FDA Label for Heparin Sodium
View Indications, Usage & Precautions
- 1 INDICATIONS AND USAGE
- 2.1 PREPARATION FOR ADMINISTRATION
- 2.2 INSTRUCTIONS FOR USE OF PREFILLED SYRINGE
- 2.3 LABORATORY MONITORING FOR EFFICACY AND SAFETY
- 2.4 THERAPEUTIC ANTICOAGULANT EFFECT WITH FULL-DOSE HEPARIN SODIUM
- 2.5 PEDIATRIC USE
- 2.6 CARDIOVASCULAR SURGERY
- 2.7 LOW-DOSE PROPHYLAXIS OF POSTOPERATIVE THROMBOEMBOLISM
- 2.8 BLOOD TRANSFUSION
- 2.9 CONVERTING TO WARFARIN
- 2.10 CONVERTING TO ORAL ANTICOAGULANTS OTHER THAN WARFARIN
- 2.11 EXTRACORPOREAL DIALYSIS
- 3 DOSAGE FORMS AND STRENGTHS
- 4 CONTRAINDICATIONS
- 5.1 FATAL MEDICATION ERRORS
- 5.2 HEMORRHAGE
- 5.3 HEPARIN-INDUCED THROMBOCYTOPENIA AND HEPARIN-INDUCED THROMBOCYTOPENIA AND THROMBOSIS
- 5.4 RISK OF SERIOUS ADVERSE REACTIONS IN INFANTS DUE TO BENZYL ALCOHOL PRESERVATIVE
- 5.5 THROMBOCYTOPENIA
- 5.6 COAGULATION TESTING AND MONITORING
- 5.7 HEPARIN RESISTANCE
- 5.8 HYPERSENSITIVITY
- 6 ADVERSE REACTIONS
- 6.1 POSTMARKETING EXPERIENCE
- 7.1 ORAL ANTICOAGULANTS
- 7.2 PLATELET INHIBITORS
- 7.3 OTHER INTERACTIONS
- OTHER
- 8.4 PEDIATRIC USE
- 8.5 GERIATRIC USE
- 10 OVERDOSAGE
- 11 DESCRIPTION
- 12.1 MECHANISM OF ACTION
- 12.2 PHARMACODYNAMICS
- 12.3 PHARMACOKINETICS
- 13.1 CARCINOGENESIS, MUTAGENESIS, IMPAIRMENT OF FERTILITY
- 16 HOW SUPPLIED/STORAGE AND HANDLING
- STORAGE AND HANDLING
- PACKAGE LABEL.PRINCIPAL DISPLAY PANEL
Heparin Sodium Product Label
The following document was submitted to the FDA by the labeler of this product Meitheal Pharmaceuticals Inc.. The document includes published materials associated whith this product with the essential scientific information about this product as well as other prescribing information. Product labels may durg indications and usage, generic names, contraindications, active ingredients, strength dosage, routes of administration, appearance, warnings, inactive ingredients, etc.
1 Indications And Usage
Heparin Sodium Injection is indicated for:
- Prophylaxis and treatment of venous thrombosis and pulmonary embolism;
- Prevention of postoperative deep venous thrombosis and pulmonary embolism in patients undergoing major abdominothoracic surgery or who, for other reasons, are at risk of developing thromboembolic disease;
- Atrial fibrillation with embolization;
- Treatment of acute and chronic consumptive coagulopathies (disseminated intravascular coagulation);
- Prevention of clotting in arterial and cardiac surgery;
- Prophylaxis and treatment of peripheral arterial embolism.
- Anticoagulant use in blood transfusions, extracorporeal circulation, and dialysis procedures.
2.1 Preparation For Administration
Confirm the choice of the correct heparin sodium injection syringe to ensure that the 1 mL syringe is not confused with a “catheter lock flush” syringe or other 1 mL syringe of incorrect strength [see Warnings and Precautions (5.1)]. Confirm the selection of the correct formulation and strength prior to administration of the drug.
To lessen this risk, the 1 mL syringe includes a red cautionary statement. Read the cautionary statement and confirm that you have selected the correct medication and strength.
When heparin sodium injection is added to an infusion solution for continuous intravenous administration, invert the container repeatedly to ensure adequate mixing and prevent pooling of the heparin sodium in the solution.
Inspect parenteral drug products visually for particulate matter and discoloration prior to administration, whenever solution and container permit. Use only if solution is clear and the seal is intact. Do not use if solution is discolored or contains a precipitate.
