Product Images Losortan Potassium

View Photos of Packaging, Labels & Appearance

Product Label Images

The following 6 images provide visual information about the product associated with Losortan Potassium NDC 71335-1644 by Bryant Ranch Prepack, such as packaging, labeling, and the appearance of the drug itself. This resource could be helpful for medical professionals, pharmacists, and patients seeking to verify medication information and ensure they have the correct product.

Losapotatab1 - c516a5a7 cfc8 4b3b a8bc 7644c3313673 01

Losapotatab1 - c516a5a7 cfc8 4b3b a8bc 7644c3313673 01

losapotatab2 - c516a5a7 cfc8 4b3b a8bc 7644c3313673 02

losapotatab2 - c516a5a7 cfc8 4b3b a8bc 7644c3313673 02

This appears to be a partial data report from a study comparing the effectiveness of Atenolol and Losartan Potassium on a primary endpoint. The adjusted risk reduction percentage is given as 13% with a P-value of 0.021. There are also some numbers listed under "Study Month". It is unclear what these numbers represent.*

losapotatab3 - c516a5a7 cfc8 4b3b a8bc 7644c3313673 03

losapotatab3 - c516a5a7 cfc8 4b3b a8bc 7644c3313673 03

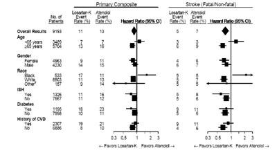
This appears to be a graph or chart showing the percentage of patients who experienced a fatal or non-fatal stroke while taking either Atenolol or Losartan Potassium, along with an adjusted risk reduction percentage and a p-value. Not enough context is given to provide a more detailed description or interpretation of the data.*

losapotatab - c516a5a7 cfc8 4b3b a8bc 7644c3313673 04

losapotatab - c516a5a7 cfc8 4b3b a8bc 7644c3313673 04

losapotatab5 - c516a5a7 cfc8 4b3b a8bc 7644c3313673 05

losapotatab5 - c516a5a7 cfc8 4b3b a8bc 7644c3313673 05

This appears to be a table for a clinical trial comparing Losartan Potassium tablets to a placebo for an unknown medical condition. The table displays the percentage of patients experiencing an "event" categorized by those who had zero events and those who had 20 or more events. The data suggests that the risk reduction for patients using Losartan Potassium tablets is 16.1% with a p-value of 0.022. The significance of these numbers cannot be determined without additional context.*

Label Image - lbl713351644

Label Image - lbl713351644

This appears to be a label from a medication bottle. The medication is Losartan, which is in the form of a white capsule. Potassium tablets with a strength of 25mg are also mentioned on the label. The manufacturer appears to be Cadila Healthcare Ltd. The label also provides storage instructions and the expiration date.*

* The product label images have been analyzed using a combination of traditional computing and machine learning techniques. It should be noted that the descriptions provided may not be entirely accurate as they are experimental in nature. Use the information in this page at your own discretion and risk.