FDA Label for Linagliptin And Metformin Hydrochloride
View Indications, Usage & Precautions
- WARNING: LACTIC ACIDOSIS
- 1 INDICATIONS AND USAGE
- 2.1 RECOMMENDED DOSAGE AND ADMINISTRATION
- 2.2 RECOMMENDED DOSING IN RENAL IMPAIRMENT
- 2.3 DISCONTINUATION FOR IODINATED CONTRAST IMAGING PROCEDURES
- 3 DOSAGE FORMS AND STRENGTHS
- 4 CONTRAINDICATIONS
- 5.1 LACTIC ACIDOSIS
- 5.2 PANCREATITIS
- 5.3 HYPOGLYCEMIA WITH CONCOMITANT USE WITH INSULIN AND INSULIN SECRETAGOGUES
- 5.4 HYPERSENSITIVITY REACTIONS
- 5.5 VITAMIN B12 DEFICIENCY
- 5.6 SEVERE AND DISABLING ARTHRALGIA
- 5.7 BULLOUS PEMPHIGOID
- 5.8 HEART FAILURE
- 6 ADVERSE REACTIONS
- 6.1 CLINICAL TRIALS EXPERIENCE
- 6.2 POSTMARKETING EXPERIENCE
- 7 DRUG INTERACTIONS
- 8.1 PREGNANCY
- 8.2 LACTATION
- 8.3 FEMALES AND MALES OF REPRODUCTIVE POTENTIAL
- 8.4 PEDIATRIC USE
- 8.5 GERIATRIC USE
- 8.6 RENAL IMPAIRMENT
- 8.7 HEPATIC IMPAIRMENT
- 10 OVERDOSAGE
- 11 DESCRIPTION
- 12.1 MECHANISM OF ACTION
- 12.2 PHARMACODYNAMICS
- 12.3 PHARMACOKINETICS
- 13.1 CARCINOGENESIS, MUTAGENESIS, IMPAIRMENT OF FERTILITY
- 14.1 GLYCEMIC CONTROL TRIALS IN ADULTS WITH TYPE 2 DIABETES MELLITUS
- 14.2 LINAGLIPTIN CARDIOVASCULAR SAFETY TRIALS IN PATIENTS WITH TYPE 2 DIABETES MELLITUS
- 16 HOW SUPPLIED/STORAGE AND HANDLING
- 17 PATIENT COUNSELING INFORMATION
- MEDICATION GUIDE
- PACKAGE LABEL.PRINCIPAL DISPLAY PANEL
Linagliptin And Metformin Hydrochloride Product Label
The following document was submitted to the FDA by the labeler of this product Novadoz Pharmaceuticals Llc. The document includes published materials associated whith this product with the essential scientific information about this product as well as other prescribing information. Product labels may durg indications and usage, generic names, contraindications, active ingredients, strength dosage, routes of administration, appearance, warnings, inactive ingredients, etc.
Warning: Lactic Acidosis
Postmarketing cases of metformin-associated lactic acidosis have resulted in death, hypothermia, hypotension, and resistant bradyarrhythmias. The onset of metformin-associated lactic acidosis is often subtle, accompanied only by nonspecific symptoms such as malaise, myalgias, respiratory distress, somnolence, and abdominal pain. Metformin-associated lactic acidosis was characterized by elevated blood lactate levels (>5 mmol/Liter), anion gap acidosis (without evidence of ketonuria or ketonemia), an increased lactate/pyruvate ratio; and metformin plasma levels generally >5 mcg/mL [see Warnings and Precautions (5.1)].
Risk factors for metformin-associated lactic acidosis include renal impairment, concomitant use of certain drugs (e.g., carbonic anhydrase inhibitors such as topiramate), age 65 years old or greater, having a radiological study with contrast, surgery and other procedures, hypoxic states (e.g., acute congestive heart failure), excessive alcohol intake, and hepatic impairment.
Steps to reduce the risk of and manage metformin-associated lactic acidosis in these high risk groups are provided in the full prescribing information [see Dosage and Administration (2.2), Contraindications (4), Warnings and Precautions (5.1), Drug Interactions (7), and Use in Specific Populations (8.6, 8.7)].
If metformin-associated lactic acidosis is suspected, immediately discontinue linagliptin and metformin hydrochloride and institute general supportive measures in a hospital setting. Prompt hemodialysis is recommended [see Warnings and Precautions (5.1)].
1 Indications And Usage
Linagliptin and metformin hydrochloride tablets are indicated as an adjunct to diet and exercise to improve glycemic control in adults with type 2 diabetes mellitus.
Limitations of Use
Linagliptin and metformin hydrochloride tablets are not recommended in patients with type 1 diabetes mellitus.
Linagliptin and metformin hydrochloride tablets have not been studied in patients with a history of pancreatitis. It is unknown whether patients with a history of pancreatitis are at an increased risk for the development of pancreatitis while using linagliptin and metformin hydrochloride tablets [see Warnings and Precautions (5.2)].
2.1 Recommended Dosage And Administration
The dosage of linagliptin and metformin hydrochloride tablets should be individualized on the basis of both effectiveness and tolerability, while not exceeding the maximum recommended dosage of 2.5 mg linagliptin/1,000 mg metformin hydrochloride (HCl), taken orally twice daily. Linagliptin and metformin hydrochloride tablets should be given twice daily with meals. Dosage escalation should be gradual to reduce the gastrointestinal (GI) side effects associated with metformin use.
Recommended starting dosage:
• In patients currently not treated with metformin HCl, initiate treatment with 2.5 mg linagliptin/500 mg metformin HCl twice daily.
• In patients already treated with metformin HCl, start with 2.5 mg linagliptin and the current dosage of metformin HCl taken at each of the two daily meals (e.g., a patient on metformin HCl 1,000 mg twice daily would be started on 2.5 mg linagliptin/1,000 mg metformin HCl twice daily with meals).
• Patients already treated with linagliptin and metformin HCl individual components may be switched to linagliptin and metformin hydrochloride tablets containing the same dosages of each component.
2.2 Recommended Dosing In Renal Impairment
Assess renal function prior to initiation of linagliptin and metformin hydrochloride tablets and periodically thereafter.