Administer heparin sodium injection by intermittent intravenous injection, intravenous infusion, or deep subcutaneous (intrafat, i.e., above the iliac crest or abdominal fat layer) injection. Do not administer heparin sodium injection by intramuscular injection because of the risk of hematoma at the injection site [see Adverse Reactions (6)].
2.2 Instructions For Use Of Prefilled Syringe
CAUTION: Certain glass syringes may malfunction, break or clog when connected to some Needleless Luer Access Devices (NLADs) and needles. This syringe has a larger internal syringe tip and an external collar (luer collar). The external collar must remain attached to the syringe. Data show that the syringe achieves acceptable connections with the BD Eclipse™ Needle and the Terumo SurGuard2™ Safety Needle and with the following non-center post NLADs: Alaris SMARTSITE™, B-Braun ULTRASITE™, BD-Q SYTE™, Maximum MAX PLUS™, and B-Braun SAFSITE™. The data also show acceptable connections are achieved to the center post ICU Medical CLAVE™. However, spontaneous disconnection of this glass syringe from needles and NLADs with leakage of drug product may occur. Assure that the needle or NLAD is securely attached before beginning the injection. Visually inspect the glass syringe-needle or glass syringe–NLAD connection before and during drug administration. Refer to Figure 1 for syringe diagram.
Figure 1
- Inspect the outer packaging (plastic tube) by verifying:
- plastic tube integrity- drug name- drug strength- dose volume- route of administration- expiration date to be sure that the drug has not expired- sterile field applicability
Do not use if package has been damaged.
- Remove the plastic tube cap of the outer packaging to access the syringe.
- Remove the syringe from the plastic tube.
- Perform visual inspection on the syringe by verifying:
- absence of syringe damage- absence of external particles- absence of internal particles- proper drug color- expiration date to be sure that the drug has not expired- drug name- drug strength- dose volume- route of administration- sterile field applicability
- Push plunger rod slightly to break the stopper loose while tip cap is still on.
Remove tip cap by twisting it off. (See Figure 2)
Figure 2
- Discard the tip cap.
- Expel air bubble.
- Adjust dose by expelling extra volume (where applicable) from the syringe into sterile material prior to administration.
- Connect the syringe to appropriate injection connection depending on route of administration. Before injection, ensure that the syringe is securely attached to the needle or needleless luer access device (NLAD).
- Depress plunger rod to deliver medication. Ensure that pressure is maintained on the plunger rod during the entire administration.
- Remove syringe from NLAD (if applicable) and discard into appropriate receptacle. To prevent needle-stick injuries, needles should not be recapped.
- All steps must be done sequentially- Do not autoclave syringe- Do not use this product on a sterile field
- Do not introduce any other fluid into the syringe at any time- This product is for single dose only; discard unused portion
NOTES:
2.3 Laboratory Monitoring For Efficacy And Safety
Adjust the dosage of heparin sodium injection according to the patient's coagulation test results. Dosage is considered adequate when the activated partial thromboplastin time (aPTT) is 1.5 to 2 times normal or when the whole blood clotting time is elevated approximately 2.5 to 3 times the control value. When initiating treatment with heparin sodium injection by continuous intravenous infusion, determine the coagulation status (aPTT, INR, platelet count) at baseline and continue to follow aPTT approximately every 4 hours and then at appropriate intervals thereafter. When the drug is administered intermittently by intravenous injection, perform coagulation tests before each injection during the initiation of treatment and at appropriate intervals thereafter. After deep subcutaneous (intrafat) injections, tests for adequacy of dosage are best performed on samples drawn 4 to 6 hours after the injection.
Periodic platelet counts and hematocrits are recommended during the entire course of heparin therapy, regardless of the route of administration.
2.4 Therapeutic Anticoagulant Effect With Full-Dose Heparin Sodium
The dosing recommendations in Table 1 are based on clinical experience. Although dosages must be adjusted for the individual patient according to the results of suitable laboratory tests, the following dosage schedules may be used as guidelines:
| METHOD OF ADMINISTRATION | FREQUENCY | RECOMMENDED DOSE [based on 150 lb (68 kg) patient] |
Deep Subcutaneous (Intrafat) Injection | Initial dose | 5,000 units by intravenous injection, followed by 10,000 to 20,000 units of a concentrated solution, subcutaneously |
| A different site should be used for each injection to prevent the development of massive hematoma | Every 8 hours or | 8,000 to 10,000 units of a concentrated solution |
| Every 12 hours | 15,000 to 20,000 units of a concentrated solution | |
Intermittent Intravenous Injection | Initial dose Every 4 to 6 hours | 10,000 units, either undiluted or in 50 to 100 mL of 0.9% Sodium Chloride Injection, USP 5,000 to 10,000 units, either undiluted or in 50 to 100 mL of 0.9% Sodium Chloride Injection, USP |
Intravenous Infusion | Initial dose Continuous | 5,000 units by intravenous injection 20,000 to 40,000 units/24 hours in 1,000 mL of 0.9% Sodium Chloride Injection, USP (or in any compatible solution) for infusion |
2.5 Pediatric Use
Do not use this product in neonates and infants. Use preservative-free heparin sodium injection in neonates and infants [see Warnings and Precautions (5.4)].
