Product Images Azithromycin

View Photos of Packaging, Labels & Appearance

Product Label Images

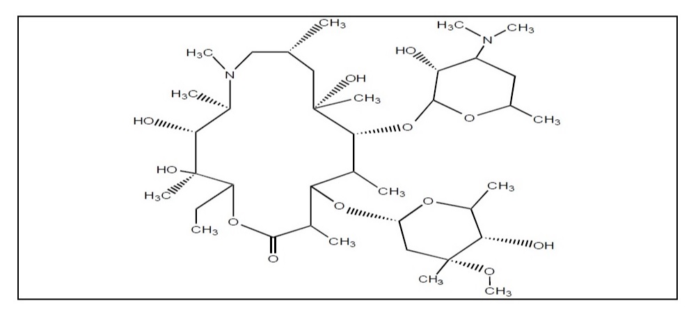
The following 2 images provide visual information about the product associated with Azithromycin NDC 71335-1755 by Bryant Ranch Prepack, such as packaging, labeling, and the appearance of the drug itself. This resource could be helpful for medical professionals, pharmacists, and patients seeking to verify medication information and ensure they have the correct product.

Structure - Structure 01

Structure - Structure 01

Label - lbl713351755

Label - lbl713351755

This is a description of a medication package including the name of the manufacturer and the code "04 91502". It is meant to be compared to a medication called "Zitromax 500mg Tablet" made by Bluepharma that comes in a package of 30 tablets with an expiration date of MM/YY and the NDC code 7133517551. The package includes storage instructions and a warning to keep all drugs out of reach of children. The text "Ajuo xy" does not provide any useful information.*

* The product label images have been analyzed using a combination of traditional computing and machine learning techniques. It should be noted that the descriptions provided may not be entirely accurate as they are experimental in nature. Use the information in this page at your own discretion and risk.