Product Images Prazosin Hydrochloride

View Photos of Packaging, Labels & Appearance

Product Label Images

The following 2 images provide visual information about the product associated with Prazosin Hydrochloride NDC 71205-585 by Proficient Rx Lp, such as packaging, labeling, and the appearance of the drug itself. This resource could be helpful for medical professionals, pharmacists, and patients seeking to verify medication information and ensure they have the correct product.

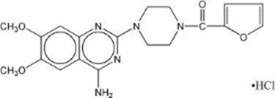
prazosin hydrochloride capsules structural formula - prazosin hydrochloride capsule 071745 1

prazosin hydrochloride capsules structural formula - prazosin hydrochloride capsule 071745 1

71205-585-30 - prazosin hydrochloride capsule 071745 4

71205-585-30 - prazosin hydrochloride capsule 071745 4

This is a medication package of Prazosin HCI 5mg capsules. The capsules are packaged by Proficient Rx LP and distributed by Teva Pharmaceuticals USA Inc. The capsules come in a pack of thirty and each capsule contains prazosin hydrochloride equivalent to 5mg of prazosin. The capsules are light blue and opaque with "TEVA" C: e i imprinted on the cap and "4069" on the body. The Lot #00000 xp 000000 and the product ID is QP058530. It is RX only and should be stored at 20°25°C (68°77°F) and kept out of the reach of children. The expiration date is not available as it reads Exp. 00/00/00.*

* The product label images have been analyzed using a combination of traditional computing and machine learning techniques. It should be noted that the descriptions provided may not be entirely accurate as they are experimental in nature. Use the information in this page at your own discretion and risk.