Product Images Atropine Sulfate

View Photos of Packaging, Labels & Appearance

Product Label Images

The following 2 images provide visual information about the product associated with Atropine Sulfate NDC 71872-7001 by Medical Purchasing Solutions, Llc, such as packaging, labeling, and the appearance of the drug itself. This resource could be helpful for medical professionals, pharmacists, and patients seeking to verify medication information and ensure they have the correct product.

PDP - 7001

PDP - 7001

This is the description of Atropine Sulfate Injection, USP, which is supplied in a single-dose vial for intravenous, intramuscular, or subcutaneous use. It is a preservative-free solution that contains 0.4 mg of atropine sulfate, 9 mg of sodium chloride, and water for injection in each milliliter. The pH is adjusted with sulfuric acid. The unused portion should be discarded. The product should be stored at 20°C - 25°C. The package insert provides directions for use. The manufacturer number is listed as 00617.0401. The product is repackaged by Wedia Purchasing Solutions.*

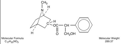
d51a918e-figure-01 - atropine sulfate injection usp grandfathered 1

d51a918e-figure-01 - atropine sulfate injection usp   grandfathered 1

Molecular formula: C7H10NO6 Molecular weight: 289.37*

* The product label images have been analyzed using a combination of traditional computing and machine learning techniques. It should be noted that the descriptions provided may not be entirely accurate as they are experimental in nature. Use the information in this page at your own discretion and risk.