Product Images Furosemide

View Photos of Packaging, Labels & Appearance

Product Label Images

The following 3 images provide visual information about the product associated with Furosemide NDC 71335-0852 by Bryant Ranch Prepack, such as packaging, labeling, and the appearance of the drug itself. This resource could be helpful for medical professionals, pharmacists, and patients seeking to verify medication information and ensure they have the correct product.

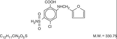
This is an image of the structural formula for furosemide. - furosemide tablets 1

This is an image of the structural formula for furosemide. - furosemide tablets 1

This text likely represents the chemical formula and molecular weight of a compound: C1oHy1CIN,OsS M.W.=330.75. However, it is missing some information such as the full name of the compound and the units of measurement for the molecular weight.*

Label Image - lbl713350842

Label Image - lbl713350842

This is a package of Furosemide tablets, each containing 40mg of the active ingredient. The tablets are packaged and distributed by Eopant Rk Znbank and are meant to be stored at room temperature, around 20-25°C. The package contains 40 tablets with an expiration date of MM/YY. The NDC number for this drug is 7133508421 014341119791. It is important to keep all drugs out of the reach of children.*

Label Image - lbl713350852

Label Image - lbl713350852

This is a description of a packaged drug called Furosemide, which comes in the form of a 20mg tablet. The package was made by Evyant Ranch Babank, located in 91504 area. The tablet should be stored at room temperature, between 20-25°C (68-77°F). The package contains 30 tablets, and the expiry date is labeled as MMYY. The NDC code is 7133508521 026831120089. It is recommended to keep all drugs out of reach of children.*

* The product label images have been analyzed using a combination of traditional computing and machine learning techniques. It should be noted that the descriptions provided may not be entirely accurate as they are experimental in nature. Use the information in this page at your own discretion and risk.