Product Images Metaxalone

View Photos of Packaging, Labels & Appearance

Product Label Images

The following 3 images provide visual information about the product associated with Metaxalone NDC 71205-426 by Proficient Rx Lp, such as packaging, labeling, and the appearance of the drug itself. This resource could be helpful for medical professionals, pharmacists, and patients seeking to verify medication information and ensure they have the correct product.

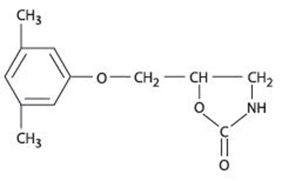
structural formula - metaxalone tablets 1

structural formula - metaxalone tablets 1

Figure 1 - metaxalone tablets 2

Figure 1 - metaxalone tablets 2

This is a figure showing the mean concentration of Metaxalone after taking an 800mg dose while fasting and under fed conditions. Unfortunately, there is no image to accompany the description.*

71205-426-60 - metaxalone tablets 3

71205-426-60 - metaxalone tablets 3

This is a prescription drug called Metaxalone 800mg, containing 90 tablets in a bottle. It is packaged by Proficient Rx LP in Thousand Oaks, CA. It is a pink, capsule-shaped, scored tablet with "LCI" on one side and "14" bisect "35" on the other side. Each tablet contains 800mg of Metaxalone, USP NDC 71205-426-90. The product ID is QM042690. It should be stored at 20°-25°C (68°-77°F) and kept out of the reach of children. The lot number is 00000 and the expiration date is 00/00/00.*

* The product label images have been analyzed using a combination of traditional computing and machine learning techniques. It should be noted that the descriptions provided may not be entirely accurate as they are experimental in nature. Use the information in this page at your own discretion and risk.