Product Images Lisinopril
View Photos of Packaging, Labels & Appearance
Product Label Images
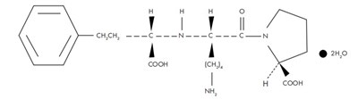
The following 3 images provide visual information about the product associated with Lisinopril NDC 71610-727 by Aphena Pharma Solutions - Tennessee, Llc, such as packaging, labeling, and the appearance of the drug itself. This resource could be helpful for medical professionals, pharmacists, and patients seeking to verify medication information and ensure they have the correct product.
 
                             
                            