There are no adequate and well controlled studies on heparin sodium use in pediatric patients. Pediatric dosing recommendations are based on clinical experience. In general, the following dosage schedule may be used as a guideline in pediatric patients:
| Initial Dose | 75 to 100 units/kg (Intravenous bolus over 10 minutes) Infants: 25 to 30 units/kg/hour; Infants < 2 months have the highest requirements (average 28 units/kg/hour) |
| Maintenance Dose | Children > 1 year of age: 18 to 20 units/kg/hour; Older children may require less heparin sodium, similar to weight-adjusted adult dosage |
| Monitoring | Adjust heparin sodium to maintain APTT of 60 to 85 seconds, assuming this reflects an anti-Factor Xa level of 0.35 to 0.70 |
2.6 Cardiovascular Surgery
Patients undergoing total body perfusion for open-heart surgery should receive an initial dose of not less than 150 units of heparin sodium per kilogram of body weight. Frequently, a dose of 300 units per kilogram is used for procedures estimated to last less than 60 minutes, or 400 units per kilogram for those estimated to last longer than 60 minutes.
2.7 Low-Dose Prophylaxis Of Postoperative Thromboembolism
The most widely used dosage has been 5,000 units 2 hours before surgery and 5,000 units every 8 to 12 hours thereafter for 7 days or until the patient is fully ambulatory, whichever is longer. Administer the heparin sodium injection by deep subcutaneous (intrafat, i.e., above the iliac crest or abdominal fat layer, arm, or thigh) injection with a fine (25- to 27-gauge) needle to minimize tissue trauma.
2.8 Blood Transfusion
Add 450 USP units to 600 USP units of heparin sodium per 100 mL of whole blood to prevent coagulation. Usually, 7,500 USP units of heparin sodium are added to 100 mL of 0.9% Sodium Chloride Injection, USP (or 75,000 USP units per 1,000 mL of 0.9% Sodium Chloride Injection, USP) and mixed; from this sterile solution, 6 mL to 8 mL are added per 100 mL of whole blood.
2.9 Converting To Warfarin
To ensure continuous anticoagulation when converting from heparin sodium injection to warfarin, continue full heparin therapy for several days until the INR (prothrombin time) has reached a stable therapeutic range. Heparin therapy may then be discontinued without tapering [see Drug Interactions (7.1)].
2.10 Converting To Oral Anticoagulants Other Than Warfarin
For patients currently receiving intravenous heparin sodium, stop intravenous infusion of heparin sodium injection immediately after administering the first dose of oral anticoagulant; or for intermittent intravenous administration of heparin sodium injection, start oral anticoagulant 0 to 2 hours before the time that the next dose of heparin sodium injection was to have been administered.
2.11 Extracorporeal Dialysis
Follow equipment manufacturers' operating directions carefully. A dose of 25 units/kg to 30 units/kg followed by an infusion rate of 1,500 units/hour to 2,000 units/hour is suggested based on pharmacodynamic data if specific manufacturers' recommendations are not available.
3 Dosage Forms And Strengths
Heparin Sodium Injection, USP is available as 5,000 USP units in a 1 mL prefilled single-dose syringe, preserved with benzyl alcohol.
4 Contraindications
The use of heparin sodium is contraindicated in patients with the following conditions:
- History of heparin-induced thrombocytopenia and heparin-induced thrombocytopenia and thrombosis [see Warnings and Precautions (5.3)];
- Known hypersensitivity to heparin sodium or pork products (e.g., anaphylactoid reactions) [see Adverse Reactions (6.1)].
- In whom suitable blood coagulation tests, e.g., the whole blood clotting time, partial thromboplastin time, etc., cannot be performed at appropriate intervals (this contraindication refers to full-dose heparin sodium; there is usually no need to monitor coagulation parameters in patients receiving low-dose heparin sodium);
- An uncontrolled active bleeding state [see Warnings and Precautions (5.2)], except when this is due to disseminated intravascular coagulation.
