FDA Label for Clorazepate Dipotassium
View Indications, Usage & Precautions
- DESCRIPTION
- CLINICAL PHARMACOLOGY
- INDICATIONS AND USAGE
- CONTRAINDICATIONS
- WARNINGS
- PRECAUTIONS
- PEDIATRIC USE:
- GERIATRIC USE:
- DRUG INTERACTIONS
- ADVERSE REACTIONS
- DRUG ABUSE AND DEPENDENCE
- OVERDOSAGE
- DOSAGE AND ADMINISTRATION
- ANIMAL PHARMACOLOGY AND TOXICOLOGY
- HOW SUPPLIED
- MEDICATION GUIDE
- PACKAGE LABEL.PRINCIPAL DISPLAY PANEL
Clorazepate Dipotassium Product Label
The following document was submitted to the FDA by the labeler of this product Bryant Ranch Prepack. The document includes published materials associated whith this product with the essential scientific information about this product as well as other prescribing information. Product labels may durg indications and usage, generic names, contraindications, active ingredients, strength dosage, routes of administration, appearance, warnings, inactive ingredients, etc.
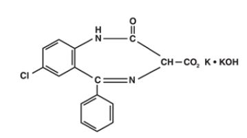
Description
Chemically, clorazepate dipotassium is a benzodiazepine. The molecular formula is C16H11ClK2N2O4; the molecular weight is 408.92 g/mol; 1H-1, 4 Benzodiazepine-3-carboxylic acid, 7-chloro-2, 3-dihydro-2-oxo-5-phenyl-, potassium salt compound with potassium hydroxide (1:1) and the structural formula may be represented as follows:-
The compound occurs as a white or light yellow crystalline powder. It is insoluble in the common organic solvents, but very soluble in water. Aqueous solutions are unstable, clear, light yellow, and alkaline.
Each tablet contains 3.75 mg, 7.5 mg and 15 mg of Clorazepate Dipotassium, USP equivalent to 2.9 mg, 5.8 mg and 11.5 mg of Clorazepate.
Inactive ingredients for clorazepate dipotassium tablets, USP: Colloidal silicon dioxide, FD&C Blue No. 2 Aluminum Lake (3.75 mg only), FD&C Red No. 40 Aluminum Lake (15 mg only), FD&C Yellow No. 6 Aluminum Lake (7.5 mg only), magnesium oxide, magnesium stearate, microcrystalline cellulose, potassium carbonate, and potassium chloride.
Clinical Pharmacology
Pharmacologically, clorazepate dipotassium has the characteristics of the benzodiazepines. It has depressant effects on the central nervous system. The primary metabolite, nordiazepam, quickly appears in the blood stream. The serum half-life is about 2 days. The drug is metabolized in the liver and excreted primarily in the urine.
Studies in healthy men have shown that clorazepate dipotassium has depressant effects on the central nervous system. Prolonged administration of single daily doses as high as 120 mg was without toxic effects. Abrupt cessation of high doses was followed in some patients by nervousness, insomnia, irritability, diarrhea, muscle aches, or memory impairment.
Since orally administered clorazepate dipotassium is rapidly decarboxylated to form nordiazepam, there is essentially no circulating parent drug. Nordiazepam, the primary metabolite, quickly appears in the blood and is eliminated from the plasma with an apparent half-life of about 40 to 50 hours. Plasma levels of nordiazepam increase proportionally with clorazepate dipotassium dose and show moderate accumulation with repeated administration. The protein binding of nordiazepam in plasma is high (97 to 98%).
Within 10 days after oral administration of a 15 mg (50 mcCi) dose of 14C-clorazepate dipotassium to two volunteers, 62 to 67% of the radioactivity was excreted in the urine and 15 to 19% was eliminated in the feces. Both subjects were still excreting measurable amounts of radioactivity in the urine (about 1% of the 14C-dose) on day ten.
Nordiazepam is further metabolized by hydroxylation. The major urinary metabolite is conjugated oxazepam (3-hydroxynordiazepam), and smaller amounts of conjugated p-hydroxynordiazepam and nordiazepam are also found in the urine.
Indications And Usage
Clorazepate dipotassium tablets are indicated for the management of anxiety disorders or for the short-term relief of the symptoms of anxiety. Anxiety or tension associated with the stress of everyday life usually does not require treatment with an anxiolytic.
Clorazepate dipotassium tablets are indicated as adjunctive therapy in the management of partial seizures.
The effectiveness of clorazepate dipotassium tablets in long-term management of anxiety, that is, more than 4 months, has not been assessed by systematic clinical studies. Long-term studies in epileptic patients, however, have shown continued therapeutic activity. The physician should reassess periodically the usefulness of the drug for the individual patient.
Clorazepate dipotassium tablets are indicated for the symptomatic relief of acute alcohol withdrawal.
Contraindications
Clorazepate dipotassium tablets are contraindicated in patients with a known hypersensitivity to the drug and in those with acute narrow angle glaucoma.
