Product Images Atorvastatin Calcium

View Photos of Packaging, Labels & Appearance

Product Label Images

The following 5 images provide visual information about the product associated with Atorvastatin Calcium NDC 71335-2393 by Bryant Ranch Prepack, such as packaging, labeling, and the appearance of the drug itself. This resource could be helpful for medical professionals, pharmacists, and patients seeking to verify medication information and ensure they have the correct product.

figure1 - figure1

figure1 - figure1

figure2 - figure2

figure2 - figure2

figure3 - figure3

figure3 - figure3

Label - lbl713352393

Label - lbl713352393

Each film-coated tablet contains Atorvastatin Calcium Trihydrate at a dosage of 20mg. This medication should be stored at a temperature range of 20° to 25°C (68° to 77°F) and must be kept out of reach of children. It is intended for prescription use only and should be dispensed in a tight container. More information can be found in the patient package inserts available online.*

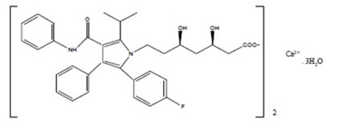
structure - structure

structure - structure

* The product label images have been analyzed using a combination of traditional computing and machine learning techniques. It should be noted that the descriptions provided may not be entirely accurate as they are experimental in nature. Use the information in this page at your own discretion and risk.