tablets, because of the risk of exacerbating the psychosis. In addition, certain medications used to treat psychosis may exacerbate the symptoms of Parkinson’s disease and may decrease the effectiveness of pramipexole dihydrochloride extended-release tablets [ see Drug Interactions ( 7.1) ].
5.5 Dyskinesia
Pramipexole dihydrochloride extended-release tablets may cause or exacerbate preexisting dyskinesia.
5.6 Postural Deformity
Postural deformities, including antecollis, camptocormia (Bent Spine Syndrome), and pleurothotonus (Pisa Syndrome), have been reported in patients after starting or increasing the dose of pramipexole dihydrochloride extended-release tablets. Postural deformity may occur several months after starting treatment or increasing the dose. Reducing the dose or discontinuing pramipexole dihydrochloride extended-release tablets has been reported to improve postural deformity in some patients, and should be considered if postural deformity occurs.
5.7 Renal Impairment
The elimination of pramipexole is dependent on renal function [see Clinical Pharmacology (12.3)]. Patients with mild renal impairment (a creatinine clearance above 50 mL/min) require no reduction in daily dose. Pramipexole dihydrochloride extended-release tablets have not been studied in patients with moderate to severe renal impairment (creatinine clearance <50 mL/min) or on hemodialysis [ see Dosage and Administration ( 2.2), Use in Specific Populations ( 8.6), and Clinical Pharmacology ( 12.3) ].
5.8 Rhabdomyolysis
In the clinical development program for immediate-release pramipexole tablets, a single case of rhabdomyolysis occurred in a 49-year-old male with advanced Parkinson’s disease. The patient was hospitalized with an elevated CPK (10,631 IU/L). The symptoms resolved with discontinuation of the medication.
Advise patients to contact a physician if they experience any unexplained muscle pain, tenderness, or weakness, as these may be symptoms of rhabdomyolysis.
5.9 Retinal Pathology
Human Data
A two-year open-label, randomized, parallel-group safety study of retinal deterioration and vision compared immediate-release pramipexole tablets and immediate-release ropinirole. Two hundred thirty four Parkinson’s disease patients (115 on pramipexole, mean dose 3.0 mg/day and 119 on ropinirole, mean dose 9.5 mg/day) were evaluated using a panel of clinical ophthalmological assessments. Of 234 patients who were evaluable, 196 had been treated for two years and 29 were judged to have developed clinical abnormalities that were considered meaningful (19 patients in each treatment arm had received treatment for less than two years). There was no statistical difference in retinal deterioration between the treatment arms; however, the study was only capable of detecting a very large difference between treatments. In addition, because the study did not include an untreated comparison group (placebo treated), it is unknown whether the findings reported in patients treated with either drug are greater than the background rate in an aging population.
Animal Data
Pathologic changes (degeneration and loss of photoreceptor cells) were observed in the retina of albino rats in a 2-year carcinogenicity study. While retinal degeneration was not diagnosed in pigmented rats treated for 2 years, a thinning in the outer nuclear layer of the retina was slightly greater in rats given drug compared with controls. Evaluation of the retinas of albino mice, monkeys, and minipigs did not reveal similar changes. The potential significance of this effect for humans has not been established, but cannot be disregarded because disruption of a mechanism that is universally present in vertebrates (i.e., disk shedding) may be involved [
see Nonclinical Toxicology (
13.2)
].
5.10 Events Reported With Dopaminergic Therapy
Although the events enumerated below may not have been reported with the use of pramipexole in its development program, they are associated with the use of other dopaminergic drugs. The expected incidence of these events, however, is so low that even if pramipexole caused these events at rates similar to those attributable to other dopaminergic therapies, it would be unlikely that even a single case would have occurred in a cohort of the size exposed to pramipexole in studies to date.
Hyperpyrexia and Confusion
Although not reported with pramipexole in the clinical development program, a symptom complex resembling the neuroleptic malignant syndrome (characterized by elevated temperature, muscular rigidity, altered consciousness, and autonomic instability), with no other obvious etiology, has been reported in association with rapid dose reduction, withdrawal of, or changes in dopaminergic therapy. If possible, avoid sudden discontinuation or rapid dose reduction in patients taking pramipexole dihydrochloride extended-release tablets. If the decision is made to discontinue pramipexole dihydrochloride extended-release tablets, the dose should be tapered to reduce the risk of hyperpyrexia and confusion [
see Dosage and Administration (
2.2)
].
Fibrotic Complications
Cases of retroperitoneal fibrosis, pulmonary infiltrates, pleural effusion, pleural thickening, pericarditis, and cardiac valvulopathy have been reported in patients treated with ergot-derived dopaminergic agents. While these complications may resolve when the drug is discontinued, complete resolution does not always occur.
Although these adverse events are believed to be related to the ergoline structure of these compounds, whether other, non-ergot derived dopamine agonists can cause them is unknown.
Cases of possible fibrotic complications, including peritoneal fibrosis, pleural fibrosis, and pulmonary fibrosis have been reported in the postmarketing experience with immediate-release pramipexole tablets. While the evidence is not sufficient to establish a causal relationship between pramipexole and these fibrotic complications, a contribution of pramipexole cannot be completely ruled out.
6 Adverse Reactions
The following adverse reactions are discussed in greater detail in other sections of the labeling:
- Falling Asleep During Activities of Daily Living and Somnolence [ see Warnings and Precautions ( 5.1) ]
- Symptomatic Orthostatic Hypotension [ see Warnings and Precautions ( 5.2) ]
- Impulse Control/Compulsive Behaviors [ see Warnings and Precautions ( 5.3) ]
- Hallucinations and Psychotic-like Behavior [ see Warnings and Precautions ( 5.4)]
- Dyskinesia [see Warnings and Precautions ( 5.5) ]
- Postural Deformity [ see Warnings and Precautions ( 5.6) ]
- Rhabdomyolysis [ see Warnings and Precautions ( 5.8) ]
- Retinal Pathology [ see Warnings and Precautions ( 5.9) ]
- Events Reported with Dopaminergic Therapy [ see Warnings and Precautions ( 5.10) ]
6.1 Clinical Trials Experience
Because clinical trials are conducted under widely varying conditions, adverse reaction rates observed in the clinical trials of a drug cannot be directly compared to rates in the clinical trials of another drug (or of another development program of a different formulation of the same drug) and may not reflect the rates observed in practice.
During the premarketing development of pramipexole dihydrochloride extended-release tablets, patients with early Parkinson’s disease were treated with pramipexole dihydrochloride extended-release tablets, placebo, or immediate-release pramipexole tablets. In addition, a randomized, double-blind, parallel group trial was conducted in 156 early Parkinson’s disease patients (Hoehn & Yahr Stages I-III) to assess overnight switching of immediate-release pramipexole tablets to pramipexole dihydrochloride extended-release tablets. In this latter study, concomitant treatment with stable doses of levodopa, monoamine oxidase B inhibitor (MAOB-I) drugs, anticholinergics, or amantadine, individually or in combination, was allowed. In a third trial, advanced Parkinson’s disease patients received pramipexole dihydrochloride extended-release tablets, placebo, or immediate-release pramipexole tablets as adjunctive therapy to levodopa.
