Product Images Metformin Hydrochloride

View Photos of Packaging, Labels & Appearance

Product Label Images

The following 3 images provide visual information about the product associated with Metformin Hydrochloride NDC 71610-929 by Aphena Pharma Solutions - Tennessee, Llc, such as packaging, labeling, and the appearance of the drug itself. This resource could be helpful for medical professionals, pharmacists, and patients seeking to verify medication information and ensure they have the correct product.

Label - 71610 0929 30

Label - 71610 0929 30

This is a product description for Metformin HCI, USP tablets with NDC# 71610-929-30. The text provides information about the composition of Metformin HCI tablets.*

Aphena - Aphena

Aphena - Aphena

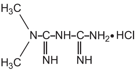
Chemical Structure - metformin str

Chemical Structure - metformin str

* The product label images have been analyzed using a combination of traditional computing and machine learning techniques. It should be noted that the descriptions provided may not be entirely accurate as they are experimental in nature. Use the information in this page at your own discretion and risk.