Product Images Pregabalin

View Photos of Packaging, Labels & Appearance

Product Label Images

The following 14 images provide visual information about the product associated with Pregabalin NDC 71205-323 by Proficient Rx Lp, such as packaging, labeling, and the appearance of the drug itself. This resource could be helpful for medical professionals, pharmacists, and patients seeking to verify medication information and ensure they have the correct product.

71205-323-90 - pregabalin caps 100mg 90s count

71205-323-90 - pregabalin caps 100mg 90s count

This is a medication bottle of Pregabalin, a controlled substance used for treating epilepsy, anxiety and other nerve-related pain conditions. The bottle contains 90 capsules each having 100mg of pregabalin. The bottle is manufactured by ScieGen Pharmaceuticals Inc. and relabeled by Proficient Rx LP. Each capsule is a size 3 hard gelatin capsule with an orange opaque colored cap and body. The body of the capsule features the numbers '353' and the cap has 'SG' printed on it with black ink. The bottle shows a lot number of 00000 with an expiration date which has been obscured or worn out. The GTIN and SN# are 0371205323905 and SN# MASTER respectively. No evidence of any instructions or indications but a Medication Guide is to be provided to each patient.*

Figure 1 - pregabalin fig01

Figure 1 - pregabalin fig01

Figure 2 - pregabalin fig02

Figure 2 - pregabalin fig02

Figure 3 - pregabalin fig03

Figure 3 - pregabalin fig03

Figure 4 - pregabalin fig04

Figure 4 - pregabalin fig04

Figure 5 - pregabalin fig05

Figure 5 - pregabalin fig05

Figure 6 - pregabalin fig06

Figure 6 - pregabalin fig06

Figure 7 - pregabalin fig07

Figure 7 - pregabalin fig07

Figure 9 - pregabalin fig08

Figure 9 - pregabalin fig08

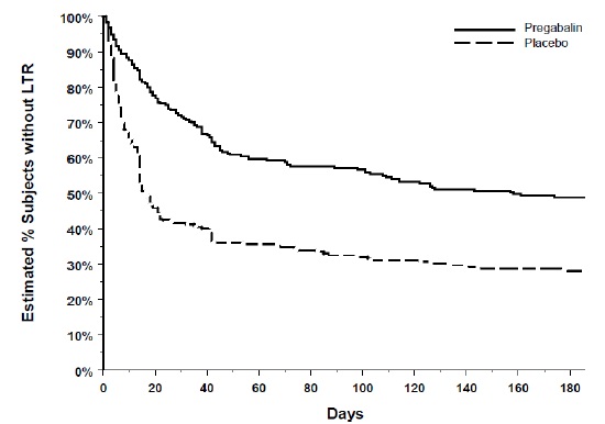
Figure 10 - pregabalin fig09

Figure 10 - pregabalin fig09

This appears to be a chart or graph with the estimated percentage of subjects without LTR (unknown abbreviation) listed on the left-hand side of the graph. The chart shows two lines labeled "Progabain" and "Placebo" along the X-axis which represents time in days. Without further context or information, it is difficult to determine the purpose or significance of this chart.*

Figure 11 - pregabalin fig10

Figure 11 - pregabalin fig10

Figure 12 - pregabalin fig11

Figure 12 - pregabalin fig11

Cockcroft and Gault equation - pregabalin formula

Cockcroft and Gault equation - pregabalin formula

This text provides a formula to calculate creatinine clearance (CLCT) in patients, using their age, weight, and serum creatinine levels. The formula varies slightly for female patients, who must multiply their result by 0.85.*

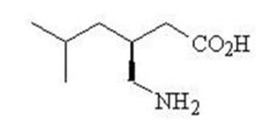
Chemical Structure - pregabalin str

Chemical Structure - pregabalin str

* The product label images have been analyzed using a combination of traditional computing and machine learning techniques. It should be noted that the descriptions provided may not be entirely accurate as they are experimental in nature. Use the information in this page at your own discretion and risk.