Linagliptin and metformin hydrochloride tablets are contraindicated in patients with an estimated glomerular filtration rate (eGFR) below 30 mL/min/1.73 m2.
Initiation of linagliptin and metformin hydrochloride tablets in patients with an eGFR between 30 to 45 mL/min/1.73 m2 is not recommended.
In patients taking linagliptin and metformin hydrochloride tablets whose eGFR later falls below 45 mL/min/1.73 m2, assess benefit /risk of continuing therapy.
Discontinue linagliptin and metformin hydrochloride tablets if the patient's eGFR later falls below 30 mL/min/1.73 m2 [ see Contraindications (4)and Warnings and Precautions (5.1)].
2.3 Discontinuation For Iodinated Contrast Imaging Procedures
Discontinue linagliptin and metformin hydrochloride tablets at the time of, or prior to, an iodinated contrast imaging procedure in patients with an eGFR between 30 and 60 mL/min/ 1.73 m2; in patients with a history of liver disease, alcoholism or heart failure; or in patients who will be administered intra-arterial iodinated contrast. Re-evaluate eGFR 48 hours after the imaging procedure; restart linagliptin and metformin hydrochloride tablets if renal function is stable [ seeWarnings and Precautions (5.1)].
3 Dosage Forms And Strengths
Linagliptin and metformin hydrochloride tablets are a combination of linagliptin and metformin hydrochloride available as:
- 2.5 mg linagliptin/500 mg metformin hydrochloride tablets are yellow, oval, biconvex film-coated tablets debossed with "500" on one side and "LM" on the other side
- 2.5 mg linagliptin/850 mg metformin hydrochloride tablets are orange, oval, biconvex film-coated tablets debossed with "850" on one side and "LM" on the other side
- 2.5 mg linagliptin/1,000 mg metformin hydrochloride tablets are pink, oval, biconvex film-coated tablets debossed with "1,000" on one side and "LM" on the other side
4 Contraindications
Linagliptin and metformin hydrochloride are contraindicated in patients with:
• severe renal impairment (eGFR below 30 mL/min/1.73 m2) [see Warnings and Precautions (5.1)].
• acute or chronic metabolic acidosis, including diabetic ketoacidosis [see Warnings and Precautions (5.1)].
• hypersensitivity to linagliptin, metformin, or any of the excipients in linagliptin and metformin hydrochloride, reactions such as anaphylaxis, angioedema, exfoliative skin conditions, urticaria, or bronchial hyperreactivity have occurred with linagliptin [seeWarnings and Precautions (5.4) and Adverse Reactions (6.1)].
5.1 Lactic Acidosis
Metformin
There have been postmarketing cases of metformin-associated lactic acidosis, including fatal cases. These cases had a subtle onset and were accompanied by nonspecific symptoms such as malaise, myalgias, abdominal pain, respiratory distress, or increased somnolence; however, hypothermia, hypotension and resistant bradyarrhythmias have occurred with severe acidosis. Metformin-associated lactic acidosis was characterized by elevated blood lactate concentrations (>5 mmol/Liter), anion gap acidosis (without evidence of ketonuria or ketonemia), and an increased lactate: pyruvate ratio; metformin plasma levels generally >5 mcg/mL. Metformin
decreases liver uptake of lactate increasing lactate blood levels which may increase risk of lactic acidosis, especially in patients at risk.
If metformin-associated lactic acidosis is suspected, general supportive measures should be instituted promptly in a hospital setting, along with immediate discontinuation of linagliptin and metformin hydrochloride. In linagliptin and metformin hydrochloride-treated patients with a diagnosis or strong suspicion of lactic acidosis, prompt hemodialysis is recommended to correct the acidosis and remove accumulated metformin (metformin is dialyzable, with clearance of up to 170 mL/min under good hemodynamic conditions). Hemodialysis has often resulted in reversal of symptoms and recovery.
Educate patients and their families about the symptoms of lactic acidosis and if these symptoms occur instruct them to discontinue linagliptin and metformin hydrochloride and report these symptoms to their healthcare provider.
For each of the known and possible risk factors for metformin-associated lactic acidosis, recommendations to reduce the risk of and manage metformin-associated lactic acidosis are provided below:
Renal Impairment: The postmarketing metformin-associated lactic acidosis cases primarily occurred in patients with significant renal impairment. The risk of metformin accumulation and metformin-associated lactic acidosis increases with the severity of renal impairment because metformin is substantially excreted by the kidney. Clinical recommendations based upon the patient’s renal function include [see Dosage and Administration (2.2) and Clinical Pharmacology (12.3)]:
• Before initiating linagliptin and metformin hydrochloride, obtain an estimated glomerular filtration rate (eGFR).
• Linagliptin and metformin hydrochloride is contraindicated in patients with an eGFR less than 30 mL/min/1.73 m2[see Contraindications (4)].
• Initiation of linagliptin and metformin hydrochloride is not recommended in patients with eGFR between 30 to 45 mL/min/1.73 m2.
• Obtain an eGFR at least annually in all patients taking linagliptin and metformin hydrochloride. In patients at increased risk for the development of renal impairment (e.g., the elderly), renal function should be assessed more frequently.
• In patients taking linagliptin and metformin hydrochloride whose eGFR later falls below 45 mL/min/1.73 m2, assess the benefit and risk of continuing therapy.
Drug Interactions: The concomitant use of linagliptin and metformin hydrochloride with specific drugs may increase the risk of metformin-associated lactic acidosis: those that impair renal function, result in significant hemodynamic change, interfere with acid-base balance or increase metformin accumulation [see Drug Interactions (7)]. Therefore, consider more frequent monitoring of patients.
Age 65 or Greater: The risk of metformin-associated lactic acidosis increases with the patient’s age because elderly patients have a greater likelihood of having hepatic, renal, or cardiac impairment than younger patients. Assess renal function more frequently in elderly patients [see Use in Specific Populations (8.5)].
Radiological Studies with Contrast: Administration of intravascular iodinated contrast agents in metformin-treated patients has led to an acute decrease in renal function and the occurrence of lactic acidosis. Stop linagliptin and metformin hydrochloride at the time of, or prior to, an iodinated contrast imaging procedure in patients with an eGFR between 30 and 60 mL/min/1.73 m2; in patients with a history of hepatic impairment, alcoholism, or heart failure; or in patients who will be administered intra-arterial iodinated contrast. Re-evaluate eGFR 48 hours after the imaging procedure, and restart linagliptin and metformin hydrochloride if renal function is stable.