5.1 Fatal Medication Errors
Do not use heparin sodium injection as a “catheter lock flush” product. Heparin sodium injection is supplied in syringes containing 5,000 units in 1 mL. Fatal hemorrhages have occurred in pediatric patients due to medication errors in which 1 mL heparin sodium injection vials were confused with 1 mL “catheter lock flush” vials. Carefully examine all heparin sodium injection syringes to confirm the correct syringe choice prior to administration of the drug.
5.2 Hemorrhage
Avoid using heparin sodium in the presence of major bleeding, except when the benefits of heparin therapy outweigh the potential risks.
Hemorrhage can occur at virtually any site in patients receiving heparin sodium. Fatal hemorrhages have occurred. Adrenal hemorrhage (with resultant acute adrenal insufficiency), ovarian hemorrhage, and retroperitoneal hemorrhage have occurred during anticoagulant therapy with heparin sodium [see Adverse Reactions (6.1)]. A higher incidence of bleeding has been reported in patients, particularly women, over 60 years of age [see Clinical Pharmacology (12.3)]. An unexplained fall in hematocrit, fall in blood pressure or any other unexplained symptom should lead to serious consideration of a hemorrhagic event.
Use heparin sodium with caution in disease states in which there is increased risk of hemorrhage, including:
- Cardiovascular - Subacute bacterial endocarditis, severe hypertension.
- Surgical - During and immediately following (a) spinal tap or spinal anesthesia or (b) major surgery, especially involving the brain, spinal cord, or eye.
- Hematologic - Conditions associated with increased bleeding tendencies, such as hemophilia, thrombocytopenia and some vascular purpuras.
- Patients with hereditary antithrombin III deficiency receiving concurrent antithrombin III therapy - The anticoagulant effect of heparin sodium is enhanced by concurrent treatment with antithrombin III (human) in patients with hereditary antithrombin III deficiency. To reduce the risk of bleeding, reduce the heparin sodium dose during concomitant treatment with antithrombin III (human).
- Gastrointestinal - Ulcerative lesions and continuous tube drainage of the stomach or small intestine.
- Other - Menstruation, liver disease with impaired hemostasis.
5.3 Heparin-Induced Thrombocytopenia And Heparin-Induced Thrombocytopenia And Thrombosis
Heparin-induced thrombocytopenia (HIT) is a serious antibody-mediated reaction. HIT occurs in patients treated with heparin sodium and is due to the development of antibodies to a platelet Factor 4-heparin complex that induce in vivo platelet aggregation. HIT may progress to the development of venous and arterial thromboses, a condition referred to as heparin-induced thrombocytopenia with thrombosis (HITT). Thrombotic events may also be the initial presentation for HITT. These serious thromboembolic events include deep vein thrombosis, pulmonary embolism, cerebral vein thrombosis, limb ischemia, stroke, myocardial infarction, mesenteric thrombosis, renal arterial thrombosis, skin necrosis, gangrene of the extremities that may lead to amputation, and possibly death. If the platelet count falls below 100,000/mm3 or if recurrent thrombosis develops, promptly discontinue heparin sodium, evaluate for HIT and HITT, and, if necessary, administer an alternative anticoagulant.
HIT or HITT can occur up to several weeks after the discontinuation of heparin therapy. Patients presenting with thrombocytopenia or thrombosis after discontinuation of heparin sodium should be evaluated for HIT or HITT.
5.4 Risk Of Serious Adverse Reactions In Infants Due To Benzyl Alcohol Preservative
Serious and fatal adverse reactions including “gasping syndrome” can occur in neonates and infants treated with benzyl alcohol-preserved drugs, including heparin sodium injection vials. The “gasping syndrome” is characterized by central nervous system depression, metabolic acidosis, and gasping respirations.
When prescribing heparin sodium injection vials in infants consider the combined daily metabolic load of benzyl alcohol from all sources including heparin sodium injection vials (contains 10.42 mg of benzyl alcohol per mL) and other drugs containing benzyl alcohol. The minimum amount of benzyl alcohol at which toxicity may occur is not known [see Use in Specific Populations (8.4)].
