Product Images Pregabalin

View Photos of Packaging, Labels & Appearance

Product Label Images

The following 14 images provide visual information about the product associated with Pregabalin NDC 72162-1547 by Bryant Ranch Prepack, such as packaging, labeling, and the appearance of the drug itself. This resource could be helpful for medical professionals, pharmacists, and patients seeking to verify medication information and ensure they have the correct product.

Label - lbl721621547

Label - lbl721621547

This is a description of Pregabalin capsules containing 225mg of USP. The capsules should be stored at a temperature between 20°C to 25°C (68°F to 77°F) and can be permitted to a range of 15°C to 30°C (59°F to 86°F). The capsules are to be kept away from children, and the manufacturer is Bryant Ranch Prepack, Inc. The manufacturer of the drug is ScieGen Pharmaceuticals, Inc. This drug is a prescription drug.*

Figure 1 - pregabalin fig01

Figure 1 - pregabalin fig01

Figure 2 - pregabalin fig02

Figure 2 - pregabalin fig02

This appears to be a chart showing the percentage improvement in pain from a baseline for patients taking Pregabalin 160 mg for three days. The chart lists numbers for "2w," "220," "23," "20," "280," "2," "20," and "23w." It is unclear what these numbers represent.*

Figure 3 - pregabalin fig03

Figure 3 - pregabalin fig03

The text provides information on various medications and the percentage of patients improved with them. It also shows the dosage of the medications. However, the text appears to be incomplete and does not provide clear context or unit of measurement for the percentage values. Therefore, it is not possible to generate a useful description for this text.*

Figure 4 - pregabalin fig04

Figure 4 - pregabalin fig04

Figure 5 - pregabalin fig05

Figure 5 - pregabalin fig05

This appears to be a table or chart showing the dosages and frequencies of medications (Fregabalin, Pregataiin, and Placebo) and the percentage of patients who improved, as well as the percentage of improvement in pain from baseline. However, the text has numerous inaccuracies and missing information, making it difficult to provide a more detailed description.*

Figure 6 - pregabalin fig06

Figure 6 - pregabalin fig06

The text appears to be a table showing the names of some studies and dosages of a drug tested as well as some statistical information, however, without any context or further explanation, it is not possible to provide a meaningful description.*

Figure 7 - pregabalin fig07

Figure 7 - pregabalin fig07

Figure 9 - pregabalin fig08

Figure 9 - pregabalin fig08

The text shows a graph representing the percent of patients improved in pain from baseline after taking Pregabalin at different doses, compared to a placebo. The graph only provides information on the Pregabalin 300mg daily dose and the Pregabalin 450mg daily dose. The X-axis shows the range of percent improvement from baseline, while the Y-axis represents the different treatments. No further information is available.*

Figure 10 - pregabalin fig09

Figure 10 - pregabalin fig09

This appears to be a table displaying estimated percentages of subjects without LTR (Likely Treatment Response) for different time periods. The rows show percentages ranging from 0 to 100, in increments of 10, while the columns represent the day count. The first column appears to show treatment names: "Progabain" and "Placebo". Overall, it seems to be a study related to treatment response rates in a clinical trial.*

Figure 11 - pregabalin fig10

Figure 11 - pregabalin fig10

This is a table that shows the percentage of subjects improved in a study, with the categories of improvement listed on the left-hand side. The brands "Pregetalin" and "Placeso" are mentioned, but it is unclear what they refer to.*

Figure 12 - pregabalin fig11

Figure 12 - pregabalin fig11

The text seems to be a table or chart showing the percentage of subjects improved from baseline to week 16. The data is divided into two columns for Pregabalin and Placebo. The percentage of improvement ranges from 100 to 280 and is measured in increments of 10. Perhaps it is a study or clinical trial evaluating the effectiveness of pregabalin compared to a placebo in improving certain conditions.*

Cockcroft and Gault equation - pregabalin formula

Cockcroft and Gault equation - pregabalin formula

This text appears to be a formula for calculating CLCT (creatinine clearance), which is a measure of how well the kidneys are functioning. The formula involves multiplying the difference between 140 and the patient's age (in years) by their weight (in kilograms), then multiplying the result by 0.85 for female patients. The final step is to multiply the product by their serum creatinine level (in mg/dL) divided by 72.*

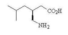
Chemical Structure - pregabalin str

Chemical Structure - pregabalin str

* The product label images have been analyzed using a combination of traditional computing and machine learning techniques. It should be noted that the descriptions provided may not be entirely accurate as they are experimental in nature. Use the information in this page at your own discretion and risk.