Product Images Hydrocodone Bitartrate And Acetaminophen

View Photos of Packaging, Labels & Appearance

Product Label Images

The following 3 images provide visual information about the product associated with Hydrocodone Bitartrate And Acetaminophen NDC 72162-1998 by Bryant Ranch Prepack, such as packaging, labeling, and the appearance of the drug itself. This resource could be helpful for medical professionals, pharmacists, and patients seeking to verify medication information and ensure they have the correct product.

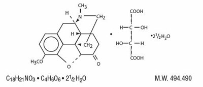
hydrocodone bitartrate chemical structure - 01

hydrocodone bitartrate chemical structure - 01

acetaminophen chemcial structure - 02

acetaminophen chemcial structure - 02

Label - lbl721621998

Label - lbl721621998