FDA Label for Iodoquinol Hydrocortisone Acetate Aloe Polysaccharides
View Indications, Usage & Precautions
- OTHER
- DESCRIPTION
- CLINICAL PHARMACOLOGY
- PHARMACOKINETICS
- INDICATIONS
- CONTRAINDICATIONS
- WARNINGS
- PRECAUTIONS
- INFORMATION FOR PATIENTS
- CARCINOGENESIS, MUTAGENESIS AND IMPAIRMENT OF FERTILITY
- CATEGORY C
- NURSING MOTHERS
- PEDIATRIC USE
- ADVERSE REACTIONS
- DOSAGE AND ADMINISTRATION
- STORAGE
- HOW SUPPLIED
- PRINCIPAL DISPLAY PANEL - 48 G TUBE CARTON
Iodoquinol Hydrocortisone Acetate Aloe Polysaccharides Product Label
The following document was submitted to the FDA by the labeler of this product Syntenza Pharmaceuticals Llc. The document includes published materials associated whith this product with the essential scientific information about this product as well as other prescribing information. Product labels may durg indications and usage, generic names, contraindications, active ingredients, strength dosage, routes of administration, appearance, warnings, inactive ingredients, etc.
Other
Rx Only
Manufactured for:
Syntenza Pharmaceuticals LLC
Edina, MN 55436, USA
SYNTENZA
Rev 06/18
Description
Each gram contains 20 mg of hydrocortisone acetate, 10 mg of iodoquinol and 10 mg of aloe polysaccharide in a vehicle consisting of: aminomethyl propanol, benzyl alcohol, blue 1, carbomer, glycerin, magnesium aluminum silicate, palmitoyl tripeptide-5, PPG-20 methyl glucose ether, purified water, propylene glycol, SD Alcohol 40B, yellow 10.
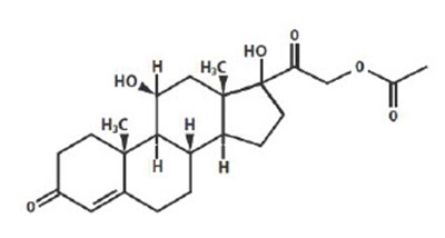
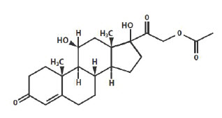
Hydrocortisone acetate is an anti-inflammatory and antipruritic agent. Chemically, hydrocortisone acetate is [Pregn-4-ene-3, 20-dione, 21-(acetyloxy)-11, 17-dihydroxy-, (11-β)-] with the molecular formula (C23H32O6) and is represented by the following structural formula:
Iodoquinol is an antifungal and antibacterial agent. Chemically, Iodoquinol is [5,7-diiodo-8-quinolinol] with the molecular formula (C9H5I2NO) and is represented by the following structural formula:
Aloe Polysaccharides are a concentrated, water soluble subcomponent of Aloe Vera with a mono-sugar ratio of Man : Gal : Glc: 40 : 1.4 : 1.0, linkage of 1-4 ß - linkage, O-Acetyl group of 25% of sugar units, and specific rotation of [α]D= -3.98° at 23.2° C. Average molecular weight is 80,000 daltons. Chemically, Aloe Polysaccharides is represented by the following structural formula:
Clinical Pharmacology
Hydrocortisone acetate has anti-inflammatory, antipruritic and vasoconstrictive properties. While the mechanism of anti-inflammatory activity is unclear, there is evidence to suggest that a recognizable correlation exists between vasoconstrictor potency and therapeutic efficacy in humans. Iodoquinol has both antifungal and antibacterial properties.
Pharmacokinetics
The extent of percutaneous absorption of topical steroids is determined by many factors including the vehicle, the integrity of the epidermal barrier and the use of occlusive dressings. Hydrocortisone acetate can be absorbed from normal intact skin. Inflammation and/or other inflammatory disease processes in the skin increase percutaneous absorption. Occlusive dressings substantially increase the percutaneous absorption of topical corticosteroids. Once absorbed through the skin, hydrocortisone acetate is metabolized in the liver and most body tissue to hydrogenated and degraded forms such as tetrahydrocortisone and tetrahydrocortisol. These are excreted in the urine, mainly conjugated as glucuronides, together with a very small proportion of unchanged hydrocortisone acetate. There are no data available regarding the percutaneous absorption of iodoquinol; however, following oral administration, 3-5% of the dose was recovered in the urine as a glucuronide.