Warnings
Risks from Concomitant Use with Opioids: Concomitant use of benzodiazepines, including clorazepate dipotassium, and opioids may result in profound sedation, respiratory depression, coma, and death. Because of these risks, reserve concomitant prescribing of these drugs in patients for whom alternative treatment options are inadequate.
Observational studies have demonstrated that concomitant use of opioid analgesics and benzodiazepines increases the risk of drug-related mortality compared to use of opioids alone. If a decision is made to prescribe clorazepate dipotassium tablets concomitantly with opioids, prescribe the lowest effective dosages and minimum durations of concomitant use, and follow patients closely for signs and symptoms of respiratory depression and sedation. In patients already receiving an opioid analgesic, prescribe a lower initial dose of clorazepate dipotassium tablets than indicated in the absence of an opioid and titrate based on clinical response. If an opioid is initiated in a patient already taking clorazepate dipotassium tablets, prescribe a lower initial dose of the opioid and titrate based upon clinical response.
Advise both patients and caregivers about the risks of respiratory depression and sedation when clorazepate dipotassium tablets are used with opioids. Advise patients not to drive or operate heavy machinery until the effects of concomitant use with the opioid have been determined (see PRECAUTIONS: Drug Interactions).
Abuse, Misuse, and Addiction: The use of benzodiazepines, including clorazepate dipotassium tablets, exposes users to the risks of abuse, misuse, and addiction, which can lead to overdose or death. Abuse and misuse of benzodiazepines often (but not always) involve the use of doses greater than the maximum recommended dosage and commonly involve concomitant use of other medications, alcohol, and/or illicit substances, which is associated with an increased frequency of serious adverse outcomes, including respiratory depression, overdose, or death (see DRUG ABUSE AND DEPENDENCE: Abuse).
Before prescribing clorazepate dipotassium tablets and throughout treatment, assess each patient’s risk for abuse, misuse, and addiction (e.g., using a standardized screening tool). Use of clorazepate dipotassium tablets, particularly in patients at elevated risk, necessitates counseling about the risks and proper use of clorazepate dipotassium tablets along with monitoring for signs and symptoms of abuse, misuse, and addiction. Prescribe the lowest effective dosage; avoid or minimize concomitant use of CNS depressants and other substances associated with abuse, misuse, and addiction (e.g., opioid analgesics, stimulants); and advise patients on the proper disposal of unused drug. If a substance use disorder is suspected, evaluate the patient and institute (or refer them for) early treatment, as appropriate.
Dependence and Withdrawal Reactions: To reduce the risk of withdrawal reactions, use a gradual taper to discontinue clorazepate dipotassium tablets or reduce the dosage (a patient-specific plan should be used to taper the dose) (see DOSAGE AND ADMINISTRATION: Discontinuation of Dosage Reduction of clorazepate dipotassium tablets).
Patients at an increased risk of withdrawal adverse reactions after benzodiazepine discontinuation or rapid dosage reduction include those who take higher dosages, and those who have had longer durations of use. Acute Withdrawal Reactions The continued use of benzodiazepines, including clorazepate dipotassium tablets, may lead to clinically significant physical dependence. Abrupt discontinuation or rapid dosage reduction of clorazepate dipotassium tablets after continued use, or administration of flumazenil (a benzodiazepine antagonist) may precipitate acute withdrawal reactions, which can be life-threatening (e.g., seizures) (see DRUG ABUSE AND DEPENDENCE: Dependence).
Protracted Withdrawal Syndrome In some cases, benzodiazepine users have developed a protracted withdrawal syndrome with withdrawal symptoms lasting weeks to more than 12 months (see DRUG ABUSE AND DEPENDENCE).
Use in Depressive Neuroses or Psychotic Reactions: Clorazepate dipotassium tablets are not recommended for use in depressive neuroses or in psychotic reactions.
Use in Children: Because of the lack of sufficient clinical experience, clorazepate dipotassium tablets are not recommended for use in patients less than 9 years of age.
Interference with Psychomotor Performance: Patients taking clorazepate dipotassium tablets should be cautioned against engaging in hazardous occupations requiring mental alertness, such as operating dangerous machinery including motor vehicles.
Concomitant Use with CNS Depressants: Since clorazepate dipotassium has a central nervous system depressant effect, patients should be advised against the simultaneous use of other CNS depressant drugs, and cautioned that the effects of alcohol may be increased.
Suicidal Behavior and Ideation: Antiepileptic drugs (AEDs), including clorazepate dipotassium tablets, increase the risk of suicidal thoughts or behavior in patients taking these drugs for any indication. Patients treated with any AED for any indication should be monitored for the emergence or worsening of depression, suicidal thoughts or behavior, and/or any unusual changes in mood or behavior.
Pooled analyses of 199 placebo-controlled clinical trials (mono- and adjunctive therapy) of 11 different AEDs showed that patients randomized to one of the AEDs had approximately twice the risk (adjusted Relative Risk 1.8, 95% CI:1.2, 2.7) of suicidal thinking or behavior compared to patients randomized to placebo. In these trials, which had a median treatment duration of 12 weeks, the estimated incidence rate of suicidal behavior or ideation among 27,863 AED-treated patients was 0.43%, compared to 0.24% among 16,029 placebo-treated patients, representing an increase of approximately one case of suicidal thinking or behavior for every 530 patients treated. There were four suicides in drug-treated patients in the trials and none in placebo-treated patients, but the number is too small to allow any conclusion about drug effect on suicide.