Early Parkinson’s Disease
The most common adverse reactions (≥5% and more frequent than placebo) after 33 weeks of treatment with pramipexole dihydrochloride extended-release tablets in the trial of early Parkinson’s disease patients were somnolence, nausea, constipation, dizziness, fatigue, hallucinations, dry mouth, muscle spasms, and peripheral edema.
Twenty four of 223 (11%) patients treated with pramipexole dihydrochloride extended-release tablets for 33 weeks discontinued treatment due to adverse reactions compared to 4 of 103 (4%) patients who received placebo and approximately 20 of 213 (9%) patients who received immediate-release pramipexole tablets. The adverse reaction most commonly causing discontinuation of treatment with pramipexole dihydrochloride extended-release tablets was nausea (2%).
Table 1 lists adverse reactions that occurred with a frequency of at least 2% with pramipexole dihydrochloride extended-release tablets and were more frequent than with placebo during 33 weeks of treatment in a double-blind, placebo-controlled study in early Parkinson’s disease. In this study, patients did not receive concomitant levodopa; however, levodopa was permitted as rescue medication.
Table 1 Adverse-Reactions in a 33-Week Double-Blind, Placebo-Controlled Trial with Pramipexole Dihydrochloride Extended-Release Tablets in Early Parkinson’s Disease
Body System/Adverse Reaction | Placebo | Pramipexole Dihydrochloride Extended-Release Tablets | Immediate-Release Pramipexole |
(n=103) | (n=223) | (n=213) | |
% | % | % | |
Nervous system disorders | |||
Somnolence | 15 | 36 | 33 |
Dizziness | 7 | 12 | 12 |
Tremor | 1 | 3 | 3 |
Balance disorder | 1 | 2 | 0 |
Gastrointestinal disorders | |||
Nausea | 9 | 22 | 24 |
Constipation | 2 | 14 | 12 |
Dry mouth | 1 | 5 | 4 |
Vomiting | 0 | 4 | 4 |
Upper abdominal pain | 1 | 3 | 4 |
Dyspepsia | 2 | 3 | 3 |
Abdominal discomfort | 0 | 2 | 1 |
Psychiatric disorders | |||
Hallucinations, including visual, auditory and mixed | 1 | 5 | 6 |
Insomnia | 3 | 4 | 4 |
Sleep attacks or sudden onset of sleep | 1 | 3 | 6 |
Sleep disorder | 1 | 2 | 3 |
Depression | 0 | 2 | 0 |
General disorders and administration site conditions | |||
Fatigue | 4 | 6 | 6 |
Peripheral edema | 4 | 5 | 8 |
Asthenia | 2 | 3 | 1 |
Musculoskeletal and connective tissue disorders | |||
Muscle spasms | 3 | 5 | 3 |
Injury, poisoning and procedural complications | |||
Fall | 1 | 4 | 4 |
Ear and labyrinth disorders | |||
Vertigo | 1 | 4 | 2 |
Respiratory, thoracic and mediastinal disorders | |||
Cough | 1 | 3 | 3 |
Metabolism and nutrition disorders | |||
Increased appetite | 1 | 3 | 2 |
Vascular disorders | |||
Orthostatic hypotension | 1 | 3 | 0 |
Because this study used a flexible dose titration design, it was not possible to assess the effects of dose on the incidence of adverse reactions.
Adverse reactions can initially occur in either the titration or maintenance phase. Some adverse reactions developed in pramipexole dihydrochloride extended-release tablets -treated patients during the titration phase and persisted (≥7 days) into the maintenance phase (i.e., pramipexole dihydrochloride extended-release tablets % - placebo % = treatment difference ≥2%); persistent adverse reactions were somnolence, nausea, constipation, fatigue, and dry mouth.
A double-blind, randomized, parallel group trial evaluated the tolerability of an overnight switch from immediate-release pramipexole tablets to pramipexole dihydrochloride extended-release tablets at the same daily dose in 156 early Parkinson’s disease patients with or without levodopa. One of 104 patients switched from immediate-release pramipexole tablets to pramipexole dihydrochloride extended-release tablets discontinued due to adverse reactions (vertigo and nausea).
Advanced Parkinson’s Disease
The most common adverse reactions (≥5% and greater frequency than in placebo) during 18 weeks of treatment with pramipexole dihydrochloride extended-release tablets in the trial of advanced Parkinson’s disease patients with concomitant levodopa were dyskinesia, nausea, constipation, hallucinations, headache, and anorexia.
Eight of 164 (5%) patients treated with pramipexole dihydrochloride extended-release tablets for 18 weeks discontinued treatment due to adverse reactions compared to 7 of 178 (4%) patients who received placebo and 8 of 175 (5%) patients who received immediate-release pramipexole tablets. The most common adverse reactions leading to discontinuation of treatment with pramipexole dihydrochloride extended-release tablets were nausea (1%) and hallucination (1%).
Table 2 lists adverse reactions that occurred with a frequency of at least 2% with pramipexole dihydrochloride extended-release tablets and were more frequent than with placebo during 18 weeks of treatment in patients with advanced Parkinson’s disease treated with pramipexole dihydrochloride extended-release tablets. In this study, pramipexole dihydrochloride extended-release tablets, immediate-release pramipexole tablets, or placebo was administered to patients who were also receiving concomitant levodopa.
Table 2 Adverse-Reactions in an 18-Week Double-Blind, Placebo-Controlled Trial with Pramipexole Dihydrochloride Extended-Release Tablets in Advanced Parkinson’s Disease
Body System/Adverse Reaction | Placebo | Pramipexole Dihydrochloride Extended-Release Tablets | Immediate-Release Pramipexole |
n=178 | n=164 | n=175 | |
% | % | % | |
Nervous system disorders | |||
Dyskinesia | 8 | 17 | 18 |
Headache | 3 | 7 | 4 |
Dizziness (postural) | 1 | 2 | 3 |
Gastrointestinal disorders | |||
Nausea | 10 | 11 | 11 |
Constipation | 5 | 7 | 6 |
Salivary hypersecretion | 0 | 2 | 0 |
Diarrhea | 1 | 2 | 1 |
Psychiatric disorders | |||
Hallucinations, including visual, auditory and mixed | 2 | 9 | 7 |
Insomnia | 2 | 4 | 4 |
Metabolism and nutrition disorders | |||
Anorexia | 2 | 5 | 1 |
Musculoskeletal and connective tissue disorders | |||
Back pain | 1 | 2 | 3 |
Because this flexible dose study used a titration design, it was not possible to assess the effects of dose on the incidence of adverse reactions.
