Product Images Metoprolol Succinate

View Photos of Packaging, Labels & Appearance

Product Label Images

The following 4 images provide visual information about the product associated with Metoprolol Succinate NDC 71205-724 by Proficient Rx Lp, such as packaging, labeling, and the appearance of the drug itself. This resource could be helpful for medical professionals, pharmacists, and patients seeking to verify medication information and ensure they have the correct product.

camber - camber

camber - camber

metoprololsuccinatefigure1 - metoprololsuccinatefigure1

metoprololsuccinatefigure1 - metoprololsuccinatefigure1

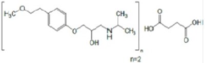
metoprololsuccinatestructure - metoprololsuccinatestructure

metoprololsuccinatestructure - metoprololsuccinatestructure

71205-724-30 - metoprololsuccinatetablets50mg

71205-724-30 - metoprololsuccinatetablets50mg

This is a medication description for Metoprolol Succinate 50mg, which comes in a pack of 30 extended-release film-coated tablets. Each tablet contains 47.5mg of metoprolol succinate, which is equivalent to 50mg of metoprolol tartrate. The tablets are white to off white and biconvex with 'J' on one side and '76' on the other side separating 7 & 6 with a score line. The product is manufactured by Hetero Labs Limited in Hyderabad, India, and distributed by Proficient Rx LP in Thousand Oaks, CA. The medication should be stored at temperatures between 20°C to 25°C. The NDC code is 71205-724-30, and it is only available via prescription. The packaging contains information about the lot number, expiration date, and GTIN number.*

* The product label images have been analyzed using a combination of traditional computing and machine learning techniques. It should be noted that the descriptions provided may not be entirely accurate as they are experimental in nature. Use the information in this page at your own discretion and risk.