The increased risk of suicidal thoughts or behavior with AEDs was observed as early as one week after starting drug treatment with AEDs and persisted for the duration of treatment assessed. Because most trials included in the analysis did not extend beyond 24 weeks, the risk of suicidal thoughts or behavior beyond 24 weeks could not be assessed.
The risk of suicidal thoughts or behavior was generally consistent among drugs in the data analyzed. The finding of increased risk with AEDs of varying mechanisms of action and across a range of indications suggests that the risk applies to all AEDs used for any indication. The risk did not vary substantially by age (5 to 100 years) in the clinical trials analyzed. Table 1 shows absolute and relative risk by indication for all evaluated AEDs.
Table 1: Risk by indication for antiepileptic drugs in the pooled analysis
| Indication | Placebo Patients with Events Per 1000 Patients | Drug Patients withEvents Per 1000 Patients | Relative Risk: Incidence of Events in Drug Patients/Incidence in Placebo Patients | Risk Difference: Additional Drug Patients with Events Per 1000 Patients |
| Epilepsy | 1 | 3.4 | 3.5 | 2.4 |
| Psychiatric | 5.7 | 8.5 | 1.5 | 2.9 |
| Other | 1 | 1.8 | 1.9 | 0.9 |
| Total | 2.4 | 4.3 | 1.8 | 1.9 |
The relative risk for suicidal thoughts or behavior was higher in clinical trials for epilepsy than in clinical trials for psychiatric or other conditions, but the absolute risk differences were similar for the epilepsy and psychiatric indications.
Anyone considering prescribing clorazepate dipotassium tablets or any other AED must balance the risk of suicidal thoughts or behavior with the risk of untreated illness. Epilepsy and many other illnesses for which AEDs are prescribed are themselves associated with morbidity and mortality and an increased risk of suicidal thoughts and behavior. Should suicidal thoughts and behavior emerge during treatment, the prescriber needs to consider whether the emergence of these symptoms in any given patient may be related to the illness being treated.
Patients, their caregivers, and families should be informed that AEDs increase the risk of suicidal thoughts and behavior and should be advised of the need to be alert for the emergence or worsening of the signs and symptoms of depression, any unusual changes in mood or behavior, or the emergence of suicidal thoughts, behavior, or thoughts about self- harm. Behaviors of concern should be reported immediately to healthcare providers.
Usage in Pregnancy: An increased risk of congenital malformations associated with the use of minor tranquilizers (chlordiazepoxide, diazepam, and meprobamate) during the first trimester of pregnancy has been suggested in several studies. Clorazepate dipotassium, a benzodiazepine derivative, has not been studied adequately to determine whether it, too, may be associated with an increased risk of fetal abnormality. Because use of these drugs is rarely a matter of urgency, their use during this period should almost always be avoided. The possibility that a woman of childbearing potential may be pregnant at the time of institution of therapy should be considered. Patients should be advised that if they become pregnant during therapy or intend to become pregnant they should communicate with their physician about the desirability of discontinuing the drug.
To provide information regarding the effects of in utero exposure to clorazepate dipotassium, physicians are advised to recommend that pregnant patients taking clorazepate dipotassium tablets enroll in the North American Antiepileptic Drug (NAAED) Pregnancy Registry. This can be done by calling the toll-free number 1-888-233-2334, and must be done by patients themselves. Information on the registry can also be found at the website http://www.aedpregnancyregistry.org/.
Usage during Lactation: Clorazepate dipotassium tablets should not be given to nursing mothers since it has been reported that nordiazepam is excreted in human breast milk.
Precautions
In those patients in which a degree of depression accompanies the anxiety, suicidal tendencies may be present and protective measures may be required. The least amount of drug that is feasible should be available to the patient.
Patients taking clorazepate dipotassium tablets for prolonged periods should have blood counts and liver function tests periodically. The usual precautions in treating patients with impaired renal or hepatic function should also be observed.
In elderly or debilitated patients, the initial dose should be small, and increments should be made gradually, in accordance with the response of the patient, to preclude ataxia or excessive sedation.
Information for Patients: Advise the patient to read the FDA-approved patient labeling (Medication Guide).
Risks from Concomitant Use with Opioids
Advise both patients and caregivers about the risks of potentially fatal respiratory depression and sedation when clorazepate dipotassium tablets is used with opioids and not to use such drugs concomitantly unless supervised by a health care provider. Advise patients not to drive or operate heavy machinery until the effects of concomitant use with the opioid have been determined (see WARNINGS, Risks from Concomitant Use with Opioids and PRECAUTIONS, Drug Interactions).
