FDA Label for Desonide Ointment, 0.05%
View Indications, Usage & Precautions
- DESCRIPTION
- CLINICAL PHARMACOLOGY
- PHARMACOKINETICS
- INDICATIONS AND USAGE
- CONTRAINDICATIONS
- GENERAL
- INFORMATION FOR PATIENTS
- LABORATORY TESTS
- CARCINOGENESIS, MUTAGENESIS, IMPAIRMENT OF FERTILITY
- TERATOGENIC EFFECT
- NURSING MOTHERS
- PAEDIATRIC USE
- ADVERSE REACTIONS
- OVERDOSAGE
- DOSAGE AND ADMINISTRATION
- HOW SUPPLIED
- PACKAGE LABEL.PRINCIPAL DISPLAY PANEL
Desonide Ointment, 0.05% Product Label
The following document was submitted to the FDA by the labeler of this product Bryant Ranch Prepack. The document includes published materials associated whith this product with the essential scientific information about this product as well as other prescribing information. Product labels may durg indications and usage, generic names, contraindications, active ingredients, strength dosage, routes of administration, appearance, warnings, inactive ingredients, etc.
Description
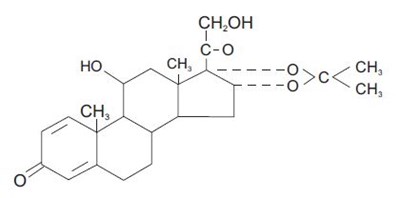
Desonide Ointment, 0.05% contains desonide (Pregna-1,4-diene-3,20-dione,11,21-dihydroxy-16,17-[(1-methylethylidene)bis(oxy)]-,(11ß,16α)) a synthetic corticosteroid for topical dermatologic use. The corticosteroids constitute a class of primary synthetic steroids used topically as anti-inflammatory and antipruritic agents.
Chemically, desonide, the active ingredient in Desonide Ointment, 0.05% is C
24H
32O
6. It has the following structural formula:
The molecular weight of desonide is 416.51. It is white to off-white powder. The solubility of desonide in distilled water saturated with the ether is 184 mg/L.
Each gram of Desonide Ointment, 0.05% contains 0.5 milligram of desonide microdispersed in a base of white petrolatum.
Clinical Pharmacology
Like other topical corticosteroids, desonide has anti-inflammatory, antipruritic, and vasoconstrictive properties. The mechanism of the anti-inflammatory activity of the topical steroids, in general, is unclear. However corticosteroids are thought to act by the induction of phospholipase A 2 inhibitory proteins, collectively called, lipocortins. It is postulated that these proteins control the biosynthesis of potent mediators of inflammation such as prostaglandins and leukotrienes by inhibiting the release of their common precursor arachidonic acid. Arachidonic acid is released from membrane phospholipids by phospholipase A 2.
Pharmacokinetics
The extent of percutaneous absorption of topical corticosteroids is determined by many factors, including the vehicle and the integrity of the epidermal barrier. Occlusive dressings with hydrocortisone for up to 24 hours have not been demonstrated to increase penetration; however, occlusion of hydrocortisone for 96 hours markedly enhances penetration. Topical corticosteroids can be absorbed from normal intact skin. Inflammation and/or other disease processes in the skin may increase percutaneous absorption.
Studies performed with Desonide Ointment, 0.05% indicate that it is in the low range of potency as compared with other topical corticosteroids.
Indications And Usage
Desonide Ointment, 0.05% is a low potency corticosteroid indicated for the relief of the inflammatory and pruritic manifestations of corticosteroid responsive dermatoses.
It should not be used for longer than two weeks unless directed by a physician.
Contraindications
Desonide Ointment, 0.05% is contraindicated in those patients with a history of hypersensitivity to any of the components of the preparation.
General
Systemic absorption of topical corticosteroids can produce reversible hypothalamic-pituitary-adrenal (HPA) axis suppression with the potential for glucocorticosteroid insufficiency after withdrawal of treatment. Manifestations of Cushing's syndrome, hyperglycemia, and glucosuria can also be produced in some patients by systemic absorption of topical corticosteroids while on treatment.
Patients applying a topical steroid to a large surface area or to areas under occlusion should be evaluated periodically for evidence of HPA axis suppression. This may be done by using the ACTH stimulation, A.M. plasma cortisol, and urinary free cortisol tests. Patients receiving superpotent corticosteroids should not be treated for more than two weeks at a time and only small areas should be treated at any one time due to the increased risk of HPA suppression.
No specific studies relevant to potential HPA suppression have been conducted with Desonide Ointment, 0.05%.
If HPA axis suppression is noted, an attempt should be made to withdraw the drug, to reduce the frequency of application, or to substitute a less potent corticosteroid. Recovery of HPA axis function is generally prompt upon discontinuation of topical corticosteroids. Infrequently, signs and symptoms of glucocorticosteroid insufficiency may occur requiring supplemental systemic corticosteroids. For information on systemic supplementation, see prescribing information for those products.
Pediatric patients may be more susceptible to systemic toxicity from equivalent doses due to their larger skin surface to body mass ratios (see
PRECAUTIONS - Pediatric Use).
