Product Images Carisoprodol

View Photos of Packaging, Labels & Appearance

Product Label Images

The following 2 images provide visual information about the product associated with Carisoprodol NDC 71205-241 by Proficient Rx Lp, such as packaging, labeling, and the appearance of the drug itself. This resource could be helpful for medical professionals, pharmacists, and patients seeking to verify medication information and ensure they have the correct product.

71205-241-20 - Carisoprodol Tabs 350mg 100ct

71205-241-20 - Carisoprodol Tabs 350mg 100ct

This is a pharmaceutical product containing Carisoprodol tablets manufactured by ScieGen Pharmaceuticals and packed by Proficient Rx LP. The tablets are white, round and convex with SG 109 debossed on one side. Each tablet contains 350 mg of carisoprodol, USP. The product comes in a pack of 20 tablets and should be stored in a cool place between 20°C and 25°C.*

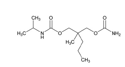
This in an image of the structural formula of CARISOPRODOL. - structure

This in an image of the structural formula of CARISOPRODOL. - structure

* The product label images have been analyzed using a combination of traditional computing and machine learning techniques. It should be noted that the descriptions provided may not be entirely accurate as they are experimental in nature. Use the information in this page at your own discretion and risk.