Abuse, Misuse, and Addiction:
Inform patients that the use of clorazepate dipotassium tablets, even at recommended dosages, exposes users to risks of abuse, misuse, and addiction, which can lead to overdose and death, especially when used in combination with other medications (e.g., opioid analgesics), alcohol, and/or illicit substances. Inform patients about the signs and symptoms of benzodiazepine abuse, misuse, and addiction; to seek medical help if they develop these signs and/or symptoms; and on the proper disposal of unused drug (see WARNINGS and DRUG ABUSE AND DEPENDENCE).
Withdrawal Reactions:
Inform patients that the continued use of clorazepate dipotassium tablets may lead to clinically significant physical dependence and that abrupt discontinuation or rapid dosage reduction of clorazepate dipotassium tablets may precipitate acute withdrawal reactions, which can be life-threatening. Inform patients that in some cases, patients taking benzodiazepines have developed a protracted withdrawal syndrome with withdrawal symptoms lasting weeks to more than 12 months. Instruct patients that discontinuation or dosage reduction of clorazepate dipotassium tablets may require a slow taper (see WARNINGS and DRUG ABUSE AND DEPENDENCE).
Suicidal Thinking and Behavior: Patients, their caregivers, and families should be counseled that AEDs, including clorazepate dipotassium tablets, may increase the risk of suicidal thoughts and behavior and should be advised of the need to be alert for the emergence or worsening of symptoms of depression, any unusual changes in mood or behavior, or the emergence of suicidal thoughts, behavior, or thoughts about self-harm. Behaviors of concern should be reported immediately to healthcare providers.
Use in Pregnancy: Patients should be encouraged to enroll in the NAAED Pregnancy Registry if they become pregnant. This registry is collecting information about the safety of antiepileptic drugs during pregnancy. To enroll, patients can call the toll-free number 1-888-233-2334 (see WARNINGS: Usage in Pregnancy).
Pediatric Use:
See WARNINGS.
Geriatric Use:
Clinical studies of clorazepate dipotassium were not adequate to determine whether subjects aged 65 and over respond differently than younger subjects. Elderly or debilitated patients may be especially sensitive to the effects of all benzodiazepines, including clorazepate dipotassium. In general, elderly or debilitated patients should be started on lower doses of clorazepate dipotassium tablets and observed closely, reflecting the greater frequency of decreased hepatic, renal, or cardiac function, and concomitant disease or other drug therapy. Dose adjustments should also be made slowly, and with more caution in this patient population (see PRECAUTIONS and DOSAGE AND ADMINISTRATION).
Drug Interactions
The concomitant use of benzodiazepines and opioids increases the risk of respiratory depression because of actions at different receptor sites in the CNS that control respiration. Benzodiazepines interact at GABAA sites and opioids interact primarily at mu receptors. When benzodiazepines and opioids are combined, the potential for benzodiazepines to significantly worsen opioid-related respiratory depression exists. Limit dosage and duration of concomitant use of benzodiazepines and opioids, and monitor patients closely for respiratory depression and sedation.
If clorazepate dipotassium tablets is to be combined with other drugs acting on the central nervous system, careful consideration should be given to the pharmacology of the agents to be employed. Animal experience indicates that clorazepate dipotassium prolongs the sleeping time after hexobarbital or after ethyl alcohol, increases the inhibitory effects of chlorpromazine, but does not exhibit monoamine oxidase inhibition. Clinical studies have shown increased sedation with concurrent hypnotic medications. The actions of the benzodiazepines may be potentiated by barbiturates, narcotics, phenothiazines, monoamine oxidase inhibitors or other antidepressants.
If clorazepate dipotassium tablets are used to treat anxiety associated with somatic disease states, careful attention must be paid to possible drug interaction with concomitant medication.
In bioavailability studies with normal subjects, the concurrent administration of antacids at therapeutic levels did not significantly influence the bioavailability of clorazepate dipotassium tablets.
Adverse Reactions
The side effect most frequently reported was drowsiness. Less commonly reported (in descending order of occurrence) were: dizziness, various gastrointestinal complaints, nervousness, blurred vision, dry mouth, headache, and mental confusion. Other side effects included insomnia, transient skin rashes, fatigue, ataxia, genitourinary complaints, irritability, diplopia, depression, tremor, and slurred speech.
There have been reports of abnormal liver and kidney function tests and of decrease in hematocrit.
Decrease in systolic blood pressure has been observed.
To report SUSPECTED ADVERSE REACTIONS, contact Apotex Corp. at 1-800-706-5575 or FDA at 1-800-FDA-1088 or www.fda.gov/medwatch.
Drug Abuse And Dependence
Controlled Substance
Clorazepate dipotassium tablets contains clorazepate, a Schedule IV controlled substance.
Abuse
Clorazepate dipotassium tablets is a benzodiazepine and a CNS depressant with a potential for abuse and addiction. Abuse is the intentional, non-therapeutic use of a drug, even once, for its desirable psychological or physiological effects. Misuse is the intentional use, for therapeutic purposes, of a drug by an individual in a way other than prescribed by a health care provider or for whom it was not prescribed. Drug addiction is a cluster of behavioral, cognitive, and physiological phenomena that may include a strong desire to take the drug, difficulties in controlling drug use (e.g., continuing drug use despite harmful consequences, giving a higher priority to drug use than other activities and obligations), and possible tolerance or physical dependence. Even taking benzodiazepines as prescribed may put patients at risk for abuse and misuse of their medication.
