Product Images Prednisone Tablets, Usp, 5 Mg

View Photos of Packaging, Labels & Appearance

Product Label Images

The following 2 images provide visual information about the product associated with Prednisone Tablets, Usp, 5 Mg NDC 71335-3043 by Bryant Ranch Prepack, such as packaging, labeling, and the appearance of the drug itself. This resource could be helpful for medical professionals, pharmacists, and patients seeking to verify medication information and ensure they have the correct product.

Label - lbl713353043

Label - lbl713353043

This text shows a medication package containing tablets of Prednisone (5 mg) with a warning that it is not for household use. It mentions specific storage instructions to keep the tablets in a child-resistant container at a temperature range of 20° to 25°C (68° to 77°F), with excursions allowed to 15° to 30°C (59° to 86°F). The tablets are to be protected from moisture and kept out of reach of children. The tablets are dispensed in a tight container and manufactured by Bryant Ranch Prepack, Inc. The package insert confirms that it contains 1000 tablets and should only be prescribed by a healthcare professional.*

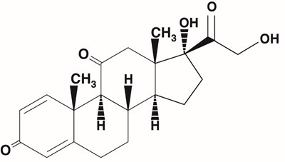
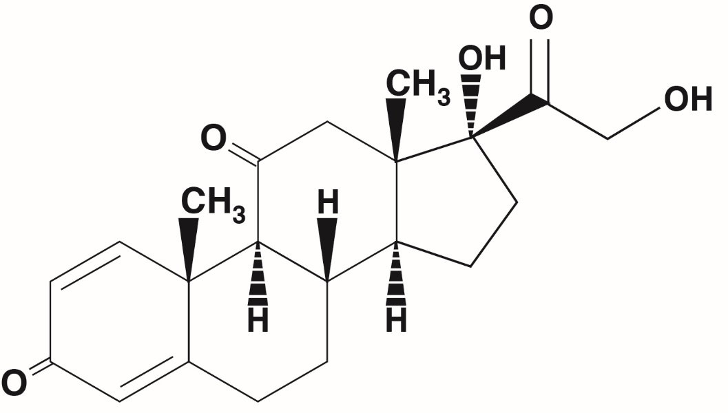
chem-pred.jpg - pred struc.

chem-pred.jpg - pred struc.

* The product label images have been analyzed using a combination of traditional computing and machine learning techniques. It should be noted that the descriptions provided may not be entirely accurate as they are experimental in nature. Use the information in this page at your own discretion and risk.