Adverse reactions can initially occur in either the titration or maintenance phase. Some adverse reactions developed in pramipexole dihydrochloride extended-release tablets -treated patients during the titration phase and persisted (≥7 days) into the maintenance phase (i.e., pramipexole dihydrochloride extended-release tablets % - placebo % = treatment difference ≥2%); persistent adverse reactions were dyskinesia and insomnia.
Laboratory Tests
During the development of pramipexole dihydrochloride extended-release tablets, no systematic abnormalities on routine laboratory testing were noted.
Other adverse reactions observed during clinical trials of pramipexole dihydrochloride immediate-release tablets or pramipexole dihydrochloride extended-release tablets in early and advanced Parkinson’s disease.
Other adverse reactions in clinical studies involving pramipexole dihydrochloride immediate-release tablets or pramipexole dihydrochloride extended-release tablets include abnormal dreams, akathisia, amnesia, decreased libido, decreased weight, dyspnea, pneumonia, and vision abnormalities.
6.2 Postmarketing Experience
The following adverse reactions have been identified during post-approval use of pramipexole dihydrochloride immediate-release tablets or pramipexole dihydrochloride extended-release tablets, primarily in Parkinson’s disease patients. Because these reactions are reported voluntarily from a population of uncertain size, it is not always possible to reliably estimate their frequency or establish a causal relationship to drug exposure. Decisions to include these reactions in labeling are typically based on one or more of the following factors: (1) seriousness of the reaction, (2) frequency of reporting, or (3) strength of causal connection to pramipexole tablets.
Cardiac Disorders: cardiac failure
Gastrointestinal Disorders: vomiting
Metabolism and Nutrition Disorders: syndrome of inappropriate antidiuretic hormone secretion (SIADH), weight increase
Musculoskeletal and Connective Tissue Disorders: postural deformity [
see Warnings and Precautions (
5.6)
]
Nervous System Disorders: syncope
Skin and Subcutaneous Tissue Disorders: skin reactions (including erythema, rash, pruritus, urticaria)
There are postmarketing reports of patients noticing tablet residue in their stool that resembles a swollen pramipexole dihydrochloride extended-release tablets whole tablet or swollen pieces of the tablet. Some patients have reported worsening of their Parkinson’s disease symptoms when tablet residue was observed. If a patient reports tablet residue with worsening of their Parkinson’s symptoms, prescribers may need to re-evaluate their medications.
7 Drug Interactions
7.1 Dopamine Antagonists
Since pramipexole is a dopamine agonist, it is possible that dopamine antagonists, such as the neuroleptics (phenothiazines, butyrophenones, thioxanthenes) or metoclopramide, may diminish the effectiveness of pramipexole dihydrochloride extended-release tablets.
8.1 Pregnancy
Risk Summary
There are no adequate data on the developmental risk associated with the use of pramipexole dihydrochloride extended-release tablets in pregnant women. No adverse developmental effects were observed in animal studies in which pramipexole was administered to rabbits during pregnancy. Effects on embryofetal development could not be adequately assessed in pregnant rats; however, postnatal growth was inhibited at clinically relevant exposures [see Data].
In the U.S. general population, the estimated background risk of major birth defects and of miscarriage in clinically recognized pregnancies is 2-4% and 15-20%, respectively. The background risk of major birth defects and miscarriage for the indicated population is unknown.
Data
Animal Data
Oral administration of pramipexole (0.1, 0.5, or 1.5 mg/kg/day) to pregnant rats during the period of organogenesis resulted in a high incidence of total resorption of embryos at the highest dose tested. This increase in embryolethality is thought to result from the prolactin-lowering effect of pramipexole; prolactin is necessary for implantation and maintenance of early pregnancy in rats but not in rabbits or humans. Because of pregnancy disruption and early embryonic loss in this study, the teratogenic potential of pramipexole could not be adequately assessed in rats. The highest no-effect dose for embryolethality in rats was associated with maternal plasma drug exposures (AUC) approximately equal to those in humans receiving the maximum recommended human dose (MRHD) of 4.5 mg/day. There were no adverse effects on embryo-fetal development following oral administration of pramipexole (0.1, 1, or 10 mg/kg/day) to pregnant rabbits during organogenesis (plasma AUC up to approximately 70 times that in humans at the MRHD). Postnatal growth was inhibited in the offspring of rats treated with pramipexole (0.1, 0.5, or 1.5 mg/kg/day) during the latter part of pregnancy and throughout lactation. The no-effect dose for adverse effects on offspring growth (0.1 mg/kg/day) was associated with maternal plasma drug exposures lower than that in humans at the MRHD.
8.2 Lactation
Risk Summary
There are no data on the presence of pramipexole in human milk, the effects of pramipexole on the breastfed infant, or the effects of pramipexole on milk production. However, inhibition of lactation is expected because pramipexole inhibits secretion of prolactin in humans. Pramipexole or metabolites, or both, are present in rat milk [ see Data].
The developmental and health benefits of breastfeeding should be considered along with the mother’s clinical need for pramipexole dihydrochloride extended-release tablets and any potential adverse effects on the breastfed infant from pramipexole dihydrochloride extended-release tablets or from the underlying maternal condition.
Data
In a study of radio-labeled pramipexole, pramipexole or metabolites, or both, were present in rat milk at concentrations three to six times higher than those in maternal plasma.
8.4 Pediatric Use
Safety and effectiveness of pramipexole dihydrochloride extended-release tablets in pediatric patients have not been evaluated.
8.5 Geriatric Use
Pramipexole total oral clearance is approximately 30% lower in subjects older than 65 years compared with younger subjects, because of a decline in pramipexole renal clearance due to an age-related reduction in renal function. This resulted in an increase in elimination half-life from approximately 8.5 hours to 12 hours. In a placebo-controlled clinical trial of pramipexole dihydrochloride extended-release tablets in early Parkinson’s disease, 47% of the 259 patients were ≥65 years of age. Among patients receiving pramipexole dihydrochloride extended-release tablets, hallucinations were more common in the elderly, occurring in 13% of the patients ≥65 years of age compared to 2% of the patients <65 years of age.
8.6 Renal Impairment
The elimination of pramipexole is dependent upon renal function. Pramipexole clearance is extremely low in dialysis patients, as a negligible amount of pramipexole is removed by dialysis [ see Dosage and Administration ( 2.2), Warnings and Precautions ( 5.7), and Clinical Pharmacology ( 12.3) ].
10 Overdosage
There is no clinical experience with significant overdosage. One patient took 11 mg/day of pramipexole for 2 days in a clinical trial for an investigational use. Blood pressure remained stable, although pulse rate increased to between 100 and 120 beats/minute. No other adverse reactions were reported related to the increased dose.