Abuse and misuse of benzodiazepines may lead to addiction. Abuse and misuse of benzodiazepines often (but not always) involve the use of doses greater than the maximum recommended dosage and commonly involve concomitant use of other medications, alcohol, and/or illicit substances, which is associated with an increased frequency of serious adverse outcomes, including respiratory depression, overdose, or death. Benzodiazepines are often sought by individuals who abuse drugs and other substances, and by individuals with addictive disorders (see WARNINGS: Abuse, Misuse, and Addiction).
The following adverse reactions have occurred with benzodiazepine abuse and/or misuse: abdominal pain, amnesia, anorexia, anxiety, aggression, ataxia, blurred vision, confusion, depression, disinhibition, disorientation, dizziness, euphoria, impaired concentration and memory, indigestion, irritability, muscle pain, slurred speech, tremors, and vertigo.
The following severe adverse reactions have occurred with benzodiazepine abuse and/or misuse: delirium, paranoia, suicidal ideation and behavior, seizures, coma, breathing difficulty, and death. Death is more often associated with polysubstance use (especially benzodiazepines with other CNS depressants such as opioids and alcohol).
Dependence
Physical Dependence
Clorazepate dipotassium tablets may produce physical dependence from continued therapy. Physical dependence is a state that develops as a result of physiological adaptation in response to repeated drug use, manifested by withdrawal signs and symptoms after abrupt discontinuation or a significant dose reduction of a drug. Abrupt discontinuation or rapid dosage reduction of benzodiazepines or administration of flumazenil, a benzodiazepine antagonist, may precipitate acute withdrawal reactions, including seizures, which can be life-threatening. Patients at an increased risk of withdrawal adverse reactions after benzodiazepine discontinuation or rapid dosage reduction include those who take higher dosages (i.e., higher and/or more frequent doses) and those who have had longer durations of use (see WARNINGS: Dependence and Withdrawal Reactions).
To reduce the risk of withdrawal reactions, use a gradual taper to discontinue clorazepate dipotassium tablets or reduce the dosage (see DOSAGE and ADMINISTRATION: Discontinuation or Dosage Reduction of clorazepate dipotassium tablets and WARNINGS: Dependence and Withdrawal Reactions).
Acute Withdrawal Signs and Symptoms
Acute withdrawal signs and symptoms associated with benzodiazepines have included abnormal involuntary movements, anxiety, blurred vision, depersonalization, depression, derealization, dizziness, fatigue, gastrointestinal adverse reactions (e.g., nausea, vomiting, diarrhea, weight loss, decreased appetite), headache, hyperacusis, hypertension, irritability, insomnia, memory impairment, muscle pain and stiffness, panic attacks, photophobia, restlessness, tachycardia, and tremor. More severe acute withdrawal signs and symptoms, including life-threatening reactions, have included catatonia, convulsions, delirium tremens, depression, hallucinations, mania, psychosis, seizures and suicidality.
Protracted Withdrawal Syndrome
Protracted withdrawal syndrome associated with benzodiazepines is characterized by anxiety, cognitive impairment, depression, insomnia, formication, motor symptoms (e.g., weakness, tremor, muscle twitches), paresthesia, and tinnitus that persists beyond 4 to 6 weeks after initial benzodiazepine withdrawal. Protracted withdrawal symptoms may last weeks to more than 12 months. As a result, there may be difficulty in differentiating withdrawal symptoms from potential re-emergence or continuation of symptoms for which the benzodiazepine was being used.
Tolerance
Tolerance to clorazepate dipotassium tablets may develop from continued therapy. Tolerance is a physiological state characterized by a reduced response to a drug after repeated administration (i.e., a higher dose of a drug is required to produce the same effect that was once obtained at a lower dose). Tolerance to the therapeutic effect of clorazepate dipotassium tablets may develop; however, little tolerance develops to the amnestic reactions and other cognitive impairments caused by benzodiazepines.
Overdosage
Overdosage is usually manifested by varying degrees of CNS depression ranging from slight sedation to coma. As in the management of overdosage with any drug, it should be borne in mind that multiple agents may have been taken.
The treatment of overdosage should consist of the general measures employed in the management of overdosage of any CNS depressant. Gastric evacuation either by the induction of emesis, lavage, or both, should be performed immediately. General supportive care, including frequent monitoring of the vital signs and close observation of the patient, is indicated. Hypotension, though rarely reported, may occur with large overdoses. In such cases the use of agents such as norepinephrine bitartrate injection, USP or metaraminol bitartrate injection, USP should be considered.
While reports indicate that individuals have survived overdoses of clorazepate dipotassium as high as 450 to 675 mg, these doses are not necessarily an accurate indication of the amount of drug absorbed since the time interval between ingestion and the institution of treatment was not always known. Sedation in varying degrees was the most common physiological manifestation of clorazepate dipotassium overdosage. Deep coma when it occurred was usually associated with the ingestion of other drugs in addition to clorazepate dipotassium.