Surgery and Other Procedures: Withholding of food and fluids during surgical or other procedures may increase the risk for volume depletion, hypotension and renal impairment. Linagliptin and metformin hydrochloride should be temporarily discontinued while patients have restricted food and fluid intake.
Hypoxic States: Several of the postmarketing cases of metformin-associated lactic acidosis occurred in the setting of acute congestive heart failure (particularly when accompanied by hypoperfusion and hypoxemia). Cardiovascular collapse (shock), acute myocardial infarction, sepsis, and other conditions associated with hypoxemia have been associated with lactic acidosis and may also cause prerenal azotemia. When such events occur, discontinue linagliptin and metformin hydrochloride.
Excessive Alcohol Intake: Alcohol potentiates the effect of metformin on lactate metabolism and this may increase the risk of metformin-associated lactic acidosis. Warn patients against excessive alcohol intake while receiving linagliptin and metformin hydrochloride.
Hepatic Impairment: Patients with hepatic impairment have developed cases of metformin-associated lactic acidosis. This may be due to impaired lactate clearance resulting in higher lactate blood levels. Therefore, avoid use of linagliptin and metformin hydrochloride in patients with clinical or laboratory evidence of hepatic disease.
5.2 Pancreatitis
Acute pancreatitis, including fatal pancreatitis, has been reported in patients treated with linagliptin. In the CARMELINA trial [see Clinical Studies (14.2)], acute pancreatitis was reported in 9 (0.3%) patients treated with linagliptin and in 5 (0.1%) patients treated with placebo. Two patients treated with linagliptin in the CARMELINA trial had acute pancreatitis with a fatal outcome. There have been postmarketing reports of acute pancreatitis, including fatal pancreatitis, in patients treated with linagliptin. Take careful notice of potential signs and symptoms of pancreatitis. If pancreatitis is suspected, promptly discontinue linagliptin and metformin hydrochloride and initiate appropriate management. It is unknown whether patients with a history of pancreatitis are at increased risk for the development of pancreatitis while using linagliptin and metformin hydrochloride.
5.3 Hypoglycemia With Concomitant Use With Insulin And Insulin Secretagogues
Insulin secretagogues and insulin are known to cause hypoglycemia. The risk of hypoglycemia is increased when linagliptin and metformin hydrochloride is used in combination with an insulin secretagogue (e.g., sulfonylurea) or insulin [see Adverse Reactions (6.1)]. Therefore, a lower dosage of the insulin secretagogue or insulin may be required to reduce the risk of hypoglycemia when used in combination with linagliptin and metformin hydrochloride.
5.4 Hypersensitivity Reactions
There have been postmarketing reports of serious hypersensitivity reactions in patients treated with linagliptin. These reactions include anaphylaxis, angioedema, and exfoliative skin conditions. Onset of these reactions occurred predominantly within the first 3 months after initiation of treatment with linagliptin, with some reports occurring after the first dose. If a serious hypersensitivity reaction is suspected, discontinue linagliptin and metformin hydrochloride, assess for other potential causes for the event, and institute alternative treatment for diabetes mellitus.
Angioedema has also been reported with other dipeptidyl peptidase-4 (DPP-4) inhibitors. Use caution in a patient with a history of angioedema to another DPP-4 inhibitor because it is unknown whether such patients will be predisposed to angioedema with linagliptin and metformin hydrochloride.
5.5 Vitamin B12 Deficiency
In metformin clinical trials of 29-week duration, a decrease to subnormal levels of previously normal serum vitamin B12 levels was observed in approximately 7% of metformin-treated patients. Such decrease, possibly due to interference with B12 absorption from the B12-intrinsic factor complex, may be associated with anemia but appears to be rapidly reversible with discontinuation of metformin or vitamin B12 supplementation. Certain individuals (those with inadequate vitamin B12 or calcium intake or absorption) appear to be predisposed to developing subnormal vitamin B12 levels. Measure hematologic parameters on an annual basis and vitamin B12 at 2 to 3 year intervals in patients on linagliptin and metformin hydrochloride and manage any abnormalities [see Adverse Reactions (6.1)].
5.6 Severe And Disabling Arthralgia
There have been postmarketing reports of severe and disabling arthralgia in patients taking linagliptin. The time to onset of symptoms following initiation of drug therapy varied from one day to years. Patients experienced relief of symptoms upon discontinuation of the medication. A subset of patients experienced a recurrence of symptoms when restarting the same drug or a different DPP-4 inhibitor. Consider DPP-4 inhibitors as a possible cause for severe joint pain and discontinue drug if appropriate.
5.7 Bullous Pemphigoid
Bullous pemphigoid was reported in 7 (0.2%) patients treated with linagliptin compared to none in patients treated with placebo in the CARMELINA trial [see Clinical Studies (14.2)], and 3 of these patients were hospitalized due to bullous pemphigoid. Postmarketing cases of bullous pemphigoid requiring hospitalization have been reported with DPP-4 inhibitor use. In reported cases, patients typically recovered with topical or systemic immunosuppressive treatment and discontinuation of the DPP-4 inhibitor. Tell patients to report development of blisters or erosions while receiving linagliptin and metformin hydrochloride. If bullous pemphigoid is suspected, linagliptin and metformin hydrochloride should be discontinued and referral to a dermatologist should be considered for diagnosis and appropriate treatment.
5.8 Heart Failure
An association between DPP-4 inhibitor treatment and heart failure has been observed in cardiovascular outcomes trials for two other members of the DPP-4 inhibitor class. These trials evaluated patients with type 2 diabetes mellitus and atherosclerotic cardiovascular disease.
Consider the risks and benefits of linagliptin and metformin hydrochloride prior to initiating treatment in patients at risk for heart failure, such as those with a prior history of heart failure and a history of renal impairment, and observe these patients for signs and symptoms of heart failure during therapy. Advise patients of the characteristic symptoms of heart failure and to immediately report such symptoms. If heart failure develops, evaluate and manage according to current standards of care and consider discontinuation of linagliptin and metformin hydrochloride.