There is no known antidote for overdosage of a dopamine agonist. If signs of central nervous system stimulation are present, a phenothiazine or other butyrophenone neuroleptic agent may be indicated; the efficacy of such drugs in reversing the effects of overdosage has not been assessed. Management of overdose may require general supportive measures along with gastric lavage, intravenous fluids, and electrocardiogram monitoring.
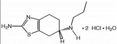
11 Description
Pramipexole dihydrochloride extended-release tablets contain pramipexole dihydrochloride (as a monohydrate). Pramipexole is a non-ergot dopamine agonist. The chemical name of pramipexole dihydrochloride monohydrate is (S)-2-amino-4,5,6,7-tetrahydro-6-(propylamino)benzothiazole dihydrochloride monohydrate. Its empirical formula is C 10H 17N 3S•2HCl•H 2O, and its molecular weight is 302.26.
The structural formula is:
Pramipexole dihydrochloride is a white to off-white powder substance. Melting occurs in the range of 296°C to 301°C, with decomposition. Pramipexole dihydrochloride is more than 20% soluble in water, about 8% in methanol, about 0.5% in ethanol, and practically insoluble in dichloromethane.
Pramipexole dihydrochloride extended-release tablets 0.375 mg:
Each extended-release tablet contains 0.375 mg pramipexole dihydrochloride monohydrate equivalent to 0.352 mg pramipexole dihydrochloride.
Pramipexole dihydrochloride extended-release tablets 0.75 mg:
Each extended-release tablet contains 0.75 mg pramipexole dihydrochloride monohydrate equivalent to 0.705 mg pramipexole dihydrochloride.
Inactive ingredients for all strengths of pramipexole dihydrochloride extended-release tablets consist of hypromellose, corn starch, carbomer homopolymer, colloidal silicon dioxide, and magnesium stearate.
12 Clinical Pharmacology
12.1 Mechanism Of Action
Pramipexole is a non-ergot dopamine agonist with high relative in vitro specificity and full intrinsic activity at the D 2 subfamily of dopamine receptors, binding with higher affinity to D 3 than to D 2 or D 4 receptor subtypes.
The precise mechanism of action of pramipexole as a treatment for Parkinson’s disease is unknown, although it is believed to be related to its ability to stimulate dopamine receptors in the striatum. This conclusion is supported by electrophysiologic studies in animals that have demonstrated that pramipexole influences striatal neuronal firing rates via activation of dopamine receptors in the striatum and the substantia nigra, the site of neurons that send projections to the striatum. The relevance of D 3 receptor binding in Parkinson’s disease is unknown.
12.2 Pharmacodynamics
The effect of pramipexole on the QT interval of the ECG was investigated in a clinical study in 60 healthy male and female volunteers. All subjects initiated treatment with 0.375 mg pramipexole dihydrochloride extended-release tablets administered once daily, and were up-titrated every 3 days to 2.25 mg and 4.5 mg daily, a faster rate of titration than recommended in the label. No dose- or exposure-related effect on mean QT intervals was observed; however, the study did not have a valid assessment of assay sensitivity. The effect of pramipexole on QTc intervals at higher exposures achieved either due to drug interactions (e.g., with cimetidine), renal impairment, or at higher doses has not been systematically evaluated.
Although mean values remained within normal reference ranges throughout the study, supine systolic blood pressure (SBP), diastolic blood pressure (DBP), and pulse rate for subjects treated with pramipexole generally increased during the rapid up-titration phase, by 10 mmHg, 7 mmHg, and 10 bpm higher than placebo, respectively. Higher SBP, DBP, and pulse rates compared to placebo were maintained until the pramipexole doses were tapered; values on the last day of tapering were generally similar to baseline values. Such effects have not been observed in clinical studies with Parkinson’s disease patients, who were titrated according to labeled recommendations.
12.3 Pharmacokinetics
Pramipexole dihydrochloride extended-release tablets, like immediate-release pramipexole tablets, display linear pharmacokinetics over the entire clinical dosage range. Slow release of pramipexole from pramipexole dihydrochloride extended-release tablets with once-daily administration results in the same daily maximum and minimum pramipexole plasma concentrations (C max, C min) as three times daily administration of immediate-release pramipexole tablets.
Absorption
The absolute bioavailability of pramipexole is greater than 90%, indicating that it is well absorbed and undergoes little presystemic metabolism.
Increase in systemic exposure of pramipexole following oral administration of 0.375 mg to 4.5 mg of pramipexole dihydrochloride extended-release tablets was dose-proportional. For pramipexole dihydrochloride extended-release tablets, steady state of exposure is reached within 5 days of continuous dosing.
Relative bioavailability of pramipexole dihydrochloride extended-release tablets compared with immediate-release tablets was approximately 100%. In a repeat-dose study in healthy, normal volunteers, pramipexole dihydrochloride extended-release tablets 4.5 mg administered once daily was bioequivalent with regard to C max and AUC over 24 hours to immediate-release pramipexole tablets 1.5 mg administered three times daily. The average time-to-peak concentration for pramipexole dihydrochloride extended-release tablets is 6 hours. Administration of pramipexole dihydrochloride extended-release tablets with food (i.e., high-fat meal) did not affect AUC but increased C max by approximately 20% and delayed T max by approximately 2 hours compared with dosing under fasted conditions; these differences are not considered to be clinically relevant [ see Dosage and Administration ( 2.1) ].
Distribution
Pramipexole is extensively distributed, having a volume of distribution of about 500 L (coefficient of variation [CV] = 20%). It is about 15% bound to plasma proteins. Pramipexole distributes into red blood cells as indicated by an erythrocyte-to-plasma ratio of approximately 2.
Metabolism
Pramipexole is metabolized only to a negligible extent (<10%). No specific active metabolite has been identified in human plasma or urine.
Elimination
Urinary excretion is the major route of pramipexole elimination, with 90% of a pramipexole dose recovered in urine, almost all as unchanged drug. The renal clearance of pramipexole is approximately 400 mL/min (CV=25%), approximately three times higher than the glomerular filtration rate. Thus, pramipexole is secreted by the renal tubules, probably by the organic cation transport system.
Pharmacokinetics in Specific Populations
Because therapy with pramipexole dihydrochloride extended-release tablets is initiated at a low dose and gradually titrated upward according to clinical tolerability to obtain the optimum therapeutic effect, adjustment of the initial dose based on gender, weight, race, or age is not necessary. However, renal insufficiency causes a large decrease in the ability to eliminate pramipexole. This will necessitate dosage adjustment in patients with moderate to severe renal impairment [
see Dosage and Administration (
2.2)
].