5.5 Thrombocytopenia
Thrombocytopenia in patients receiving heparin sodium has been reported at frequencies up to 30%. It can occur 2 to 20 days (average 5 to 9) following the onset of heparin therapy. Obtain platelet counts before and periodically during heparin therapy. Monitor thrombocytopenia of any degree closely. If the count falls below 100,000/mm3 or if recurrent thrombosis develops, promptly discontinue heparin sodium, evaluate for HIT and HITT, and, if necessary, administer an alternative anticoagulant [see Warnings and Precautions (5.3)].
5.6 Coagulation Testing And Monitoring
When using a full dose heparin regimen, adjust the heparin sodium dose based on frequent blood coagulation tests. If the coagulation test is unduly prolonged or if hemorrhage occurs, discontinue heparin sodium promptly [see Overdosage (10)]. Periodic platelet counts and hematocrits are recommended during the entire course of heparin therapy, regardless of the route of administration [see Dosage and Administration (2.3)].
5.7 Heparin Resistance
Resistance to heparin sodium is frequently encountered in fever, thrombosis, thrombophlebitis, infections with thrombosing tendencies, myocardial infarction, cancer, in postsurgical patients, and patients with antithrombin III deficiency. Close monitoring of coagulation tests is recommended in these cases. Adjustment of heparin sodium doses based on anti-Factor Xa levels may be warranted.
5.8 Hypersensitivity
Patients with documented hypersensitivity to heparin sodium should be given the drug only in clearly life-threatening situations.
Because heparin sodium injection is derived from animal tissue, it should be used with caution in patients with a history of allergy.
6 Adverse Reactions
The following clinically significant adverse reactions are described elsewhere in the labeling:
- Hemorrhage [see Warnings and Precautions (5.2)]
- Heparin-Induced Thrombocytopenia and Heparin-Induced Thrombocytopenia and Thrombosis [see Warnings and Precautions (5.3)]
- Risk of Serious Adverse Reactions in Infants Due to Benzyl Alcohol Preservative [see Warnings and Precautions (5.4)]
- Thrombocytopenia [see Warnings and Precautions (5.5)]
- Heparin Resistance [see Warnings and Precautions (5.7)]
- Hypersensitivity [see Warnings and Precautions (5.8)]
6.1 Postmarketing Experience
The following adverse reactions have been identified during post approval use of heparin sodium injection. Because these reactions are reported voluntarily from a population of uncertain size, it is not always possible to reliably estimate their frequency or establish a causal relationship to drug exposure.
- Hemorrhage is the chief complication that may result from heparin therapy [see Warnings and Precautions (5.2)]. Gastrointestinal or urinary tract bleeding during anticoagulant therapy may indicate the presence of an underlying occult lesion. Bleeding can occur at any site but certain specific hemorrhagic complications may be difficult to detect:
- Adrenal hemorrhage, with resultant acute adrenal insufficiency, has occurred with heparin therapy, including fatal cases.
- Ovarian (corpus luteum) hemorrhage developed in a number of women of reproductive age receiving short- or long-term heparin therapy.
- Retroperitoneal hemorrhage
- HIT and HITT, including delayed onset cases [see Warnings and Precautions (5.3)].
- Local Irritation – Local irritation, erythema, mild pain, hematoma or ulceration may follow deep subcutaneous (intrafat) injection of heparin sodium. Because these complications are much more common after intramuscular use, the intramuscular route is not recommended.
- Histamine-like reactions – Such reactions have been observed at the site of injections. Necrosis of the skin has been reported at the site of subcutaneous injection of heparin sodium, occasionally requiring skin grafting [see Warnings and Precautions (5.3)].
- Hypersensitivity – Generalized hypersensitivity reactions have been reported, with chills, fever and urticaria as the most usual manifestations, and asthma, rhinitis, lacrimation, headache, nausea and vomiting, and anaphylactoid reactions, including shock, occurring less frequently. Itching and burning, especially on the plantar side of the feet, may occur [see Warnings and Precautions (5.8)].
- Elevations of aminotransferases – Significant elevations of aspartate aminotransferase (AST) and alanine aminotransferase (ALT) levels have occurred in patients who have received heparin sodium.
- Miscellaneous - Osteoporosis following long-term administration of high doses of heparin sodium, cutaneous necrosis after systemic administration, suppression of aldosterone synthesis, delayed transient alopecia, priapism, and rebound hyperlipemia on discontinuation of heparin sodium have also been reported.
7.1 Oral Anticoagulants
Heparin sodium may prolong the one-stage prothrombin time. Therefore, when heparin sodium is given with dicumarol or warfarin sodium, a period of at least 5 hours after the last intravenous dose or 24 hours after the last subcutaneous dose should elapse before blood is drawn, if a valid prothrombin time is to be obtained.
