Product Images Captopril

View Photos of Packaging, Labels & Appearance

Product Label Images

The following 2 images provide visual information about the product associated with Captopril NDC 71335-1918 by Bryant Ranch Prepack, such as packaging, labeling, and the appearance of the drug itself. This resource could be helpful for medical professionals, pharmacists, and patients seeking to verify medication information and ensure they have the correct product.

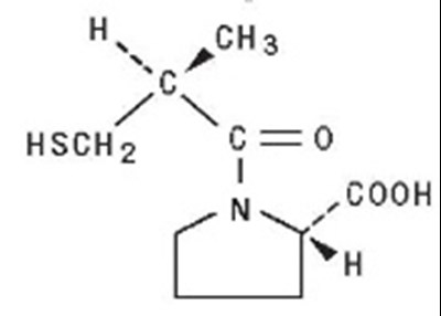
captopril-structure - captopril structure

captopril-structure - captopril structure

Label - lbl713351918

Label - lbl713351918

This text seems to be a combination of various medical and pharmaceutical details. The given information includes the name of a company ("Buyant Ranch Prcpach Bunbank") and a medical drug ("Captopril 25mg"), along with its physical description as "WHITE ROUND" and a few other details like "Tablet N". The text also provides instructions for storage and safety precautions, such as keeping the drug at room temperature and out of reach of children. There are also some identification numbers mentioned, such as "NDC 7133519181 013381001523487". Overall, this text could be part of a prescription or drug label.*

* The product label images have been analyzed using a combination of traditional computing and machine learning techniques. It should be noted that the descriptions provided may not be entirely accurate as they are experimental in nature. Use the information in this page at your own discretion and risk.