Product Images Diltiazem Hydrochloride

View Photos of Packaging, Labels & Appearance

Product Label Images

The following 3 images provide visual information about the product associated with Diltiazem Hydrochloride NDC 71872-7293 by Medical Purchasing Solutions, Llc., such as packaging, labeling, and the appearance of the drug itself. This resource could be helpful for medical professionals, pharmacists, and patients seeking to verify medication information and ensure they have the correct product.

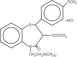
Structural Formula - dil08 0001 01

Structural Formula - dil08 0001 01

diltilabel - diltivial

diltilabel - diltivial

This is a product description for a pharmaceutical injection manufactured by PLC204 for Athenex. The injection is made in India and is a HCl injection with a code number of TNDRUGS/616. It comes in a concentration of 25mg per 5mL and can be administered through direct IV bolus injection or continuous IV infusion.*

diltilabel - diltlabel

diltilabel - diltlabel

This text describes a medication called "Ditiazem HCI" which is available in a single-dose vial of 25mg per 5mL. It can be used for direct IV bolus injection and continuous IV infusion and should be stored under refrigeration. The medication should be discarded if unused, and the container is sterile and nonpyrogenic. It contains various chemical compounds and should be administered according to the package instructions. The medication is manufactured by a company called "Nancictrar NG" and is distributed by "Repackaged Medical Purchasing Solutions" in Scottsdale, AZ.*

* The product label images have been analyzed using a combination of traditional computing and machine learning techniques. It should be noted that the descriptions provided may not be entirely accurate as they are experimental in nature. Use the information in this page at your own discretion and risk.