Product Images Metformin Hydrochloride

View Photos of Packaging, Labels & Appearance

Product Label Images

The following 3 images provide visual information about the product associated with Metformin Hydrochloride NDC 71610-920 by Aphena Pharma Solutions - Tennessee, Llc, such as packaging, labeling, and the appearance of the drug itself. This resource could be helpful for medical professionals, pharmacists, and patients seeking to verify medication information and ensure they have the correct product.

Label - 71610 0920 53

Label - 71610 0920 53

This is a product description for Metformin HCI, USP in tablet form. Each bottle contains 60 tablets with the National Drug Code (NDC) number 71610-920-53. The tablets contain Metformin HCI, USP.*

Aphena - Aphena

Aphena - Aphena

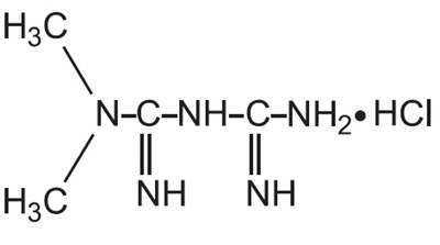
Chemical Structure - metformin str

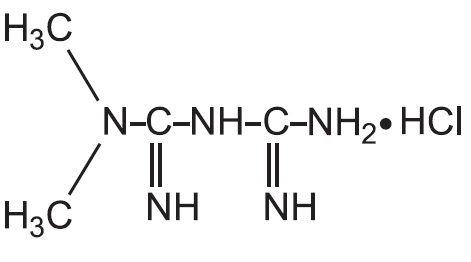
Chemical Structure - metformin str

* The product label images have been analyzed using a combination of traditional computing and machine learning techniques. It should be noted that the descriptions provided may not be entirely accurate as they are experimental in nature. Use the information in this page at your own discretion and risk.