7.2 Platelet Inhibitors
Drugs such as NSAIDS (including salicylic acid, ibuprofen, indomethacin, and celecoxib), dextran, phenylbutazone, thienopyridines, dipyridamole, hydroxychloroquine, glycoprotein IIb/IIIa antagonists (including abciximab, eptifibatide, and tirofiban), and others that interfere with platelet-aggregation reactions (the main hemostatic defense of heparinized patients) may induce bleeding and should be used with caution in patients receiving heparin sodium. To reduce the risk of bleeding, a reduction in the dose of antiplatelet agent or heparin sodium is recommended.
7.3 Other Interactions
Digitalis, tetracyclines, nicotine or antihistamines may partially counteract the anticoagulant action of heparin sodium. Intravenous nitroglycerin administered to heparinized patients may result in a decrease of the partial thromboplastin time with subsequent rebound effect upon discontinuation of nitroglycerin. Careful monitoring of partial thromboplastin time and adjustment of heparin sodium dosage are recommended during coadministration of heparin sodium and intravenous nitroglycerin.
Antithrombin III (human) – The anticoagulant effect of heparin sodium is enhanced by concurrent treatment with antithrombin III (human) in patients with hereditary antithrombin III deficiency. To reduce the risk of bleeding, a reduced dosage of heparin sodium is recommended during treatment with antithrombin III (human).
Other
Risk Summary
There are no available data on heparin sodium injection use in pregnant women to inform a drug-associated risk of major birth defects and miscarriage. In published reports, heparin sodium exposure during pregnancy did not show evidence of an increased risk of adverse maternal or fetal outcomes in humans. No teratogenicity, but early embryo-fetal death was observed in animal reproduction studies with administration of heparin sodium to pregnant rats and rabbits during organogenesis at doses approximately 10 times the maximum recommended human dose (MRHD) of 45,000 units/ day [see Data]. Consider the benefits and risks of heparin sodium injection for the mother and possible risks to the fetus when prescribing heparin sodium injection to a pregnant woman.
If available, preservative-free heparin sodium injection is recommended when heparin therapy is needed during pregnancy. There are no known adverse outcomes associated with fetal exposure to the preservative benzyl alcohol through maternal drug administration; however, the preservative benzyl alcohol can cause serious adverse events and death when administered intravenously to neonates and infants [see Warnings and Precautions (5.4)].
The background risk of major birth defects and miscarriage for the indicated population is unknown. In the U.S. general population, the estimated background risk of major birth defects and miscarriage in clinically recognized pregnancies is 2-4% and 15-20%, respectively.
Data
Human Data
The maternal and fetal outcomes associated with uses of heparin sodium via various dosing methods and administration routes during pregnancy have been investigated in numerous studies. These studies generally reported normal deliveries with no maternal or fetal bleeding and no other complications.
Animal Data
In a published study conducted in rats and rabbits, pregnant animals received heparin sodium intravenously during organogenesis at a dose of 10,000 units/kg/day, approximately 10 times the maximum human daily dose based on body weight. The number of early resorptions increased in both species. There was no evidence of teratogenic effects.
Risk Summary
If available, preservative-free heparin sodium injection is recommended when heparin therapy is needed during lactation. Benzyl alcohol present in maternal serum is likely to cross into human milk and may be orally absorbed by a nursing infant. There is no information regarding the presence of heparin sodium injection in human milk, the effects on the breastfed infant, or the effects on milk production. Due to its large molecular weight, heparin sodium is not likely to be excreted in human milk, and any heparin sodium in milk would not be orally absorbed by a nursing infant. The developmental and health benefits of breastfeeding should be considered along with the mother's clinical need for heparin sodium injection and any potential adverse effects on the breastfed infant from heparin sodium injection or from the underlying maternal condition [see Use in Specific Populations (8.4)].
Benzyl Alcohol Toxicity
Use preservative-free heparin sodium injection in neonates and infants.
Serious adverse reactions including fatal reactions and the “gasping syndrome” occurred in premature neonates and infants in the neonatal intensive care unit who received drugs containing benzyl alcohol as a preservative. In these cases, benzyl alcohol dosages of 99 to 234 mg/kg/day produced high levels of benzyl alcohol and its metabolites in the blood and urine (blood levels of benzyl alcohol were 0.61 to 1.378 mmol/L). Additional adverse reactions included gradual neurological deterioration, seizures, intracranial hemorrhage, hematologic abnormalities, skin breakdown, hepatic and renal failure, hypotension, bradycardia, and cardiovascular collapse. Preterm, low-birth weight infants may be more likely to develop these reactions because they may be less able to metabolize benzyl alcohol.
