Product Images Minocycline Hydrochloride

View Photos of Packaging, Labels & Appearance

Product Label Images

The following 4 images provide visual information about the product associated with Minocycline Hydrochloride NDC 72162-2574 by Bryant Ranch Prepack, such as packaging, labeling, and the appearance of the drug itself. This resource could be helpful for medical professionals, pharmacists, and patients seeking to verify medication information and ensure they have the correct product.

logo - 4c0d37b2 fbee 4db4 9068 06095346847b 02

logo - 4c0d37b2 fbee 4db4 9068 06095346847b 02

logo - 4c0d37b2 fbee 4db4 9068 06095346847b 03

logo - 4c0d37b2 fbee 4db4 9068 06095346847b 03

Label - lbl721622574

Label - lbl721622574

This text is providing information about minocycline capsules. It mentions the dosage, storage instructions, and details on dispensing the medication. The capsules contain Minocycline Hydrochloride, USP equivalent to 100 mg. It also includes details on storing the capsules, dispensing them in a container with a child-resistant closure, and advising to protect them from light. The text also mentions scanning the package insert QR code for prescribing information and patient information. Additionally, it lists the manufacturer as Bryant Ranch Prepack, Inc., and Torrent Pharmaceuticals Ltd. Pharmacies are advised to dispense the patient information sheet to each patient and keep all drugs out of the reach of children.*

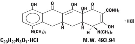
description - structure

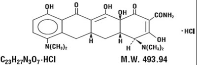
description - structure

This text provides information about a chemical compound with the molecular formula C15H15N3O2·HCl and a molecular weight of 493.94 g/mol. The compound includes nitrogen and hydrogen atoms.*

* The product label images have been analyzed using a combination of traditional computing and machine learning techniques. It should be noted that the descriptions provided may not be entirely accurate as they are experimental in nature. Use the information in this page at your own discretion and risk.