Flumazenil, a specific benzodiazepine receptor antagonist, is indicated for the complete or partial reversal of the sedative effects of benzodiazepines and may be used in situations when an overdose with a benzodiazepine is known or suspected. Prior to the administration of flumazenil, necessary measures should be instituted to secure airway, ventilation, and intravenous access. Flumazenil is intended as an adjunct to, not as a substitute for, proper management of benzodiazepine overdose. Patients treated with flumazenil should be monitored for resedation, respiratory depression, and other residual benzodiazepine effects for an appropriate period after treatment. The prescriber should be aware of a risk of seizure in association with flumazenil treatment, particularly in long-term benzodiazepine users and in cyclic antidepressant overdose. The complete flumazenil package insert including CONTRAINDICATIONS, WARNINGS, and PRECAUTIONS should be consulted prior to use.
Dosage And Administration
For the Symptomatic Relief of Anxiety: Clorazepate dipotassium tablets are administered orally in divided doses. The usual daily dose is 30 mg. The dose should be adjusted gradually within the range of 15 to 60 mg daily in accordance with the response of the patient. In elderly or debilitated patients it is advisable to initiate treatment at a daily dose of 7.5 to 15 mg.
Clorazepate dipotassium tablets may also be administered in a single dose daily at bedtime; the recommended initial dose is 15 mg. After the initial dose, the response of the patient may require adjustment of subsequent dosage. Lower doses may be indicated in the elderly patient. Drowsiness may occur at the initiation of treatment and with dosage increment.
For the Symptomatic Relief of Acute Alcohol Withdrawal:
The following dosage schedule is recommended:
| 1st 24 hours (Day 1) | 30 mg initially; followed by 30 to 60 mg in divided doses |
| 2nd 24 hours (Day 2) | 45 to 90 mg in divided doses |
| 3rd 24 hours (Day 3) | 22.5 to 45 mg in divided doses |
| Day 4 | 15 to 30 mg in divided doses |
Thereafter, gradually reduce the daily dose to 7.5 to 15 mg. Discontinue drug therapy as soon as patient’s condition is stable.
The maximum recommended total daily dose is 90 mg. Avoid excessive reductions in the total amount of drug administered on successive days.
As an Adjunct to Antiepileptic Drugs: In order to minimize drowsiness, the recommended initial dosages and dosage increments should not be exceeded.
Adults: The maximum recommended initial dose in patients over 12 years old is 7.5 mg three times a day. Dosage should be increased by no more than 7.5 mg every week and should not exceed 90 mg/day.
Children (9-12 years): The maximum recommended initial dose is 7.5 mg two times a day. Dosage should be increased by no more than 7.5 mg every week and should not exceed 60 mg/day.
Discontinuation or Dosage Reduction of Clorazepate Dipotassium Tablets: To reduce the risk of withdrawal reactions, use a gradual taper to discontinue clorazepate dipotassium tablets or reduce the dosage. If a patient develops withdrawal reactions, consider pausing the taper or increasing the dosage to the previous tapered dosage level. Subsequently decrease the dosage more slowly (see WARNINGS and DRUG ABUSE AND DEPENDENCE).
Animal Pharmacology And Toxicology
Studies in rats and monkeys have shown a substantial difference between doses producing tranquilizing, sedative and toxic effects. In rats, conditioned avoidance response was inhibited at an oral dose of 10 mg/kg; sedation was induced at 32 mg/kg; the LD50 was 1320 mg/kg. In monkeys aggressive behavior was reduced at an oral dose of 0.25 mg/kg; sedation (ataxia) was induced at 7.5 mg/kg; the LD50 could not be determined because of the emetic effect of large doses, but the LD50 exceeds 1600 mg/kg.
Twenty-four dogs were given clorazepate dipotassium orally in a 22-month toxicity study; doses up to 75 mg/kg were given. Drug-related changes occurred in the liver; weight was increased and cholestasis with minimal hepatocellular damage was found, but lobular architecture remained well preserved.
Eighteen rhesus monkeys were given oral doses of clorazepate dipotassium from 3 to 36 mg/kg daily for 52 weeks. All treated animals remained similar to control animals. Although total leucocyte count remained within normal limits it tended to fall in the female animals on the highest doses.
Examination of all organs revealed no alterations attributable to clorazepate dipotassium. There was no damage to liver function or structure.
Reproduction Studies: Standard fertility, reproduction, and teratology studies were conducted in rats and rabbits. Oral doses in rats up to 150 mg/kg and in rabbits up to 15 mg/kg produced no abnormalities in the fetuses. Clorazepate dipotassium did not alter the fertility indices or reproductive capacity of adult animals. As expected, the sedative effect of high doses interfered with care of the young by their mothers (see Usage in Pregnancy).
How Supplied
15 mg Tablets
Clorazepate dipotassium tablets, USP are available as pink colored, round, mottled uncoated tablets, debossed with "C" above the bisect, "21" below the bisect on one side and plain on other side. Each tablet contains 15 mg of clorazepate dipotassium.
NDC: 72162-2100-01: 100 Tablets in a BOTTLE.