Indications
Based on a review of a related drug by the National Research Council and subsequent FDA classification for that drug, the indications are as follows: "Possibly" Effective: Contact or atopic dermatitis; impetiginized eczema; nummular eczema; endogenous chronic infectious dermatitis; stasis dermatitis; pyoderma; nuchal eczema and chronic eczematoid otitis externa; acne urticata; localized or disseminated neurodermatitis; lichen simplex chronicus; anogenital pruritus (vulvae, scroti, ani); folliculitis; bacterial dermatoses; mycotic dermatoses such as tinea (capitis, cruris, corporis, pedis); monliasis; intertrigo. Final classification of the less-than-effective indications requires further investigation.
Contraindications
This product is contraindicated in persons with known or suspected hypersensitivity to any of the ingredients of the product.
Warnings
KEEP OUT OF REACH OF CHILDREN.
Precautions
FOR EXTERNAL USE ONLY. NOT FOR OPHTHALMIC USE. Avoid contact with eyes, lips and mucous membranes.
Information For Patients
If irritation develops, the use of this product should be discontinued and appropriate therapy instituted. Staining of the skin, hair and fabrics may occur. Not intended for use on infants or under diapers or occlusive dressings. If extensive areas are treated or if the occlusive dressing technique is used, the possibility exists of increased systemic absorption of the corticosteroid, and suitable precautions should be taken. Children may absorb proportionally larger amounts of topical corticosteroids and thus be more susceptible to systemic toxicity. Parents of pediatric patients should be advised not to use tight-fitting diapers or plastic pants on a child being treated in the diaper area, as these garments may constitute occlusive dressings.
Iodoquinol may be absorbed through the skin and interfere with thyroid function tests. If such tests are contemplated, wait at least one month after discontinuance of therapy to perform these tests. The ferric chloride test for phenylketonuria (PKU) can yield a false positive result if iodoquinol is present in the diaper or urine. Prolonged use may result in overgrowth of non-susceptible organisms requiring appropriate therapy. Burning, itching, irritation and dryness have been reported infrequently following the use of topical corticosteroids.
Carcinogenesis, Mutagenesis And Impairment Of Fertility
Long-term animal studies for carcinogenic potential have not been performed on this product to date. In vitro studies to determine mutagenicity with hydrocortisone have revealed negative results. Mutagenicity studies have not been performed with iodoquinol.
Category C
Animal reproduction studies have not been conducted with this product. It is also not known whether this product can affect reproduction capacity or cause fetal harm when administered to a pregnant woman. This product should be used by a pregnant woman only if clearly needed or when potential benefits outweigh potential hazards to the fetus.
Nursing Mothers
It is not known whether this drug is excreted in human milk. Because many drugs are excreted in human milk, caution should be exercised when this product is administered to a nursing woman.
Pediatric Use
Safety and effectiveness in pediatric patients under the age of 12 have not been established.
Adverse Reactions
The following local adverse reactions are reported infrequently with topical corticosteroids. These reactions are listed in an approximate decreasing order of occurrence: burning, itching, irritation, dryness, folliculitis, hypertrichosis, acneiform eruptions, hypopigmentation, perioral dermatitis, allergic contact dermatitis, maceration of the skin, secondary infections, skin atrophy, striae and miliaria.
Dosage And Administration
Apply to affected area(s) three to four times per day or as directed by a physician. Follow your physician's directions regarding length of treatment after symptoms resolve.
Storage
Store at 20°C to 25°C (68°F to 77°F), excursions permitted between 15°C to 30°C (between 59°F to 86°F). Brief exposure to temperatures up to 40°C (104°F) may be tolerated provided the mean kinetic temperature does not exceed 25°C (77°F); however, such exposure should be minimized.
NOTICE: Protect from freezing and excessive heat.
How Supplied
This product is supplied in the following size(s):
48 g Tube, NDC 72056-020-48
Call your doctor about side effects. You may report side effects to FDA at 1-800-FDA-1088.
Principal Display Panel - 48 G Tube Carton
SYNTENZA
NDC 72056-020-48
Iodoquinol 1%-Hydrocortisone Acetate 2%
Aloe Polysaccharides 1% Gel
Net Wt. 48 g (1.69 oz.)
Rx Only
For external use only.
Not for ophthalmic use.
* Please review the disclaimer below.