Gender
Pramipexole clearance is about 30% lower in women than in men, but this difference can be accounted for by differences in body weight. There is no difference in plasma half-life between males and females.
Age
Pramipexole clearance is reduced by approximately 30% in the elderly (aged 65 years or older) compared with young, healthy volunteers (aged less than 40 years). This difference is most likely due to the reduction in renal function with age, since pramipexole clearance is correlated with renal function, as measured by creatinine clearance.
Race
No racial differences in metabolism and elimination have been identified.
Hepatic Impairment
The influence of hepatic insufficiency on pramipexole pharmacokinetics has not been evaluated. Because approximately 90% of the recovered dose is excreted in the urine as unchanged drug, hepatic impairment would not be expected to have a significant effect on pramipexole elimination.
Renal Impairment
Clearance of immediate-release pramipexole was about 75% lower in patients with severe renal impairment (creatinine clearance approximately 20 mL/min) and about 60% lower in patients with moderate impairment (creatinine clearance approximately 40 mL/min) compared with healthy volunteers [see Dosage and Administration (
2.2) and Warnings and Precautions (
5.7)]. In patients with varying degrees of renal impairment, pramipexole clearance correlates well with creatinine clearance. Therefore, creatinine clearance can be used as a predictor of the extent of decrease in pramipexole clearance.
Drug Interactions
No specific pharmacokinetic drug interaction trials were conducted with pramipexole dihydrochloride extended-release tablets since the potential for drug interactions mainly depends on the active drug substance pramipexole and not the formulation. The following interaction data were obtained using immediate-release pramipexole tablets.
Carbidopa/levodopa: Carbidopa/levodopa did not influence the pharmacokinetics of pramipexole in healthy volunteers (N=10). Pramipexole did not alter the extent of absorption (AUC) or the elimination of carbidopa/levodopa, although it caused an increase in levodopa C max by about 40% and a decrease in T max from 2.5 to 0.5 hours.
Selegiline: In healthy volunteers (N=11), selegiline did not influence the pharmacokinetics of pramipexole.
Amantadine: Population pharmacokinetic analyses suggest that amantadine may slightly decrease the oral clearance of pramipexole.
Cimetidine: Cimetidine, a known inhibitor of renal tubular secretion of organic bases via the cationic transport system, caused a 50% increase in pramipexole AUC and a 40% increase in half-life (N=12).
Probenecid: Probenecid, a known inhibitor of renal tubular secretion of organic acids via the anionic transporter, did not noticeably influence pramipexole pharmacokinetics (N=12).
Other drugs eliminated via renal secretion: Population pharmacokinetic analysis suggests that co-administration of drugs that are secreted by the cationic transport system (e.g., cimetidine, ranitidine, diltiazem, triamterene, verapamil, quinidine, and quinine) decreases the oral clearance of pramipexole by about 20%, while those secreted by the anionic transport system (e.g., cephalosporins, penicillins, indomethacin, hydrochlorothiazide, and chlorpropamide) are likely to have little effect on the oral clearance of pramipexole. Other known organic cation transport substrates and/or inhibitors (e.g., cisplatin and procainamide) may also decrease the clearance of pramipexole.
CYP interactions: Inhibitors of cytochrome P450 enzymes would not be expected to affect pramipexole elimination because pramipexole is not appreciably metabolized by these enzymes in vivo or in vitro. Pramipexole does not inhibit CYP enzymes CYP1A2, CYP2C9, CYP2C19, CYP2E1, and CYP3A4. Inhibition of CYP2D6 was observed with an apparent Ki of 30 µM, indicating that pramipexole will not inhibit CYP enzymes at plasma concentrations observed following the clinical dose of 4.5 mg/day.
Drugs affecting gastrointestinal motility or gastric pH: Population pharmacokinetic analysis suggests that co-administration of antacids (N=6) decreased the oral clearance of pramipexole by about 25%, while H2-blockers (N=5), anticholinergics (N=27), propulsive (N=7), and proton pump inhibitors (N=16) are likely to have little effect on the oral clearance of pramipexole.
13.1 Carcinogenesis, Mutagenesis, Impairment Of Fertility
Two-year carcinogenicity studies with pramipexole have been conducted in mice and rats. Pramipexole was administered in the diet to mice at doses up to 10 mg/kg/day [or approximately 10 times the maximum recommended human dose (MRHD) of 1.5 mg TID on a mg/m 2 basis]. Pramipexole was administered in the diet to rats at doses up to 8 mg/kg/day. These doses were associated with plasma AUCs up to approximately 12 times that in humans at the MRHD. No significant increases in tumors occurred in either species.
Pramipexole was not mutagenic or clastogenic in a battery of in vitro (bacterial reverse mutation, V79/HGPRT gene mutation, chromosomal aberration in CHO cells) and in vivo (mouse micronucleus) assays.
In rat fertility studies, pramipexole at a dose of 2.5 mg/kg/day (5 times the MRHD on a mg/m 2 basis) prolonged estrus cycles and inhibited implantation. These effects were associated with reductions in serum levels of prolactin, a hormone necessary for implantation and maintenance of early pregnancy in rats.
13.2 Animal Toxicology And/Or Pharmacology
Retinal Pathology in Albino Rats
Pathologic changes (degeneration and loss of photoreceptor cells) were observed in the retina of albino rats in the 2-year carcinogenicity study with pramipexole. These findings were first observed during week 76 and were dose-dependent in animals receiving 2 or 8 mg/kg/day (plasma AUCs equal to 2.5 and 12.5 times that in humans at the MRHD of 1.5 mg TID). In a similar study of pigmented rats with 2-years exposure to pramipexole at 2 or 8 mg/kg/day, retinal degeneration was not observed. Animals given drug had thinning in the outer nuclear layer of the retina that was only slightly greater than that seen in control rats.
Investigative studies demonstrated that pramipexole reduced the rate of disk shedding from the photoreceptor rod cells of the retina in albino rats, which was associated with enhanced sensitivity to the damaging effects of light. In a comparative study, degeneration and loss of photoreceptor cells occurred in albino rats after 13 weeks of treatment with 25 mg/kg/day of pramipexole (54 times the highest clinical dose on a mg/m 2 basis) and constant light (100 lux), but not in pigmented rats exposed to the same dose and higher light intensities (500 lux). Thus, the retina of albino rats is considered to be uniquely sensitive to the damaging effects of pramipexole and light. Similar changes in the retina did not occur in a 2-year carcinogenicity study in albino mice treated with 0.3, 2, or 10 mg/kg/day (0.3, 2.2, and 11 times the highest clinical dose on a mg/m 2 basis). Evaluation of the retinas of monkeys given 0.1, 0.5, or 2.0 mg/kg/day of pramipexole (0.4, 2.2, and 8.6 times the highest clinical dose on a mg/m 2 basis) for 12 months and minipigs given 0.3, 1, or 5 mg/kg/day of pramipexole for 13 weeks also detected no changes.
