Product Images Ticagrelor

View Photos of Packaging, Labels & Appearance

Product Label Images

The following 21 images provide visual information about the product associated with Ticagrelor NDC 71610-914 by Aphena Pharma Solutions - Tennessee, Llc, such as packaging, labeling, and the appearance of the drug itself. This resource could be helpful for medical professionals, pharmacists, and patients seeking to verify medication information and ensure they have the correct product.

Label - 71610 0914 41

Label - 71610 0914 41

This text appears to list information about Ticagrelor tablets, specifying the quantity as 5400 tablets and providing a product code (No: 7161001441). It also mentions a batch number as "2" and a location "Cookeville, TN." Additionally, it notes some details under "SN Posoasoses" and "G tesierorasnz."*

Aphena - Aphena

Aphena - Aphena

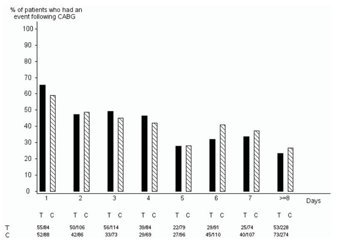
Figure 1 - Figure 1

Figure 1 - Figure 1

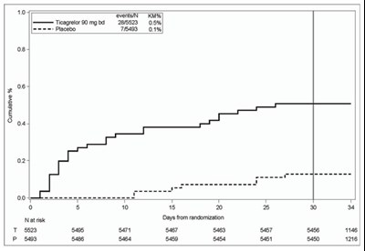
This text provides data on the comparison between two groups of patients receiving different medications, Ti%0mg and Clopidogrel. It includes the number of patients with events, Kaplan-Meier percentage at 12 months, and the number of days from the first study drug dose. The comparison shows the percentage of patients experiencing events and their respective risks at different time points.*

Figure 10 - Figure 10

Figure 10 - Figure 10

This is a statistical data for patients in a study evaluating the efficacy of medications. The table shows the cumulative percentage of patients over time, number of patients with events, Kaplan-Meier percentage at 12 months, hazard ratio, p-value, and days from randomization for two groups: Tiwom and Clopidogrel. The data suggests a higher percentage of events in the Tiwom group compared to the Clopidogrel group.*

Figure 11 - Figure 11

Figure 11 - Figure 11

Figure 12 - Figure 12

Figure 12 - Figure 12

Figure 13 - Figure 13

Figure 13 - Figure 13

This text contains clinical trial data presenting outcomes for patients under different treatments at various time points. It provides information on the number of patients experiencing events, Kaplan-Meier estimates at 36 months, Hazard Ratios (HR) with confidence intervals, and a numerical breakdown of patients at risk over time. The results indicate that patients on different treatment regimens had varying event rates and survival outcomes. The details are essential for evaluating the effectiveness of the treatments in the study.*

Figure 14 - Figure 14

Figure 14 - Figure 14

Figure 15 - Figure 15

Figure 15 - Figure 15

Figure 16 - Figure 16

Figure 16 - Figure 16

Figure 17 - Figure 17

Figure 17 - Figure 17

This text appears to provide information about a clinical trial or study involving Ticagrelor 90 mg and a Placebo. It also includes data related to the days from randomization.*

Figure 18 - Figure 18

Figure 18 - Figure 18

The text provides a detailed breakdown of various characteristics and statistics related to a study or analysis. It includes data on demographics (such as race), health conditions (diabetes, hypertension), prior medical history (strokes, heart disease), medication usage, and physical characteristics. The text also contains percentages, numbers, and values related to different parameters, including weight, geographic region, and diagnosis. Additionally, there are measurements and analysis findings represented in terms of percentages, possibly related to the effectiveness or outcomes of certain treatments or interventions.*

Figure 2 - Figure 2

Figure 2 - Figure 2

Figure 3 - Figure 3

Figure 3 - Figure 3

Figure 4 - Figure 4

Figure 4 - Figure 4

Figure 5 - Figure 5

Figure 5 - Figure 5

Figure 6 - Figure 6

Figure 6 - Figure 6

Figure 7 - Figure 7

Figure 7 - Figure 7

This text provides information on intrinsic factors affecting the dosage adjustment recommendations for Ticagrelor AR-C1249100. It includes criteria such as age (greater than 65 or 18-45 years), gender (female or male), ethnicity (Japanese or Caucasian), renal impairment (severe or normal), end-stage renal disease on hemodialysis or normal, and hepatic impairment (mid-normal). The text also mentions the mean effect and 90% confidence interval. The chart shows the recommended dose adjustment based on different criteria for Ticagrelor AR-C1249100.*

Figure 8 - Figure 8

Figure 8 - Figure 8

This is a list detailing drug interactions with Ticagrelor. It categorizes different drugs based on their impact on CYP enzymes and whether dose adjustments are required when co-administered with Ticagrelor. The information can be helpful for healthcare professionals managing patients on Ticagrelor therapy to avoid potential adverse effects or reduced efficacy.*

Figure 9 - Figure 9

Figure 9 - Figure 9

This text provides information on how Ticagrelor interacts with various drugs, including Simvastatin, Atorvastatin, Levonorgestrel, Ethinyl Estradiol, Tolbutamide, Digoxin, and Cyclosporine, specifying the recommended doses and adjustments required for the concurrent use of these medications. It outlines the mean effect and 80% confidence interval of Ticagrelor in combination with each drug, along with dosage adjustments or lack thereof to optimize effectiveness and safety.*

Structure - Structure

Structure - Structure

* The product label images have been analyzed using a combination of traditional computing and machine learning techniques. It should be noted that the descriptions provided may not be entirely accurate as they are experimental in nature. Use the information in this page at your own discretion and risk.