Product Images Metformin Hydrochloride

View Photos of Packaging, Labels & Appearance

Product Label Images

The following 3 images provide visual information about the product associated with Metformin Hydrochloride NDC 71610-672 by Aphena Pharma Solutions - Tennessee, Llc, such as packaging, labeling, and the appearance of the drug itself. This resource could be helpful for medical professionals, pharmacists, and patients seeking to verify medication information and ensure they have the correct product.

Bottle Label 1000 mg - 71610 0672 30

Bottle Label 1000 mg - 71610 0672 30

Metformin HCI, USP is a medication available in the form of 30 tablets of 1000mg each. The medication is identified with the NDC number 71610-0672-30. The remaining text appears to be unreadable and does not provide any useful information.*

Aphena Pharma Solutions - TN - Aphena

Aphena Pharma Solutions - TN - Aphena

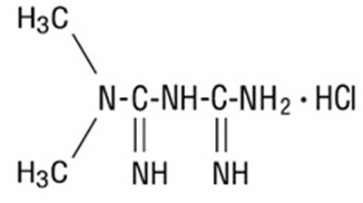
Formula - met structure

Formula - met structure

* The product label images have been analyzed using a combination of traditional computing and machine learning techniques. It should be noted that the descriptions provided may not be entirely accurate as they are experimental in nature. Use the information in this page at your own discretion and risk.