The potential significance of this effect in humans has not been established, but cannot be disregarded because disruption of a mechanism that is universally present in vertebrates (i.e., disk shedding) may be involved.
Fibro-osseous Proliferative Lesions in Mice
An increased incidence of fibro-osseous proliferative lesions occurred in the femurs of female mice treated for 2 years with 0.3, 2.0, or 10 mg/kg/day (0.3, 2.2, and 11 times the highest clinical dose on a mg/m
2 basis). Lesions occurred at a lower rate in control animals. Similar lesions were not observed in male mice or rats and monkeys of either sex that were treated chronically with pramipexole. The significance of this lesion to humans is not known.
14 Clinical Studies
The effectiveness of pramipexole dihydrochloride extended-release tablets in the treatment of Parkinson’s disease was supported by clinical pharmacokinetic data [ see Clinical Pharmacology ( 12.3) ] and two randomized, double-blind, placebo-controlled, multicenter clinical trials in early and advanced Parkinson’s disease. In both randomized studies, the Unified Parkinson’s Disease Rating Scale (UPDRS) served as a primary outcome assessment measure. The UPDRS is a four-part multi-item rating scale intended to evaluate mentation (Part I), activities of daily living (Part II), motor performance (Part III), and complications of therapy (Part IV).
Part II of the UPDRS contains 13 questions related to activities of daily living, which are scored from 0 (normal) to 4 (maximal severity) for a maximum (worst) score of 52. Part III of the UPDRS contains 14 items designed to assess the severity of the cardinal motor findings in patients with Parkinson’s disease (e.g., tremor, rigidity, bradykinesia, postural instability, etc.), scored for different body regions and has a maximum (worst) score of 108.
Early Parkinson’s Disease
The effectiveness of pramipexole dihydrochloride extended-release tablets in early Parkinson’s disease patients (Hoehn & Yahr Stages I-III) who were not on levodopa therapy was established in a randomized, double-blind, placebo-controlled, 3-parallel-group clinical study. Patients were treated with pramipexole dihydrochloride extended-release tablets, immediate-release pramipexole tablets, or placebo; those treated with pramipexole dihydrochloride extended-release tablets or immediate-release pramipexole tablets had a starting dose of 0.375 mg/day followed by a flexible up-titration, based on efficacy and tolerability, up to 4.5 mg/day. Levodopa was permitted during the study as rescue medication. Stable doses of concomitant MAO-B inhibitors, anticholinergics, or amantadine, individually or in combination, were allowed. The primary efficacy endpoint was the mean change from baseline in the UPDRS Parts II+III score for pramipexole dihydrochloride extended-release tablets versus placebo following 18 weeks of treatment.
At 18 weeks of treatment, the mean change from baseline UPDRS Parts II+III score was –8.1 points in patients receiving pramipexole dihydrochloride extended-release tablets (n=102) and –5.1 points in patients receiving placebo (n=50), a difference that was statistically significant (p<0.03). Seven patients treated with placebo (14%) and 3 patients treated with pramipexole dihydrochloride extended-release tablets (3%) received levodopa rescue medication. At 18 weeks, the mean dose of pramipexole dihydrochloride extended-release tablets was 3 mg/day.
At 33-weeks, the adjusted mean improvement from baseline UPDRS Parts II+III score was –8.6 points in patients receiving pramipexole dihydrochloride extended-release tablets (n=213), compared to –3.8 points in patients receiving placebo (n=103).
At 18 and 33 weeks, the mean dose of pramipexole dihydrochloride extended-release tablets was approximately 3 mg/day. Twenty-two patients treated with placebo (21%) and 15 patients treated with pramipexole dihydrochloride extended-release tablets (7%) received levodopa rescue medication before the final assessment.
No differences in effectiveness based on age or gender were detected. Patients receiving MAOB-I, anticholinergics, or amantadine had responses similar to patients not receiving these drugs.
Advanced Parkinson’s Disease
The effectiveness of pramipexole dihydrochloride extended-release tablets in advanced Parkinson's disease patients (Hoehn & Yahr Stages II-IV at “on” time) who were on concomitant levodopa therapy (at an optimized dose) and who had motor fluctuations (at least 2 cumulative hours of “off” time per day) was established in a randomized, double-blind, placebo-controlled, 3-parallel-group clinical study. Patients were treated with pramipexole dihydrochloride extended-release tablets, immediate-release pramipexole tablets, or placebo; those treated with pramipexole dihydrochloride extended-release tablets or immediate-release pramipexole tablets had a starting dose of 0.375 mg/day followed by a flexible up-titration over 7 weeks, based on efficacy and tolerability, up to 4.5 mg/day, followed by a 26 week maintenance period. Levodopa dosage reduction was permitted only in the case of dopaminergic adverse events. The primary efficacy endpoint was the adjusted mean change from baseline in the UPDRS Parts II+III score for pramipexole dihydrochloride extended-release tablets versus placebo following 18 weeks of treatment.
At 18 weeks of treatment, the adjusted mean improvement from baseline UPDRS Parts II+III score was –11.0 points in patients receiving pramipexole dihydrochloride extended-release tablets (n=161) and –6.1 points in patients receiving placebo (n=174), (p=0.0001). At week 18, the adjusted mean improvement from baseline in “off” time was –2.1 hours for pramipexole dihydrochloride extended-release tablets and –1.4 hours for placebo (p=0.0199).
At 33-weeks the adjusted mean improvement from baseline UPDRS Parts II+III score was –11.1 points in patients receiving pramipexole dihydrochloride extended-release tablets (n=117) and –6.8 points in patients receiving placebo (n=136) (p=0.0135).
At both 18 and 33 weeks the mean daily dose of pramipexole dihydrochloride extended-release tablets was 2.6 mg/day. At week 18, 4 patients (3%) in the placebo group and 14 patients (11%) in the pramipexole dihydrochloride extended-release tablets group had decreased their levodopa daily dose compared to baseline due to dopaminergic adverse events. No clinically relevant difference in effectiveness was observed in the sub-group analyses based on gender, age, race (White vs Asian), or concomitant use of antiparkinsonian treatment (MAOB-I, amantadine or anticholinergics).
16.1 How Supplied
Pramipexole dihydrochloride extended-release tablets are available as follows:
0.375 mg: white to off-white, round, convex shaped, extended-release tablets debossed with “002” on one side and plain on the other side.
Unit of Use Bottles of 30 NDC 71034-002-30
0.75 mg: white to off-white, round, convex shaped, extended-release tablets debossed with “003” on one side and plain on the other side.
Unit of Use Bottles of 30 NDC 71034-003-30
16.2 Storage And Handling
Store at 25°C (77°F); excursions permitted to 15° to 30°C (59° to 86°F) [see USP Controlled Room Temperature]. Protect from exposure to high humidity. Store in a safe place out of the reach of children.