6 Adverse Reactions
The following serious adverse reactions are described below or elsewhere in the prescribing information:
• Lactic Acidosis [see Warnings and Precautions (5.1)]
• Pancreatitis [see Warnings and Precautions (5.2)]
• Hypoglycemia with Concomitant Use with Insulin and Insulin Secretagogues [see Warnings and Precautions (5.3)]
• Hypersensitivity Reactions [see Warnings and Precautions (5.4)]
• Vitamin B12 Deficiency [see Warnings and Precautions (5.5)]
• Severe and Disabling Arthralgia [see Warnings and Precautions (5.6)]
• Bullous Pemphigoid [see Warnings and Precautions (5.7)]
• Heart Failure [see Warnings and Precautions (5.8)]
6.1 Clinical Trials Experience
Because clinical trials are conducted under widely varying conditions, adverse reaction rates observed in the clinical trials of a drug cannot be directly compared to rates in the clinical trials of another drug and may not reflect the rates observed in practice.
Linagliptin/Metformin
The safety of concomitantly administered linagliptin (daily dosage 5 mg) and metformin (mean daily dosage of approximately 1,800 mg) has been evaluated in 2,816 patients with type 2 diabetes mellitus treated for ≥12 weeks in clinical trials.
Three placebo-controlled trials with linagliptin + metformin were conducted: 2 studies were 24 weeks in duration, 1 trial was 12 weeks in duration. In the 3 placebo-controlled clinical studies, adverse reactions which occurred in ≥5% of patients receiving linagliptin + metformin (n=875) and were more common than in patients given placebo+ metformin (n=539) included nasopharyngitis (5.7% vs 4.3%).
In a 24-week factorial design trial, adverse reactions reported in ≥5% of patients receiving linagliptin + metformin and were more common than in patients given placebo are shown in Table 1.
Table 1 Adverse Reactions Reported in ≥5% of Patients Treated with Linagliptin + Metformin and Greater than with Placebo in a 24-week Factorial-Design Trial
| Adverse Reactions | Placebo (%) n=72 | Linagliptin Monotherapy (%) n=142 | Metformin Monotherapy (%) n=291 | Combination of Linagliptin with Metformin(%) n=286 |
| Nasopharyngitis | 1.4 | 5.6 | 2.7 | 6.3 |
| Diarrhea | 2.8 | 3.5 | 3.8 | 6.3 |
Other adverse reactions reported in clinical studies with treatment of linagliptin + metformin were hypersensitivity (e.g., urticaria, angioedema, or bronchial hyperreactivity), cough, decreased appetite, nausea, vomiting, pruritus, and pancreatitis.
Linagliptin
Adverse reactions reported in ≥2% of patients treated with linagliptin 5 mg and more commonly than in patients treated with placebo included: nasopharyngitis (7% vs 6.1%), diarrhea (3.3% vs 3%), and cough (2.1% vs 1.4%).
Rates for other adverse reactions for linagliptin 5 mg vs placebo when linagliptin was used in combination with specific anti-diabetic agents were: urinary tract infection (3.1% vs 0%) and hypertriglyceridemia (2.4% vs 0%) when linagliptin was used as add-on to sulfonylurea; hyperlipidemia (2.7% vs 0.8%) and weight increased (2.3% vs 0.8%) when linagliptin was used as add-on to pioglitazone; and constipation (2.1% vs 1%) when linagliptin was used as add-on to basal insulin therapy.
Other adverse reactions reported in clinical studies with treatment of linagliptin monotherapy were hypersensitivity (e.g., urticaria, angioedema, localized skin exfoliation, or bronchial hyperreactivity) and myalgia. In the clinical trial program, pancreatitis was reported in 15.2 cases per 10,000 patient year exposure while being treated with linagliptin compared with 3.7 cases per 10,000 patient year exposure while being treated with comparator (placebo and active comparator, sulfonylurea). Three additional cases of pancreatitis were reported following the last administered dose of linagliptin.
Metformin
The most common (>5%) adverse reactions due to initiation of metformin therapy are diarrhea, nausea/vomiting, flatulence, abdominal discomfort, indigestion, asthenia, and headache.
Other Adverse Reactions
Hypoglycemia
Linagliptin/Metformin
In a 24-week factorial design trial, hypoglycemia was reported in 4 (1.4%) of 286 subjects treated with linagliptin + metformin, 6 (2.1%) of 291 subjects treated with metformin, and 1 (1.4%) of 72 subjects treated with placebo. The incidence of hypoglycemia with plasma glucose <54 mg/dL was 8.1% in the linagliptin group (N=792) compared to 5.3% in the placebo group (N=263) when administered in combination with metformin and sulfonylurea in a 24-week trial.
Linagliptin
The incidence of severe hypoglycemia (requiring assistance) was 1.7% in the linagliptin group (N=631) compared to 1.1% in the placebo group (N=630) when administered in combination with basal insulin in a 52-week trial.
Laboratory Test Abnormalities in Clinical Trials of Linagliptin or Metformin
Linagliptin
Increase in Uric Acid: Changes in laboratory values that occurred more frequently in the linagliptin group and ≥1% more than in the placebo group were increases in uric acid (1.3% in the placebo group, 2.7% in the linagliptin group).
Increase in Lipase: In a placebo-controlled clinical trial with linagliptin in type 2 diabetes mellitus patients with micro- or macroalbuminuria, a mean increase of 30% in lipase concentrations from baseline to 24 weeks was observed in the linagliptin arm compared to a mean decrease of 2% in the placebo arm. Lipase levels above 3 times upper limit of normal were seen in 8.2% compared to 1.7% patients in the linagliptin and placebo arms, respectively.
Increase in Amylase: In a cardiovascular safety trial comparing linagliptin versus glimepiride in patients with type 2 diabetes mellitus, amylase levels above 3 times upper limit of normal were seen in 1% compared to 0.5% of patients in the linagliptin and glimepiride arms, respectively. The clinical significance of elevations in lipase and amylase with linagliptin is unknown in the absence of potential signs and symptoms of pancreatitis [see Warnings and Precautions (5.2)].
Metformin
Decrease in Vitamin B12: In metformin clinical trials of 29-week duration, a decrease to subnormal levels of previously normal serum vitamin B12 levels was observed in approximately 7% of patients.