If irritation develops, Desonide Ointment, 0.05% should be discontinued and appropriate therapy instituted. Allergic contact dermatitis with corticosteroids is usually diagnosed by observing a failure to heal rather than noting a clinical exacerbation as with most topical products not containing corticosteroids. Such an observation should be corroborated with appropriate diagnostic patch testing.
If concomitant skin infections are present or develop, an appropriate antifungal or antibacterial agent should be used. If a favorable response does not occur promptly, use of Desonide Ointment, 0.05% should be discontinued until the infection has been adequately controlled.
Desonide Ointment, 0.05% should not be used in the presence of infection at the treatment site, hypersensitivity to corticosteroids, or pre-existing skin atrophy.
Desonide Ointment, 0.05% should not be used in the eyes.
FOR EXTERNAL USE ONLY.
Information For Patients
Patients using topical corticosteroids should receive the following information and instructions:
- This medication is to be used as directed by the physician. It is for external use only. Avoid contact with the eyes.
- This medication should not be used for any disorder other than that for which it was prescribed.
- The treated skin area should not be bandaged, otherwise covered or wrapped, so as to be occlusive unless directed by the physician.
- Patients should report to their physician any signs of local adverse reactions.
Laboratory Tests
The following tests may be helpful in evaluating patients for HPA axis suppression:
ACTH stimulation test
A.M. plasma cortisol test
Urinary free cortisol test
Carcinogenesis, Mutagenesis, Impairment Of Fertility
Long-term animal studies have not been performed to evaluate the carcinogenic, mutagenic, or fertility impairment potential of Desonide Ointment, 0.05%.
Teratogenic Effect
Pregnancy Category C -
Corticosteroids have been shown to be teratogenic in laboratory animals when administered systemically at relatively low dosage levels. Some corticosteroids have been shown to be teratogenic after dermal application in laboratory animals. Animal reproductive studies have not been conducted with Desonide Ointment, 0.05%. It is also not known whether Desonide Ointment, 0.05% can cause fetal harm when administered to a pregnant woman or can affect reproduction capacity. There are no adequate and well-controlled studies in pregnant women. Desonide Ointment, 0.05% should be used during pregnancy only if the potential benefit justifies the potential risk to the fetus.
Nursing Mothers
Systemically administered corticosteroids appear in human milk and could suppress growth, interfere with endogenous corticosteroid production, or cause other untoward effects. It is not known whether topical administration of corticosteroids could result in sufficient systemic absorption to produce detectable quantities in human milk. Because many drugs are excreted in human milk, caution should be exercised when Desonide Ointment, 0.05% is administered to a nursing woman.
Paediatric Use
Safety and effectiveness in pediatric patients have not been established. Because of a higher ratio of skin surface area to body mass, pediatric patients are at a greater risk than adults of HPA axis suppression and Cushing’s syndrome when they are treated with topical corticosteroids. They are therefore also at greater risk of adrenal insufficiency during or after withdrawal of treatment.
Adverse effects including striae have been reported with inappropriate use of topical corticosteroids in infants and children.
HPA axis suppression, Cushing’s syndrome, linear growth retardation, delayed weight gain and intracranial hypertension have been reported in children receiving topical corticosteroids. Manifestations of adrenal suppression in children include low plasma cortisol levels and absence of response to ACTH stimulation. Manifestations of intracranial hypertension include bulging fontanelles, headaches, and bilateral papilledema.
Adverse Reactions
In controlled clinical trials, the total incidence of adverse reactions associated with the use of Desonide Ointment, 0.05% was approximately 6%. These adverse reactions were erythema, induration, pruritus, irritation, oiliness, and peripheral edema.
The following additional local adverse reactions have been reported infrequently with topical corticosteroids, and they may occur more frequently with the use of occlusive dressings and higher potency corticosteroids. These reactions are listed in approximate decreasing order of occurrence: dryness, folliculitis, acneiform eruptions, perioral dermatitis, allergic contact dermatitis, secondary infection, skin atrophy, striae, miliaria, burning and hypopigmentation.
To report
SUSPECTED ADVERSE REACTIONS, contact Encube Ethicals Private Limited at
1-833-285-4151 or FDA at
1-800-FDA-1088 or
www.fda.gov/medwatch.
Overdosage
Topically applied Desonide Ointment, 0.05% can be absorbed in sufficient amounts to produce systemic effects (see PRECAUTIONS).
Dosage And Administration
Desonide Ointment, 0.05% should be applied to the affected area as a thin film from two to four times daily depending on the severity of the condition.
As with other corticosteroids, therapy should be discontinued when control is achieved. If no improvement is seen within two weeks, reassessment of diagnosis may be necessary.
Desonide Ointment, 0.05% should not be used with occlusive dressings.
How Supplied
Desonide Ointment, 0.05% is available as follows:
NDC: 72162-1272-2: 15g Ointments in a TUBE
NDC: 72162-1272-6: 60 g Ointments in a TUBE
STORAGE
Store at 20-25°C (68-77°F) [see USP Controlled Room Temperature].
Repackaged/Relabeled by:
Bryant Ranch Prepack, Inc.
Burbank, CA 91504
Package Label.Principal Display Panel
Desonide 0.05% Ointment, #15
* Please review the disclaimer below.

