Product Images Tramadol Hydrochloride

View Photos of Packaging, Labels & Appearance

Product Label Images

The following 4 images provide visual information about the product associated with Tramadol Hydrochloride NDC 71335-2721 by Bryant Ranch Prepack, such as packaging, labeling, and the appearance of the drug itself. This resource could be helpful for medical professionals, pharmacists, and patients seeking to verify medication information and ensure they have the correct product.

Label - lbl713352721

Label - lbl713352721

This text provides information about a tablet containing Tramadol Hydrochloride 50 mg. It includes directions for storage, warning of potential side effects such as drowsiness, and instructions for keeping the medication out of reach of children. The text also mentions to dispense the tablets in a tight, light-resistant container. Dosage information and additional prescribing details can be found in the package insert.*

image description - tramadol hcl tabs figure 01

image description - tramadol hcl tabs figure 01

This text provides data related to the levels of Tramadol in blood plasma over time. The measurements appear to include both single and multiple doses of Tramadol and its metabolite M1. The units of measurement are likely in micrograms per milliliter (µg/mL). The time intervals indicated are 0, 12, 24, and 38 hours.*

image description - tramadol hcl tabs figure 02

image description - tramadol hcl tabs figure 02

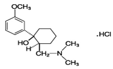
image description - tramadol hcl tabs structure

image description - tramadol hcl tabs structure

* The product label images have been analyzed using a combination of traditional computing and machine learning techniques. It should be noted that the descriptions provided may not be entirely accurate as they are experimental in nature. Use the information in this page at your own discretion and risk.