6.2 Postmarketing Experience
The following adverse reactions have been identified during postapproval use. Because these reactions are reported voluntarily from a population of uncertain size, it is generally not possible to reliably estimate their frequency or establish a causal relationship to drug exposure.
Linagliptin
• Gastrointestinal Disorders: Acute pancreatitis, including fatal pancreatitis [see Indications and Usage (1)], mouth ulceration, stomatitis
• Immune System Disorders: Hypersensitivity reactions including anaphylaxis, angioedema, and exfoliative skin conditions
• Musculoskeletal and Connective Tissue Disorders: Rhabdomyolysis, severe and disabling arthralgia
• Skin and Subcutaneous Tissue Disorders: Bullous pemphigoid, rash
Metformin
• Hepatobiliary Disorders: Cholestatic, hepatocellular, and mixed hepatocellular liver injury
7 Drug Interactions
Table 2 describes clinically relevant interactions with linagliptin and metformin hydrochloride.
Table 2 Clinically Relevant Interactions with linagliptin and metformin hydrochloride
| Carbonic Anhydrase Inhibitors | |
| Clinical Impact | Topiramate or other carbonic anhydrase inhibitors (e.g., zonisamide, acetazolamide or dichlorphenamide) frequently cause a decrease in serum bicarbonate and induce non-anion gap, hyperchloremic metabolic acidosis. Concomitant use of these drugs with linagliptin and metformin hydrochloride may increase the risk of lactic acidosis. |
| Intervention | Consider more frequent monitoring of these patients. |
| Drugs that Reduce Metformin Clearance | |
| Clinical Impact | Concomitant use of drugs that interfere with common renal tubular transport systems involved in the renal elimination of metformin (e.g., organic cationic transporter-2 [OCT2] / multidrug and toxin extrusion [MATE] inhibitors such as ranolazine, vandetanib, dolutegravir, and cimetidine) could increase systemic exposure to metformin and may increase the risk for lactic acidosis [see Clinical Pharmacology (12.3)]. |
| Intervention | Consider the benefits and risks of concomitant use. |
| Alcohol | |
| Clinical Impact | Alcohol is known to potentiate the effect of metformin on lactate metabolism. |
| Intervention | Warn patients against excessive alcohol intake while receiving linagliptin and metformin hydrochloride. |
| Insulin or Insulin Secretagogues | |
| Clinical Impact | The risk of hypoglycemia is increased when linagliptin and metformin hydrochloride is used in combination with an insulin secretagogue (e.g., sulfonylurea) or insulin. |
| Intervention | Coadministration of linagliptin and metformin hydrochloride with an insulin secretagogue (e.g., sulfonylurea) or insulin may require lower dosages of the insulin secretagogue or insulin to reduce the risk of hypoglycemia. |
| Drugs Affecting Glycemic Control | |
| Clinical Impact | Certain drugs tend to produce hyperglycemia and may lead to loss of glycemic control. These drugs include the thiazides and other diuretics, corticosteroids, phenothiazines, thyroid products, estrogens, oral contraceptives, phenytoin, nicotinic acid, sympathomimetics, calcium channel blocking drugs, and isoniazid. |
| Intervention | When such drugs are administered to a patient receiving linagliptin and metformin hydrochloride, the patient should be closely observed to maintain adequate glycemic control. When such drugs are withdrawn from a patient receiving linagliptin and metformin hydrochloride, the patient should be observed closely for hypoglycemia. |
| Inducers of P-glycoprotein or CYP3A4 Enzymes | |
| Clinical Impact | Rifampin decreased linagliptin exposure, suggesting that the efficacy of linagliptin may be reduced when administered in combination with a strong P-gp or CYP3A4 inducer. |
| Intervention | Use of alternative treatments is strongly recommended when linagliptin is to be administered with a strong P-gp or CYP3A4 inducer. |
8.1 Pregnancy
Risk Summary
The limited data with linagliptin and metformin hydrochloride and linagliptin use in pregnant women are not sufficient to inform a linagliptin and metformin hydrochloride-associated or linagliptin-associated risk for major birth defects and miscarriage. Published studies with metformin use during pregnancy have not reported a clear association with metformin and major birth defector miscarriage risk [see Data]. There are risks to the mother and fetus associated with poorly controlled diabetes in pregnancy [see Clinical Considerations].
In animal reproduction studies, no adverse developmental effects were observed when the combination of linagliptin and metformin was administered to pregnant rats during the period of organogenesis at doses similar to the maximum recommended clinical dose, based on exposure [see Data].
The estimated background risk of major birth defects is 6% to10% in women with pre-gestational diabetes with a HbA1c>7 and has been reported to be as high as 20% to 25% in women with HbA1c>10. The estimated background risk of miscarriage for the indicated population is unknown. In the U.S. general population, the estimated background risk of major birth defects and miscarriage in clinically recognized pregnancies is 2% to 4% and 15% to 20%, respectively.
Clinical Considerations
Disease-associated maternal and/or embryo/fetal risk
Poorly controlled diabetes in pregnancy increases the maternal risk for diabetic ketoacidosis, preeclampsia, spontaneous abortions, preterm delivery, and delivery complications. Poorly controlled diabetes increases the fetal risk for major birth defects, stillbirth, and macrosomia related morbidity.
Data
Human Data
Published data from postmarketing studies have not reported a clear association with metformin and major birth defects, miscarriage, or adverse maternal or fetal outcomes when metformin was used during pregnancy. However, these studies cannot definitely establish the absence of any metformin-associated risk because of methodological limitations, including small sample size and inconsistent comparator groups.
Animal Data
Linagliptin and metformin, the components of linagliptin and metformin hydrochloride, were coadministered to pregnant Wistar Han rats during the period of organogenesis. No adverse developmental outcome was observed at doses similar to the maximum recommended clinical dose, based on exposure. At higher doses associated with maternal toxicity, the metformin component of the combination was associated with an increased incidence of fetal rib and scapula malformations at ≥9-times a 2,000 mg clinical dose, based on exposure.