17 Patient Counseling Information
Advise the patient to read the FDA-approved Patient Labeling (Patient Information).
Dosing Instructions
Instruct patients to take pramipexole dihydrochloride extended-release tablets only as prescribed. If a dose is missed, pramipexole dihydrochloride extended-release tablets should be taken as soon as possible, but no later than 12 hours after the regularly scheduled time. After 12 hours, the missed dose should be skipped and the next dose should be taken on the following day at the regularly scheduled time.
Pramipexole dihydrochloride extended-release tablets can be taken with or without food. If patients develop nausea, advise that taking pramipexole dihydrochloride extended-release tablets with food may reduce the occurrence of nausea.
Pramipexole dihydrochloride extended-release tablets should be swallowed whole. They should not be chewed, crushed, or divided [ see Dosage and Administration ( 2.1) ].
Inform patients that residue in stool which may resemble a swollen original pramipexole dihydrochloride extended-release tablets or swollen pieces of the original tablet have been reported [ see Adverse Reactions ( 6.2) ]. Instruct patients to contact their physician if this occurs.
Pramipexole is the active ingredient that is in both pramipexole dihydrochloride extended-release tablets and immediate-release pramipexole tablets. Ensure that patients do not take both immediate-release pramipexole and pramipexole dihydrochloride extended-release tablets.
Sedating Effects
Alert patients to the potential sedating effects of pramipexole dihydrochloride extended-release tablets, including somnolence and the possibility of falling asleep while engaged in activities of daily living. Since somnolence is a frequent adverse reaction with potentially serious consequences, patients should neither drive a car nor engage in other potentially dangerous activities until they have gained sufficient experience with pramipexole dihydrochloride extended-release tablets to gauge whether or not it affects their mental and/or motor performance adversely. Advise patients that if increased somnolence or new episodes of falling asleep during activities of daily living (e.g., conversations or eating) are experienced at any time during treatment, they should not drive or participate in potentially dangerous activities until they have contacted their physician. Because of possible additive effects, advise caution when patients are taking other sedating medications or alcohol in combination with pramipexole dihydrochloride extended-release tablets and when taking concomitant medications that increase plasma levels of pramipexole (e.g., cimetidine) [
see Warnings and Precautions (
5.1)
].
Impulse Control Symptoms Including Compulsive Behaviors
Alert patients and their caregivers to the possibility that they may experience intense urges to spend money, intense urges to gamble, increased sexual urges, binge eating and/or other intense urges and the inability to control these urges while taking pramipexole dihydrochloride extended-release tablets [
see Warnings and Precautions (
5.3)
].
Hallucinations and Psychotic-like Behavior
Inform patients that hallucinations and other psychotic-like behavior can occur and that the elderly are at a higher risk than younger patients with Parkinson’s disease [
see Warnings and Precautions (
5.4)
].
Postural (Orthostatic) Hypotension
Advise patients that they may develop postural (orthostatic) hypotension, with or without symptoms such as dizziness, nausea, fainting, or blackouts, and sometimes, sweating. Hypotension may occur more frequently during initial therapy. Accordingly, caution patients against rising rapidly after sitting or lying down, especially if they have been doing so for prolonged periods and especially at the initiation of treatment with pramipexole dihydrochloride extended-release tablets [
see Warnings and Precautions (
5.2)
].
Pregnancy
Because the teratogenic potential of pramipexole has not been completely established in laboratory animals, and because experience in humans is limited, advise women to notify their physicians if they become pregnant or intend to become pregnant during therapy [
see Use in Specific Populations (
8.1)
].
Lactation
Because of the possibility that pramipexole may be excreted in breast milk, advise women to notify their physicians if they intend to breast-feed or are breast-feeding an infant [
see Use in Specific Populations (
8.2)
].
Manufactured by:
Xiamen LP Pharmaceutical Co., Ltd.
2010 Wengjiao West Road, Xiamen, Fujian 361027, China
Patient Information
Pramipexole Dihydrochloride (pram" i pex' ole dye hye" droe klor' ide) Extended-Release Tablets
Read this Patient Information before you start taking pramipexole dihydrochloride extended-release tablets and each time you get a refill. There may be new information. This information does not take the place of talking with your doctor about your medical condition or your treatment.
What are pramipexole dihydrochloride extended-release tablets?
pramipexole dihydrochloride extended-release tablets are a prescription medicine used to treat the signs and symptoms of Parkinson’s disease.
It is not known if pramipexole dihydrochloride extended-release tablets are safe and effective in children.
What should I tell my doctor before taking pramipexole dihydrochloride extended-release tablets?
Before taking pramipexole dihydrochloride extended-release tablets, tell your doctor if you:
- feel sleepy during the day
- have low blood pressure, or if you feel dizzy or faint, especially when getting up from sitting or lying down.
- have trouble controlling your muscles (dyskinesia)
- have kidney problems
- drink alcohol. Alcohol can increase the chance that pramipexole dihydrochloride extended-release tablets will make you feel sleepy or fall asleep when you should be awake.
- are pregnant or plan to become pregnant. It is not known if pramipexole dihydrochloride extended-release tablets will harm your unborn baby.
- are breastfeeding or plan to breastfeed. It is not known if pramipexole dihydrochloride extended-release tablets passes into your breast milk. You and your doctor should decide if you will take pramipexole dihydrochloride extended-release tablets or breastfeed. You should not do both.
- medicines called neuroleptics (phenothiazines, butyrophenones, thioxanthenes) or metoclopramide. pramipexole dihydrochloride extended-release tablets may not work as well if you take these medicines.
- pramipexole. Pramipexole is the active ingredient in both pramipexole dihydrochloride extended-release tablets and pramipexole dihydrochloride immediate-release tablets. If you are taking pramipexole dihydrochloride immediate-release tablets, you should not take pramipexole dihydrochloride extended-release tablets.
- any other medicines that make you sleepy or may increase the effects of pramipexole dihydrochloride extended-release tablets, such as cimetidine (Tagamet).
- Pramipexole dihydrochloride extended-release tablets is taken once daily.
- Your doctor will tell you how much pramipexole dihydrochloride extended-release tablets to take and when to take it. Do not take more or less pramipexole dihydrochloride extended-release tablets than your doctor tells you to.
- Swallow pramipexole dihydrochloride extended-release tablets whole. Do not chew, crush, or cut pramipexole dihydrochloride extended-release tablets.
- Pramipexole dihydrochloride extended-release tablets can be taken with or without food. Taking pramipexole dihydrochloride extended-release tablets with food may lower your chances of getting nausea.
- You may see something that looks like a swollen original tablet or swollen pieces of the original tablet in your stool. If this happens, tell your doctor.