Recommended storage: Protect from moisture. Keep bottle tightly closed. Store at 20°C to 25°C (68°F to 77°F). [See USP Controlled Room Temperature]. Dispense in a USP tight, light-resistant container.
Repackaged/Relabeled by:
Bryant Ranch Prepack, Inc.
Burbank, CA 91504
Medication Guide
Clorazepate Dipotassium Tablets, USP CIV
(klor az’ e pate dye" poe tas’ ee um)
What is the most important information I should know about clorazepate dipotassium tablets?
- Clorazepate dipotassium is a benzodiazepine medicine. Taking benzodiazepines with opioid medicines, alcohol, or other central nervous system (CNS) depressants (including street drugs) can cause severe drowsiness, breathing problems (respiratory depression), coma and death. Get emergency help right away if any of the following happens:
- shallow or slowed breathing
- breathing stops (which may lead to the heart stopping)
- excessive sleepiness (sedation)
Do not drive or operate heavy machinery until you know how taking clorazepate dipotassium tablets and opioids affects you.
- Risk of abuse, misuse, and addiction. There is a risk of abuse, misuse, and addiction with benzodiazepines including clorazepate dipotassium tablets which can lead to overdose and serious side effects including coma and death.
- Serious side effects including coma and death have happened in people who have abused or misused benzodiazepines, including clorazepate dipotassium tablets. These serious side effects may also include delirium, paranoia, suicidal thoughts or actions, seizures, and difficulty breathing. Call your healthcare provider or go to the nearest hospital emergency room right away if you get any of these serious side effects.
- You can develop an addiction even if you take clorazepate dipotassium tablets as prescribed by your healthcare provider
- Take clorazepate dipotassium tablets exactly as your healthcare provider prescribed.
- Do not share your clorazepate dipotassium tablets with other people.
- Keep clorazepate dipotassium tablets in a safe place and away from children.
- Physical dependence and withdrawal reactions. Clorazepate dipotassium tablets can cause physical dependence and withdrawal reactions,.
- Do not suddenly stop taking clorazepate dipotassium tablets. Stopping clorazepate dipotassium tablets suddenly can cause serious and life-threatening side effects, including, unusual movements, responses, or expressions, seizures, sudden and severe mental or nervous system changes, depression, seeing or hearing things that others do not see or hear, an extreme increase in activity or talking, losing touch with reality, and suicidal thoughts or actions. Call your healthcare provider or go to the nearest hospital emergency room right away if you get any of these symptoms.
- Some people who suddenly stop benzodiazepines have symptoms that can last for several weeks to more than 12 months, including, anxiety, trouble remembering, learning, or concentrating, depression, problems sleeping, feeling like insects are crawling under your skin, weakness, shaking, muscle twitching, burning or prickling feeling in your hands, arms, legs or feet, and ringing in your ears.
- Physical dependence is not the same as drug addiction. Your healthcare provider can tell you more about the differences between physical dependence and drug addiction.
- Do not take more clorazepate dipotassium tablets than prescribed or take clorazepate dipotassium tablets for longer than prescribed.
- Like other antiepileptic medicines, clorazepate dipotassium tablets may cause suicidal thoughts or actions in a very small number of people, about 1 in 500.
- thoughts about suicide or dying
- feeling agitated or restless
- acting aggressive, being angry, or violent
- attempts to commit suicide
- panic attacks
- acting on dangerous impulses
- new or worse depression
- trouble sleeping (insomnia)
- an extreme increase in activity and talking (mania)
- new or worse anxiety
- new or worse irritability
- other unusual changes in behavior or mood
- Pay attention to any changes, especially sudden changes, in mood, behaviors, thoughts, or feelings.
- Keep all follow-up visits with your healthcare provider as scheduled.
- to treat anxiety disorders
- with other medicines to treat partial seizures
- to treat the symptoms of sudden alcohol withdrawal
- are allergic to clorazepate dipotassium or any of the ingredients in clorazepate dipotassium tablets. See the end of this Medication Guide for a complete list of ingredients in clorazepate dipotassium tablets.
- have liver or kidney problems
- have or have had depression, mood problems, or suicidal thoughts or behavior
- have a history of abnormal thinking and behavior (psychotic reactions)
- are pregnant or plan to become pregnant. clorazepate dipotassium tablets may harm your unborn baby. Tell your healthcare provider right away if you become pregnant while taking clorazepate dipotassium tablets. You and your healthcare provider should decide if you will take clorazepate dipotassium tablets while you are pregnant.
- If you become pregnant while taking clorazepate dipotassium tablets, talk to your healthcare provider about registering with the North American Antiepileptic Drug Pregnancy Registry. You can register by calling 1-888-233-2334. The purpose of this registry is to collect information about the safety of antiepileptic drugs during pregnancy.
- are breastfeeding or plan to breastfeed. clorazepate dipotassium can pass into breast milk. Talk to your healthcare provider about the best way to feed your baby if you take clorazepate dipotassium tablets. You and your healthcare provider should decide if you will take clorazepate dipotassium tablets or breastfeed. You should not do both.