Linagliptin
No adverse developmental outcome was observed when linagliptin was administered to pregnant Wistar Han rats and Himalayan rabbits during the period of organogenesis at doses up to 240 mg/kg/day and 150 mg/kg/day, respectively. These doses represent approximately 943-times (rats) and 1,943-times (rabbits) the 5 mg maximum clinical dose, based on exposure. No adverse functional, behavioral, or reproductive outcome was observed in offspring following administration of linagliptin to Wistar Han rats from gestation day 6 to lactation day 21 at a dose 49-times the maximum recommended human dose, based on exposure.
Linagliptin crosses the placenta into the fetus following oral dosing in pregnant rats and rabbits.
Metformin HCl
Metformin HCl did not cause adverse developmental effects when administered to pregnant Sprague Dawley rats and rabbits at doses up to 600 mg/kg/day during the period of organogenesis. This represents an exposure of approximately 2- and 6-times a clinical dose of 2,000 mg, based on body surface area (mg/m2) for rats and rabbits, respectively.
8.2 Lactation
Risk Summary
There is limited information regarding the presence of linagliptin and metformin hydrochloride or its components (linagliptin or metformin) in human milk, the effects on the breastfed infant, or the effects on milk production. However, linagliptin is present in rat milk. Limited published studies report that metformin is present in human milk [see Data]. Therefore, the developmental and health benefits of breastfeeding should be considered along with the mother’s clinical need for linagliptin and metformin hydrochloride and any potential adverse effects on the breastfed child from linagliptin and metformin hydrochloride or from the underlying maternal condition.
Data
Published clinical lactation studies report that metformin is present in human milk which resulted in infant doses approximately 0.11% to 1% of the maternal weight-adjusted dosage and a milk/plasma ratio ranging between 0.13 and 1. However, the studies were not designed to definitely establish the risk of use of metformin during lactation because of small sample size and limited adverse event data collected in infants.
8.3 Females And Males Of Reproductive Potential
Discuss the potential for unintended pregnancy with premenopausal women as therapy with metformin may result in ovulation in some anovulatory women.
8.4 Pediatric Use
Safety and effectiveness of linagliptin and metformin hydrochloride have not been established in pediatric patients.
"Pediatric information describing a clinical study in which efficacy was not demonstrated is approved for Boehringer Ingelheim Pharmaceuticals, Inc.’s Jentadueto® (Linagliptin; Metformin hydrochloride) Tablets. However, due to Boehringer Ingelheim Pharmaceuticals, Inc.’s marketing exclusivity rights, this drug product is not labeled with that information."
8.5 Geriatric Use
Linagliptin is minimally excreted by the kidney; however, metformin is substantially excreted by the kidney [see Warnings and Precautions (5.1) and Clinical Pharmacology (12.3)].
Linagliptin
In linagliptin studies, 1,085 linagliptin-treated patients were 65 years of age and older and 131 patients were 75 years of age and older. In these linagliptin studies, no overall differences in safety or effectiveness of linagliptin were observed between geriatric patients and younger adult patients.
Metformin
Controlled clinical studies of metformin did not include sufficient numbers of elderly patients to determine whether they respond differently from younger patients. In general, dose selection for an elderly patient should be cautious, usually starting at the low end of the dosing range, reflecting the greater frequency of decreased hepatic, renal, or cardiac function, and of concomitant disease or other drug therapy and the higher risk of lactic acidosis. Assess renal function more frequently in elderly patients [see Contraindications (4), Warnings and Precautions (5.1), and Clinical Pharmacology (12.3)].
8.6 Renal Impairment
Metformin is substantially excreted by the kidney, and the risk of metformin accumulation and lactic acidosis increases with the degree of renal impairment. Linagliptin and metformin hydrochloride is contraindicated in severe renal impairment, patients with an estimated glomerular filtration rate (eGFR) below 30 mL/min/1.73 m2 [see Dosage and Administration (2.2), Contraindications (4), Warnings and Precautions (5.1), and Clinical Pharmacology (12.3)].
In the linagliptin treatment arm of the CARMELINA trial [see Clinical Studies (14.2)], 2,200 (63%) patients had renal impairment (eGFR <60 mL/min/1.73 m2). Approximately 20% of the population had eGFR ≥45 to <60 mL/min/1.73 m2, 28% of the population had eGFR ≥30 to <45 mL/min/1.73 m2 and 15% had eGFR <30 mL/min/1.73 m2. The overall incidence of adverse reactions were generally similar between the linagliptin and placebo treatment arms.
8.7 Hepatic Impairment
Use of metformin in patients with hepatic impairment has been associated with some cases of lactic acidosis. Linagliptin and metformin hydrochloride is not recommended in patients with hepatic impairment [see Warnings and Precautions (5.1)].
10 Overdosage
In the event of an overdose with linagliptin and metformin hydrochloride, consider contacting the Poison Help line (1-800-222-1222) or medical toxicologist for additional overdosage management recommendations.
Overdose of metformin HCl has occurred, including ingestion of amounts greater than 50 grams. Lactic acidosis has been reported in approximately 32% of metformin overdose cases [see Warnings and Precautions (5.1)]. Metformin is dialyzable with a clearance of up to 170 mL/min under good hemodynamic conditions. Therefore, hemodialysis may be useful for removal of accumulated drug from patients in whom metformin overdosage is suspected.
Removal of linagliptin by hemodialysis or peritoneal dialysis is unlikely.
11 Description
Linagliptin and metformin hydrochloride tablets for oral use contain: linagliptin and metformin hydrochloride.
Linagliptin
Linagliptin is an inhibitor of the dipeptidyl peptidase-4 (DPP-4) enzyme.
The chemical name of linagliptin is 1H-Purine-2,6-dione, 8-[(3R)-3-amino-1-piperidinyl]-7-(2-butyn-1-yl)-3,7-dihydro-3-methyl-1-[(4-methyl-2-quinazolinyl)methyl]-
The molecular formula is C25H28N8O2 and the molecular weight is 472.54 g/mol. The structural formula is:
Linagliptin is a white to yellowish, not or only slightly hygroscopic solid substance. It is very slightly soluble in water (0.9 mg/mL). Linagliptin is soluble in methanol (ca. 60 mg/mL), sparingly soluble in ethanol (ca. 10 mg/mL), very slightly soluble in isopropanol (<1 mg/mL), and very slightly soluble in acetone (ca.1 mg/mL).