Neutralization of Heparin Effect
When clinical circumstances (bleeding) require reversal of the heparin sodium effect, protamine sulfate (1% solution) by slow infusion will neutralize heparin sodium. No more than 50 mg should be administered, very slowly, in any 10-minute period. Each mg of protamine sulfate neutralizes approximately 100 USP heparin sodium units. The amount of protamine required decreases over time as heparin sodium is metabolized. Although the metabolism of heparin sodium is complex, it may, for the purpose of choosing a protamine dose, be assumed to have a half-life of about 1/2 hour after intravenous injection.
Because fatal reactions often resembling anaphylaxis have been reported with protamine, it should be given only when resuscitation techniques and treatment of anaphylactoid shock are readily available.
For additional information consult the labeling of protamine sulfate injection.
Distribution
Heparin sodium is highly bound to antithrombin, fibrinogens, globulins, serum proteases and lipoproteins. The volume of distribution is 0.07 L/kg.
Elimination
Metabolism
Heparin sodium does not undergo enzymatic degradation.
Excretion
Heparin sodium is mainly cleared from the circulation by liver and reticuloendothelial cells mediated uptake into extravascular space. Heparin sodium undergoes biphasic clearance, a) rapid saturable clearance (zero order process due to binding to proteins, endothelial cells and macrophage) and b) slower first order elimination. The plasma half-life is dose-dependent and it ranges from 0.5 to 2 h.
Specific Populations
Geriatric patients
Patients over 60 years of age, following similar doses of heparin sodium, may have higher plasma levels of heparin sodium and longer activated partial thromboplastin times (APTTs) compared with patients under 60 years of age [see Use in Specific Populations (8.5)].
Hemorrhage
Inform patients that it may take them longer than usual to stop bleeding, that they may bruise and/or bleed more easily when they are treated with heparin sodium, and that they should report any unusual bleeding or bruising to their physician. Hemorrhage can occur at virtually any site in patients receiving heparin sodium. Fatal hemorrhages have occurred [see Warnings and Precautions (5.2)].
Prior to Surgery
Advise patients to inform physicians and dentists that they are receiving heparin sodium before any surgery is scheduled [see Warnings and Precautions (5.2)].
Heparin-Induced Thrombocytopenia
Inform patients of the risk of heparin-induced thrombocytopenia (HIT). HIT may progress to the development of venous and arterial thromboses, a condition known as heparin-induced thrombocytopenia and thrombosis (HITT). HIT and HITT can occur up to several weeks after the discontinuation of heparin therapy [see Warnings and Precautions (5.3)].
Hypersensitivity
Inform patients that generalized hypersensitivity reactions have been reported. Necrosis of the skin has been reported at the site of subcutaneous injection of heparin sodium [see Warnings and Precautions (5.8), Adverse Reactions (6.1)].
Other Medications
Because of the risk of hemorrhage, advise patients to inform their physicians and dentists of all medications they are taking, including non-prescription medications, and before starting any new medication [see Drug Interactions (7.1)].
Mfd. for Meitheal Pharmaceuticals
Chicago, IL 60631 (USA)
©2020 Meitheal Pharmaceuticals Inc.
June 2020
810059-00
8.4 Pediatric Use
There are no adequate and well controlled studies on heparin sodium use in pediatric patients. Pediatric dosing recommendations are based on clinical experience [see Dosage and Administration (2.5)].
Carefully examine all heparin sodium injection syringes to confirm choice of the correct strength prior to administration of the drug. Pediatric patients, including neonates, have died as a result of medication errors in which heparin sodium injection vials have been confused with “catheter lock flush” vials [see Warnings and Precautions (5.1)].
8.5 Geriatric Use
There are limited adequate and well-controlled studies in patients 65 years and older, however, a higher incidence of bleeding has been reported in patients, particularly women, over 60 years of age [see Warnings and Precautions (5.2)]. Patients over 60 years of age may require lower doses of heparin sodium.
Lower doses of heparin sodium may be indicated in these patients [see Clinical Pharmacology (12.3)].
10 Overdosage
Bleeding is the chief sign of heparin sodium overdosage.
