Product Images Metformin Hydrochloride

View Photos of Packaging, Labels & Appearance

Product Label Images

The following 3 images provide visual information about the product associated with Metformin Hydrochloride NDC 71610-533 by Aphena Pharma Solutions - Tennessee, Llc, such as packaging, labeling, and the appearance of the drug itself. This resource could be helpful for medical professionals, pharmacists, and patients seeking to verify medication information and ensure they have the correct product.

Bottle Label 500 mg - 71610 0533 30

Bottle Label 500 mg - 71610 0533 30

Aphena Pharma Solutions - TN - Aphena

Aphena Pharma Solutions - TN - Aphena

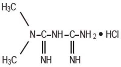
Chemical Structure - metformin 01

Chemical Structure - metformin 01