Product Images Furosemide

View Photos of Packaging, Labels & Appearance

Product Label Images

The following 3 images provide visual information about the product associated with Furosemide NDC 71610-096 by Aphena Pharma Solutions - Tennessee, Llc, such as packaging, labeling, and the appearance of the drug itself. This resource could be helpful for medical professionals, pharmacists, and patients seeking to verify medication information and ensure they have the correct product.

Bottle Label 20 mg - 71610 0096 30

Bottle Label 20 mg - 71610 0096 30

Furosemide is a medication available in the form of 20mg tablets packed in a bottle of 30 tablets. The National Drug Code (NOC) assigned to this product is 71610006630.*

Aphena Pharma Solutions - TN - Aphena

Aphena Pharma Solutions - TN - Aphena

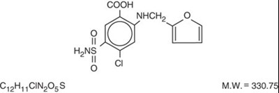
This is an image of the structural formula for furosemide. - furosemide tablets 1

This is an image of the structural formula for furosemide. - furosemide tablets 1

This is a chemical formula indicating the molecular structure of an unknown substance. It is not possible to determine the specific properties or characteristics of the substance based on this information alone.*

* The product label images have been analyzed using a combination of traditional computing and machine learning techniques. It should be noted that the descriptions provided may not be entirely accurate as they are experimental in nature. Use the information in this page at your own discretion and risk.