- If you miss a dose of pramipexole dihydrochloride extended-release tablets it should be taken as soon as possible, but no later than 12 hours after your regularly scheduled time. If it is later than 12 hours, the missed dose should be skipped and the next dose should be taken on the following day at your regularly scheduled time. Do not double your next pramipexole dihydrochloride extended-release tablets dose.
- Do not stop taking pramipexole dihydrochloride extended-release tablets without talking to your doctor first. If your doctor tells you to stop taking pramipexole dihydrochloride extended-release tablets, you should ask your doctor for specific instructions on how to slowly and safely discontinue taking pramipexole dihydrochloride extended-release tablets. If you stop taking pramipexole dihydrochloride extended-release tablets too quickly you may have withdrawal symptoms such as:
- fever
- confusion
- severe muscle stiffness
- Do not drink alcohol while taking pramipexole dihydrochloride extended-release tablets. It can increase your chance of having serious side effects. See “What are the possible side effects of pramipexole dihydrochloride extended-release tablets?”
- Do not drive a car, operate a machine, or do other dangerous activities until you know how pramipexole dihydrochloride extended-release tablets affect you. Sleepiness caused by pramipexole dihydrochloride extended-release tablets can happen as late as 1 year after you start your treatment.
- falling asleep during normal daily activities. Pramipexole dihydrochloride extended-release tablets may cause you to fall asleep while you are doing daily activities such as driving, talking with other people, or eating.
- Some people taking the medicine in pramipexole dihydrochloride extended-release tablets have had car accidents because they fell asleep while driving.
- Some people did not feel sleepy before they fell asleep while driving. You could fall asleep without any warning.
Tell your doctor right away if you fall asleep while you are doing activities such as talking, eating, driving, or if you feel sleepier than normal for you. - low blood pressure when you sit or stand up quickly. After you have been sitting or lying down, stand up slowly until you know how pramipexole dihydrochloride extended-release tablets affects you. This may help reduce the following symptoms while you are taking pramipexole dihydrochloride extended-release tablets:
- dizziness
- nausea
- fainting
- sweating
- unusual urges. Some people who take certain medicines to treat Parkinson’s disease, including pramipexole dihydrochloride extended-release tablets, have reported problems, such as gambling, compulsive eating, compulsive buying, and increased sex drive.
If you or your family members notice that you are developing unusual urges or behaviors, talk to your doctor. - hallucinations and other psychotic-like behavior (seeing visions, hearing sounds or feeling sensations that are not real, confusion, excessive suspicion, aggressive behavior, agitation, delusional beliefs and disorganized thinking). Your chance of having hallucinations and other psychotic-like behavior is higher if you are age 65 or older.
If you have hallucinations or other psychotic-like changes, talk with your doctor right away. - uncontrolled sudden movements (dyskinesia). If you have new dyskinesia, or your existing dyskinesia gets worse, tell your doctor.
- posture changes. Talk with your doctor if you have posture changes you cannot control. These may include your neck bending forward, bending forward at the waist, or tilting sideways when you sit, stand, or walk.
- nausea and vomiting
- constipation
- dizziness
- fatigue
- dry mouth
- swelling of the feet and ankles
- Store pramipexole dihydrochloride extended-release tablets at room temperature from 68°F to 77°F (20°C to 25°C).
- Keep pramipexole dihydrochloride extended-release tablets away from high humidity or moisture.
- Keep pramipexole dihydrochloride extended-release tablets and all medicines out of the reach of children.
Tell your doctor about all the medicines you take, including prescription and over-the-counter medicines, vitamins, and herbal supplements.
Pramipexole dihydrochloride extended-release tablets and other medicines may affect each other causing side effects. Pramipexole dihydrochloride extended-release tablets may affect the way other medicines work, and other medicines may affect how pramipexole dihydrochloride extended-release tablets works.
Especially tell your doctor if you take:
Ask your doctor for a list of these medicines if you are not sure.
Know the medicines you take. Keep a list of them and show it to your doctor and pharmacist when you get a new medicine.
How should I take pramipexole dihydrochloride extended-release tablets?
What should I avoid while taking pramipexole dihydrochloride extended-release tablets?
What are the possible side effects of pramipexole dihydrochloride extended-release tablets?
Pramipexole dihydrochloride extended-release tablets may cause serious side effects, including:
The most common side effects in people taking pramipexole dihydrochloride extended-release tablets for early Parkinson’s disease are:
The most common side effects in people taking pramipexole dihydrochloride extended-release tablets who have later stage Parkinson’s disease are nausea, constipation, headache and weight loss (anorexia).
These are not all the possible side effects of pramipexole dihydrochloride extended-release tablets. Tell your doctor if you have any side effect that bothers you.
Call your doctor for medical advice about side effects. You may report side effects to FDA at 1-800-FDA-1088.
How should I store pramipexole dihydrochloride extended-release tablets?
General Information about the safe and effective use of pramipexole dihydrochloride extended-release tablets.
Medicines are sometimes prescribed for purposes other than those listed in a Patient Information leaflet. Do not use pramipexole dihydrochloride extended-release tablets for a condition for which it was not prescribed. Do not give pramipexole dihydrochloride extended-release tablets to other people, even if they have the same symptoms that you have. It may harm them.
This Patient Information leaflet summarizes the most important information about pramipexole dihydrochloride extended-release tablets. If you would like more information, talk with your doctor. You can ask your pharmacist or doctor for more information about pramipexole dihydrochloride extended-release tablets that is written for healthcare professionals.
For current Prescribing Information, go to www.lppharma.com or call Xiamen LP Pharmaceutical Co., Ltd. at 1-415-516-9498.
What are the ingredients in pramipexole dihydrochloride extended-release tablets?
Active Ingredient: pramipexole dihydrochloride monohydrate.
Inactive Ingredients: hypromellose, corn starch, carbomer homopolymer, colloidal silicon dioxide, and magnesium stearate.
What do pramipexole dihydrochloride extended-release tablets look like?
These pictures show what pramipexole dihydrochloride extended-release tablets look like. Notice that each strength tablet looks different. Immediately call your pharmacist if you receive a pramipexole dihydrochloride extended-release tablet that does not look like one of the tablets shown below, as you may have received the wrong medication.
Tablets not actual size.
This Patient Information has been approved by the U.S. Food and Drug Administration.
Manufactured by:
Xiamen LP Pharmaceutical Co., Ltd.
2010 Wengjiao West Road, Xiamen, Fujian 361027, China
Revised: August 2020
Package Label Principal Panel
NDC 71034-002-30 30 Tablets
Pramipexole Dihydrochloride
Extended-Release Tablets
0.375mg
NDC 71034-003-30 30 Talets
Pramipexole Dihydrochloride
Extended-Release Tablets
0.75mg
* Please review the disclaimer below.


