Product Images Atorvastatin Calcium

View Photos of Packaging, Labels & Appearance

Product Label Images

The following 6 images provide visual information about the product associated with Atorvastatin Calcium NDC 71335-1010 by Bryant Ranch Prepack, such as packaging, labeling, and the appearance of the drug itself. This resource could be helpful for medical professionals, pharmacists, and patients seeking to verify medication information and ensure they have the correct product.

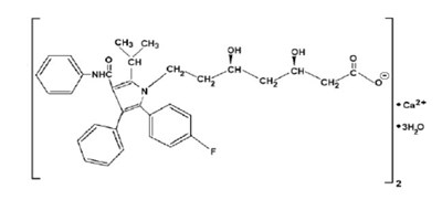
structure - image 01

structure - image 01

figure1 - image 02

figure1 - image 02

figure 2 - image 03

figure 2 - image 03

The given text seems to be a part of a table displaying the Cumulative Hazard (%) for Placebo and Atorvastatin. It also shows the Hazard Ratio (HR) with its corresponding confidence interval (0.48-0.83) and a p-value (p=0.001). The table represents the time to the first primary endpoint through four years of follow-up in years. It is not possible to evaluate the complete description without the entire context.*

figure 3 - image 04

figure 3 - image 04

Label Image - lbl713351010

Label Image - lbl713351010

Atorvastatin Calcium is a pharmaceutical drug used to treat high cholesterol. This particular medication is in the form of 20 mg Tablets, and is stored at a controlled temperature between 20-25°C. The medication should be properly sealed in an opaque container to protect it against light. The NDC (National Drug Code) for this product is 71335-1010-1, and it is available only by prescription from a medical professional.*

lbl7133510102

lbl7133510102

This appears to be a label on a medication bottle of Atorvastatin, a generic drug that is used to lower cholesterol and triglycerides in the blood. The tablet is white and oval-shaped with an imprint of "RX828". Each tablet contains 20mg of Calcium. The instructions say to keep the bottle tightly closed and store it at room temperature between 20°-25°C (68°-77°F). It is recommended to compare this medication to Lipitor 20mg Tablet. There are 30 tablets in the bottle which have an expiration date that will be commonly written as "MM/YY". The NDC (National Drug Code) is 7133510101 and the UPC (Universal Product Code) is 04849301523487.*

* The product label images have been analyzed using a combination of traditional computing and machine learning techniques. It should be noted that the descriptions provided may not be entirely accurate as they are experimental in nature. Use the information in this page at your own discretion and risk.