Metformin Hydrochloride
Metformin hydrochloride (N,N-dimethylimidodicarbonimidic diamide hydrochloride) is a biguanide. Metformin hydrochloride is a white to off-white crystalline compound with a molecular formula of C4H11N5•HCl and a molecular weight of 165.63 g/mol. Metformin hydrochloride is freely soluble in water and is practically insoluble in acetone, ether, and chloroform. The pKa of metformin is 12.4. The pH of a 1% aqueous solution of metformin hydrochloride is 6.68. The structural formula is:
Linagliptin and Metformin Hydrochloride Tablets
Linagliptin and metformin hydrochloride tablets are available for oral administration as tablets containing:
• 2.5 mg linagliptin and 500 mg metformin hydrochloride (equivalent to 389.93 mg of metformin)
• 2.5 mg linagliptin and 850 mg metformin hydrochloride (equivalent 662.88 mg of metformin)
• 2.5 mg linagliptin and 1,000 mg metformin hydrochloride (equivalent to 779.86 mg of metformin)
Each film-coated tablet of linagliptin and metformin hydrochloride tablets contains the following inactive ingredients: colloidal silicon dioxide, copovidone, corn starch, hypromellose, magnesium stearate, meglumine, povidone, propylene glycol, titanium dioxide, talc, yellow iron oxide (2.5 mg/500 mg; 2.5 mg/850 mg) and/or red iron oxide (2.5 mg/850 mg; 2.5 mg/1,000 mg).
12.1 Mechanism Of Action
Linagliptin and Metformin Hydrochloride
Linagliptin and metformin hydrochloride contains: linagliptin, a dipeptidyl peptidase-4 (DPP-4) inhibitor, and metformin, a biguanide.
Linagliptin
Linagliptin is an inhibitor of DPP-4, an enzyme that degrades the incretin hormones glucagon-like peptide-1 (GLP-1) and glucose-dependent insulinotropic polypeptide (GIP). Thus, linagliptin increases the concentrations of active incretin hormones, stimulating the release of insulin in a glucose-dependent manner and decreasing the levels of glucagon in the circulation. Both incretin hormones are involved in the physiological regulation of glucose homeostasis. Incretin hormones are secreted at a low basal level throughout the day and levels rise immediately after meal intake. GLP-1 and GIP increase insulin biosynthesis and secretion from pancreatic beta cells in the presence of normal and elevated blood glucose levels. Furthermore, GLP-1 also reduces glucagon secretion from pancreatic alpha cells, resulting in a reduction in hepatic glucose output.
Metformin HCl
Metformin is an antihyperglycemic agent which improves glucose tolerance in patients with type 2 diabetes mellitus, lowering both basal and postprandial plasma glucose. Metformin decreases hepatic glucose production, decreases intestinal absorption of glucose, and improves insulin sensitivity by increasing peripheral glucose uptake and utilization. With metformin therapy, insulin secretion remains unchanged while fasting insulin levels and day-long plasma insulin response may decrease.
12.2 Pharmacodynamics
Linagliptin
Linagliptin binds to DPP-4 in a reversible manner and increases the concentrations of incretin hormones. Linagliptin glucose-dependently increases insulin secretion and lowers glucagon secretion, thus resulting in a better regulation of the glucose homeostasis. Linagliptin binds selectively to DPP-4 and selectively inhibits DPP-4, but not DPP-8 or DPP-9 activity in vitro at concentrations approximating therapeutic exposures.
Cardiac Electrophysiology
In a randomized, placebo-controlled, active-comparator, 4-way crossover study, 36 healthy subjects were administered a single oral dose of linagliptin 5 mg, linagliptin 100 mg (20 times the recommended dose), moxifloxacin, and placebo. No increase in QTc was observed with either the recommended dose of 5 mg or the 100 mg dose. At the 100 mg dose, peak linagliptin plasma concentrations were approximately 38-fold higher than the peak concentrations following a 5 mg dose.
12.3 Pharmacokinetics
Linagliptin and Metformin Hydrochloride
Administration of linagliptin 2.5 mg/metformin HCl 1,000 mg fixed-dose combination with food resulted in no change in overall exposure of linagliptin. There was no change in metformin AUC; however, mean peak serum concentration of metformin was decreased by 18% when administered with food. A delayed time-to-peak serum concentrations by 2 hours was observed for metformin under fed conditions. These changes are not likely to be clinically significant.
Absorption
Linagliptin
The absolute bioavailability of linagliptin is approximately 30%. Following oral administration, plasma concentrations of linagliptin decline in at least a biphasic manner with a long terminal half-life (>100 hours), related to the saturable binding of linagliptin to DPP-4. However, the prolonged elimination does not contribute to the accumulation of the drug. The effective half-life for accumulation of linagliptin, as determined from oral administration of multiple doses of linagliptin 5 mg, is approximately 12 hours. After once-daily dosing, steady-state plasma concentrations of linagliptin 5 mg are reached by the third dose, and Cmax and AUC increased by a factor of 1.3 at steady-state compared with the first dose. Plasma AUC of linagliptin increased in a less than dose-proportional manner in the dose range of 1 to 10 mg. The pharmacokinetics of linagliptin is similar in healthy subjects and in patients with type 2 diabetes mellitus.
Metformin HCl
The absolute bioavailability of a metformin HCl 500 mg tablet given under fasting conditions is approximately 50% to 60%. Studies using single oral doses of metformin tablets 500 mg to 1,500 mg, and 850 mg to 2,550 mg, indicate that there is a lack of dose proportionality with increasing doses, which is due to decreased absorption rather than an alteration in elimination.
Distribution
Linagliptin
The mean apparent volume of distribution at steady-state following a single intravenous dose of linagliptin 5 mg to healthy subjects is approximately 1,110 L, indicating that linagliptin extensively distributes to the tissues. Plasma protein binding of linagliptin is concentration-dependent decreasing from about 99% at 1 nmol/L to 75% to 89% at ≥30 nmol/L, reflecting saturation of binding to DPP-4 with increasing concentration of linagliptin. At high concentrations, where DPP-4 is fully saturated, 70% to 80% of linagliptin remains bound to plasma proteins and 20% to 30% is unbound in plasma. Plasma binding is not altered in patients with renal or hepatic impairment.
