Product Images Atorvastatin Calcium

View Photos of Packaging, Labels & Appearance

Product Label Images

The following 5 images provide visual information about the product associated with Atorvastatin Calcium NDC 71335-1388 by Bryant Ranch Prepack, such as packaging, labeling, and the appearance of the drug itself. This resource could be helpful for medical professionals, pharmacists, and patients seeking to verify medication information and ensure they have the correct product.

Figure - atorvastatin calcium figure 1

Figure - atorvastatin calcium figure 1

Figure - atorvastatin calcium figure 2

Figure - atorvastatin calcium figure 2

The text appears to be a graph depicting the Cumulative Hazard over time to the first primary endpoint through four years of follow-up. It includes data on both placebo and Atorvastatin, and a hazard ratio of 0.63 is indicated with a p-value of 0.001.*

Figure - atorvastatin calcium figure 3

Figure - atorvastatin calcium figure 3

This is a graphical representation showing the percentage of subjects who experienced a major cardiovascular event over time. Two groups were compared - one treated with Atorvastatin 10 mg and the other group with Atorvastatin 80 mg. The results indicate that those treated with the higher dose had a lower risk of experiencing a major cardiovascular event with a hazard ratio of 0.78 (95% confidence interval 0.69-0.89) and a p-value of 0.0002. The time to the first major cardiovascular event was measured in years.*

Chemical Structure - atorvastatin calcium structure

Chemical Structure - atorvastatin calcium structure

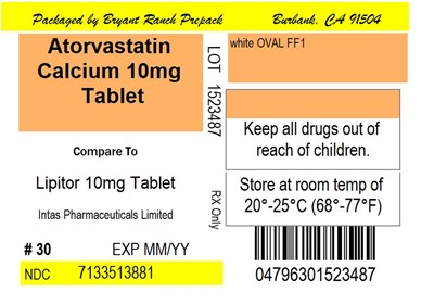
Label - lbl713351388

Label - lbl713351388

This appears to be a drug label for Atorvastatin, a 10mg calcium tablet used to lower cholesterol levels. It is important to keep all drugs out of reach of children and store them at room temperature. The label includes information on the manufacturer, expiry date, and National Drug Code (NDC).*

* The product label images have been analyzed using a combination of traditional computing and machine learning techniques. It should be noted that the descriptions provided may not be entirely accurate as they are experimental in nature. Use the information in this page at your own discretion and risk.