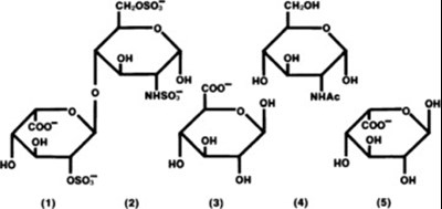
11 Description
Heparin is a heterogeneous group of straight-chain anionic mucopolysaccharides, called glycosaminoglycans, possessing anticoagulant properties. It is composed of polymers of alternating derivations of α-D-glucosamido (N-sulfated O-sulfated or N-acetylated) and O-sulfated uronic acid (α-L-iduronic acid or β-D-glucuronic acid).
Structure of heparin sodium (representative subunits):
Heparin Sodium Injection, USP is a sterile solution of heparin sodium derived from porcine intestinal mucosa, standardized for anticoagulant activity. It is to be administered by intravenous or deep subcutaneous routes. The potency is determined by a biological assay using a USP reference standard based on units of heparin activity per milligram.
Heparin Sodium Injection, USP preserved with benzyl alcohol, is available in the following concentrations per mL:
| Heparin Sodium | Sodium Chloride | Benzyl Alcohol |
| 5,000 USP units | 7 mg | 10.42 mg |
pH 5.0 to 7.5; sodium hydroxide and/or hydrochloric acid added, if needed, for pH adjustment.
12.1 Mechanism Of Action
Heparin sodium interacts with the naturally occurring plasma protein, Antithrombin III, to induce a conformational change, which markedly enhances the serine protease activity of Antithrombin III, thereby inhibiting the activated coagulation factors involved in the clotting sequence, particularly Xa and IIa. Small amounts of heparin sodium inhibit Factor Xa, and larger amounts inhibit thrombin (Factor IIa). Heparin sodium also prevents the formation of a stable fibrin clot by inhibiting the activation of the fibrin stabilizing factor. Heparin sodium does not have fibrinolytic activity; therefore, it will not lyse existing clots.
12.2 Pharmacodynamics
Various times (activated clotting time, activated partial thromboplastin time, prothrombin time, whole blood clotting time) are prolonged by full therapeutic doses of heparin sodium; in most cases, they are not measurably affected by low doses of heparin sodium. The bleeding time is usually unaffected by heparin sodium.
12.3 Pharmacokinetics
Absorption
Heparin sodium is not absorbed through the gastrointestinal tract and therefore administered via parenteral route. Peak plasma concentration and the onset of action are achieved immediately after intravenous administration.
13.1 Carcinogenesis, Mutagenesis, Impairment Of Fertility
No long-term studies in animals have been performed to evaluate carcinogenic potential of heparin sodium. Also, no reproduction studies in animals have been performed concerning mutagenesis or impairment of fertility.
16 How Supplied/Storage And Handling
Heparin Sodium Injection, USP preserved with benzyl alcohol is available in the following strength and package size:
| NDC | Heparin Sodium Injection, USP (5,000 USP units per mL) | Package Factor |
| 71288-406-82 | 5,000 USP units per 1 mL, Prefilled Single-Dose Syringe | 24 syringes per carton |
Storage And Handling
Store at 20° to 25°C (68° to 77°F). [See USP Controlled Room Temperature.]
Do not place syringe on a sterile field.
Discard unused portion.
Sterile, Nonpyrogenic.
The container closure is not made with natural rubber latex.
Package Label.Principal Display Panel
Principal Display Panel – Heparin Sodium Injection, USP 5,000 USP units per mL Syringe Label
For Intravenous or Subcutaneous Use
1 mL Prefilled Single-Dose Syringe
FROM PORCINE INTESTINAL MUCOSA
Mfd. For Meitheal Pharmaceuticals
NDC 71288-406-81
Rx Only
Heparin Sodium Injection, USP
5,000 USP units per mL
NOT for Lock Flush
Principal Display Panel – Heparin Sodium Injection, USP 5,000 USP units per mL Blister Pack Label
NDC 71288-406-81
Rx Only
Heparin Sodium Injection, USP
5,000 USP units per mL
NOT for Lock Flush
For Intravenous or Subcutaneous Use
1 mL Prefilled Single-Dose Syringe
FROM PORCINE INTESTINAL MUCOSA
Principal Display Panel – Heparin Sodium Injection, USP 5,000 USP units per mL Carton
NDC 71288-406-82
24 x 1 mL Prefilled Single-Dose Syringes
Discard unused portion
Rx Only
Heparin Sodium Injection, USP
5,000 USP units per mL
NOT for Lock Flush
For Intravenous or Subcutaneous Use
FROM PORCINE INTESTINAL MUCOSA
* Please review the disclaimer below.



