Product Images Clindamycin Palmitate Hydrochloride (pediatric)

View Photos of Packaging, Labels & Appearance

Product Label Images

The following 2 images provide visual information about the product associated with Clindamycin Palmitate Hydrochloride (pediatric) NDC 72162-1809 by Bryant Ranch Prepack, such as packaging, labeling, and the appearance of the drug itself. This resource could be helpful for medical professionals, pharmacists, and patients seeking to verify medication information and ensure they have the correct product.

Label - lbl721621809

Label - lbl721621809

This text appears to be the description of a medication called Clindamycin Palmitate Hydrochloride. It is an oral solution used for pediatric patients. Each mL contains 75 mg of the active ingredient. It should not be injected and should be kept out of reach of children. The solution should be stored at room temperature, between 20°C to 25°C (68°F to 77°F), and should not be refrigerated. The container should be tightly closed and shaken well before each use. Any unused portion should be discarded two weeks after reconstitution. To prepare the solution, it should be reconstituted with 75 mL of water in two portions and shaken until the solution is uniform. The medication is labeled with an NDC number 72162-1809-1. It is manufactured by Bryant Ranch Prepack, Inc. and relabeled by Lyne Laboratories, Inc.*

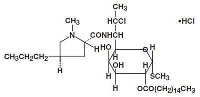
structure - structural formula

structure - structural formula

* The product label images have been analyzed using a combination of traditional computing and machine learning techniques. It should be noted that the descriptions provided may not be entirely accurate as they are experimental in nature. Use the information in this page at your own discretion and risk.