- Take clorazepate dipotassium tablets exactly as your healthcare provider tells you to take it. Your healthcare provider will tell you how much clorazepate dipotassium tablets to take and when to take it.
- Your healthcare provider may change your dose if needed. Do not change your dose of clorazepate dipotassium tablets without talking to your healthcare provider.
- Do not stop taking clorazepate dipotassium tablets without first talking to your healthcare provider. Stopping clorazepate dipotassium tablets suddenly can cause serious problems.
- If you take too much clorazepate dipotassium tablets, call your healthcare provider or go to the nearest hospital emergency room right away.
- clorazepate dipotassium tablets can make you sleepy or dizzy and can slow your thinking and motor skills. Do not drive, operate heavy machinery, or do other dangerous activities until you know how clorazepate dipotassium tablets affects you.
- Do not drink alcohol or take other drugs that may make you sleepy or dizzy while taking clorazepate dipotassium tablets without first talking to your healthcare provider. When taken with alcohol or drugs that cause sleepiness or dizziness, clorazepate dipotassium tablets may make your sleepiness or dizziness much worse.
- Store clorazepate dipotassium tablets at room temperature between 68°F to 77°F (20°C to 25°C).
- Keep clorazepate dipotassium tablets in a tightly closed container, dry, and out of the light.
- Keep clorazepate dipotassium tablets and all medicines out of the reach of children.
Call your healthcare provider right away if you have any of these symptoms, especially if they are new, worse, or worry you:
How can I watch for early symptoms of suicidal thoughts and actions?
Call your healthcare provider between visits as needed, especially if you are worried about symptoms.
Stopping a seizure medicine suddenly in a patient who has epilepsy can cause seizures that will not stop (status epilepticus).
Suicidal thoughts or actions can be caused by things other than medicines. If you have suicidal thoughts or actions, your healthcare provider may check for other causes.
What are clorazepate dipotassium tablets?
Clorazepate dipotassium tablets are a prescription medicine used:
clorazepate dipotassium tablets is a federally controlled substance (C-IV) because it contains clorazepate dipotassium that can be abused or lead to dependence. Keep clorazepate dipotassium tablets in a safe place to prevent misuse and abuse. Selling or giving away clorazepate dipotassium tablets may harm others, and is against the law. Tell your healthcare provider if you have ever abused or been dependent on alcohol, prescription medicines or street drugs.
It is not known if clorazepate dipotassium tablets are safe and effective in children less than 9 years of age.
Do not take clorazepate dipotassium tablets if you:
Before you take clorazepate dipotassium tablets, tell your healthcare provider about all your medical conditions, including if you:
Tell your healthcare provider about all the medicines you take, including prescription and over-the-counter medicines, vitamins, and herbal supplements.
Taking clorazepate dipotassium tablets with certain other medicines can cause side effects or affect how well clorazepate dipotassium tablets or the other medicines work. Do not start or stop other medicines without talking to your healthcare provider.
How should I take clorazepate dipotassium tablets?
What are the possible side effects of clorazepate dipotassium tablets?
Clorazepate dipotassium tablets may cause serious side effects, including: See "What is the most important information I should know about clorazepate dipotassium tablets?"
The most common side effects of clorazepate dipotassium tablets include:
| • drowsiness | • upset stomach | • dry mouth |
| • dizziness | • blurred vision |
These are not all the possible side effects of clorazepate dipotassium tablets. For more information, ask your healthcare provider or pharmacist.
Call your doctor for medical advice about side effects. You may report side effects to FDA at 1-800-FDA-1088.
How should I store clorazepate dipotassium tablets?
General Information about the safe and effective use of clorazepate dipotassium tablets.
Medicines are sometimes prescribed for purposes other than those listed in a Medication Guide. Do not use clorazepate dipotassium tablets for a condition for which it was not prescribed. Do not give clorazepate dipotassium tablets to other people, even if they have the same symptoms that you have. It may harm them. You can ask your pharmacist or healthcare provider for information about clorazepate dipotassium tablets that is written for health professionals.
What are the ingredients in clorazepate dipotassium tablets?
Active ingredient: clorazepate dipotassium
Inactive ingredients: colloidal silicon dioxide, FD&C Blue No. 2 Aluminum Lake (3.75 mg only), FD&C Red No. 40 Aluminum Lake (15 mg only), FD&C Yellow No. 6 Aluminum Lake (7.5 mg only), magnesium oxide, magnesium stearate, microcrystalline cellulose, potassium carbonate, and potassium chloride.
APOTEX INC.
Clorazepate Dipotassium Tablets, USP
3.75 mg, 7.5 mg and 15 mg
| Manufactured by: | Manufactured for: |
| CorePharma, LLC | Apotex Corp. |
| 215 Wood Avenue, | Weston, Florida |
| Middlesex, NJ 08846, USA | USA 33326 |
For more information, call Apotex Corp. at 1-800-706-5575 or go to www.apotex.com.
This Medication Guide has been approved by the U.S. Food and Drug Administration.
Revised: November 2021
Rev. 3
Package Label.Principal Display Panel
Clorazepate 15 mg (CIV) Tab #30
* Please review the disclaimer below.

