Product Images Zolpidem

View Photos of Packaging, Labels & Appearance

Product Label Images

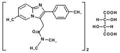
The following 2 images provide visual information about the product associated with Zolpidem NDC 72162-1983 by Bryant Ranch Prepack, such as packaging, labeling, and the appearance of the drug itself. This resource could be helpful for medical professionals, pharmacists, and patients seeking to verify medication information and ensure they have the correct product.

Image - e4a5e984 a50b 4f1e a50d b1acd2b34d52 01

Image - e4a5e984 a50b 4f1e a50d b1acd2b34d52 01

Label - lbl721621983

Label - lbl721621983