Product Images Famotidine

View Photos of Packaging, Labels & Appearance

Product Label Images

The following 3 images provide visual information about the product associated with Famotidine NDC 71205-276 by Proficient Rx Lp, such as packaging, labeling, and the appearance of the drug itself. This resource could be helpful for medical professionals, pharmacists, and patients seeking to verify medication information and ensure they have the correct product.

00172572860

00172572860

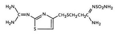
Structural Formula - image 1

Structural Formula - image 1

71205-276-30 - image 2

71205-276-30 - image 2

This is a description of a drug called Famotidine 20mg, packed by Proficient Rx LP, with each tablet containing 20mg of famotidine USP. The drug comes in a pack of 30 tablets, with NDC 71205-276-30 and a lot number of 00000, which expires on 00/00/00. The beige, round coated tablet has '5728' on one side and 'TEVA' on the other. The drug is stored at a temperature of 20°C to 25°C and should be kept away from children. The product is manufactured by Piva Hivalska d.0 0 in Zagreb, Croatia.*

* The product label images have been analyzed using a combination of traditional computing and machine learning techniques. It should be noted that the descriptions provided may not be entirely accurate as they are experimental in nature. Use the information in this page at your own discretion and risk.