Product Images Desvenlafaxine

View Photos of Packaging, Labels & Appearance

Product Label Images

The following 7 images provide visual information about the product associated with Desvenlafaxine NDC 71335-2512 by Bryant Ranch Prepack, such as packaging, labeling, and the appearance of the drug itself. This resource could be helpful for medical professionals, pharmacists, and patients seeking to verify medication information and ensure they have the correct product.

image description - desvenlafaxine tablets figure 1

image description - desvenlafaxine tablets figure 1

image description - desvenlafaxine tablets figure 2

image description - desvenlafaxine tablets figure 2

This text provides information about changes in ketoconazole levels due to CYP3A4 inhibitors. It includes geometric mean ratio values with confidence intervals for Cmax and shows the relative change compared to the reference. This data can be used for evaluating the impact of these inhibitors on drug metabolism.*

image description - desvenlafaxine tablets figure 3

image description - desvenlafaxine tablets figure 3

image description - desvenlafaxine tablets figure 4

image description - desvenlafaxine tablets figure 4

This text provides information on the estimated proportion of patients with relapse, with 40% of patients experiencing relapse. It also includes a graph showing the time to relapse in days from randomization for Desverla 50mg and Placebo.*

image description - desvenlafaxine tablets figure 5

image description - desvenlafaxine tablets figure 5

This text provides data on the estimated proportion of patients with relapse over time in a study comparing Desvenlafaxine to a placebo. It includes a graph showing the time to relapse in days from randomization. The information is visualized using a bar graph with marks at 0, 50, 100, and 150 days, with a comparison between Desvenlafaxine and Placebo at the 200-day mark.*

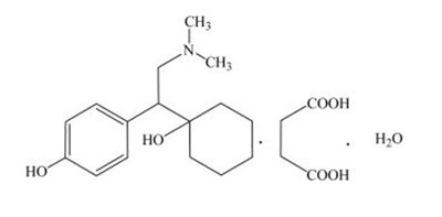
image description - desvenlafaxine tablets structure

image description - desvenlafaxine tablets structure

Label - lbl713352512

Label - lbl713352512

This is a description of Desvenlafaxine Extended-Release Tablets 100mg. The tablets are film-coated and each tablet contains 152mg of Desvenlafaxine Succinate equivalent to 100mg of Desvenlafaxine. The instructions advise keeping the medication out of reach from children and storing it between 20° to 25°C. It is important to swallow the tablets whole and not break, crush, dissolve, or chew them. The text also includes information for pharmacists to dispense Patient Package Inserts and Medication Guide. The tablets are part of a pharmaceutical product from Bryant Ranch Prepack, Inc. and manufactured by Rubicon Research Private Limited. The full details can be accessed using the link provided in the text.*

* The product label images have been analyzed using a combination of traditional computing and machine learning techniques. It should be noted that the descriptions provided may not be entirely accurate as they are experimental in nature. Use the information in this page at your own discretion and risk.