Metformin HCl
The apparent volume of distribution (V/F) of metformin following single oral doses of immediate-release metformin HCl tablets 850 mg averaged 654±358 L. Metformin is negligibly bound to plasma proteins. Metformin partitions into erythrocytes, most likely as a function of time.
Elimination
Linagliptin: Linagliptin has a terminal half-life of about 200 hours at steady-state, though the accumulation half-life is about 11 hours. Renal clearance at steady-state was approximately 70 mL/min.
Metformin HCl: Metformin has a plasma elimination half-life of approximately 6.2 hours. In blood, the elimination half-life is approximately 17.6 hours, suggesting that the erythrocyte mass may be a compartment of distribution.
Metabolism
Linagliptin: Following oral administration, the majority (about 90%) of linagliptin is excreted unchanged, indicating that metabolism represents a minor elimination pathway. A small fraction of absorbed linagliptin is metabolized to a pharmacologically inactive metabolite, which shows a steady-state exposure of 13.3% relative to linagliptin.
Metformin HCl: Intravenous single-dose studies in normal subjects demonstrate that metformin does not undergo hepatic metabolism (no metabolites have been identified in humans) nor biliary excretion.
Excretion
Linagliptin: Following administration of an oral [14C] linagliptin dose to healthy subjects, approximately 85% of the administered radioactivity was eliminated via the enterohepatic system (80%) or urine (5%) within 4 days of dosing.
Metformin HCl: Following oral administration, approximately 90% of the absorbed drug is excreted via the renal route within the first 24 hours. Renal clearance is approximately 3.5 times greater than creatinine clearance, which indicates that tubular secretion is the major route of metformin elimination.
Specific Populations
Renal Impairment
Linagliptin and metformin hydrochloride: Studies characterizing the pharmacokinetics of linagliptin and metformin after administration of linagliptin and metformin hydrochloride in renally impaired patients have not been performed.
Linagliptin: Under steady-state conditions, linagliptin exposure in patients with mild renal impairment was comparable to healthy subjects. In patients with moderate renal impairment under steady-state conditions, mean exposure of linagliptin increased (AUCτ,ss by 71% and Cmax by 46%) compared with healthy subjects. This increase was not associated with a prolonged accumulation half-life, terminal half-life, or an increased accumulation factor. Renal excretion of linagliptin was below 5% of the administered dose and was not affected by decreased renal function.
Patients with type 2 diabetes mellitus and severe renal impairment showed steady-state exposure approximately 40% higher than that of patients with type 2 diabetes mellitus and normal renal function (increase in AUC by 42% and Cmax by 35%). For both type 2 diabetes mellitus groups, renal excretion was below 7% of the administered dose.
These findings were further supported by the results of population pharmacokinetic analyses.
Metformin HCl: In patients with decreased renal function, the plasma and blood half-life of metformin is prolonged and the renal clearance is decreased [see Contraindications (4) and Warnings and Precautions (5.1)].
Hepatic Impairment
Linagliptin and metformin hydrochloride: Studies characterizing the pharmacokinetics of linagliptin and metformin after administration of linagliptin and metformin hydrochloride in hepatically impaired patients have not been performed [see Warnings and Precautions (5.1)].
Linagliptin: In patients with mild hepatic impairment (Child-Pugh class A) steady-state exposure (AUCτ,ss) of linagliptin was approximately 25% lower and Cmax,ss was approximately 36% lower than in healthy subjects. In patients with moderate hepatic impairment (Child-Pugh class B), AUCss of linagliptin was about 14% lower and Cmax,ss was approximately 8% lower than in healthy subjects. Patients with severe hepatic impairment (Child-Pugh class C) had comparable exposure of linagliptin in terms of AUC0-24 and approximately 23% lower Cmax compared with healthy subjects. Reductions in the pharmacokinetic parameters seen in patients with hepatic impairment did not result in reductions in DPP-4 inhibition.
Metformin HCl: No pharmacokinetic studies of metformin have been conducted in patients with hepatic impairment.
Effects of Age, Body Mass Index (BMI), Gender, and Race
Linagliptin: Based on the population pharmacokinetic analysis, age, BMI, gender, and race do not have a clinically meaningful effect on pharmacokinetics of linagliptin [see Use in Specific Populations (8.5)].
Metformin HCl: Metformin pharmacokinetic parameters did not differ significantly between normal subjects and patients with type 2 diabetes mellitus when analyzed according to gender. Similarly, in controlled clinical studies in patients with type 2 diabetes mellitus, the antihyperglycemic effect of metformin was comparable in males and females.
Limited data from controlled pharmacokinetic studies of metformin in healthy elderly subjects suggest that total plasma clearance of metformin is decreased, the half-life is prolonged, and Cmax is increased, compared with healthy young subjects. From these data, it appears that the change in metformin pharmacokinetics with aging is primarily accounted for by a change in renal function.
No studies of metformin pharmacokinetic parameters according to race have been performed. In controlled clinical studies of metformin HCl in patients with type 2 diabetes mellitus, the antihyperglycemic effect was comparable in Caucasians (n=249), Blacks (n=51), and Hispanics (n=24).
Drug Interactions
Pharmacokinetic drug interaction studies with linagliptin and metformin hydrochloride have not been performed; however, such studies have been conducted with the individual components of linagliptin and metformin hydrochloride.
Linagliptin
In vitro Assessment of Drug Interactions
Linagliptin is a weak to moderate inhibitor of CYP isozyme CYP3A4, but does not inhibit other CYP isozymes and is not an inducer of CYP isozymes, including CYP1A2, 2A6, 2B6, 2C8, 2C9, 2C19, 2D6, 2E1, and 4A11.
Linagliptin is a P-glycoprotein (P-gp) substrate, and inhibits P-gp mediated transport of digoxin at high concentrations. Based on these results and in vivo drug interaction studies, linagliptin is considered unlikely to cause interactions with other P-gp substrates at therapeutic concentrations.
In vivo Assessment of Drug Interactions
Strong inducers of CYP3A4 or P-gp (e.g., rifampin) decrease exposure to linagliptin to subtherapeutic and likely ineffective concentrations [see Drug Interactions (7)]. In vivo studies indicated evidence of a low propensity for causing drug interactions with substrates of CYP3A4, CYP2C9, CYP2C8, P-gp, and organic cationic transporter (OCT).
Table 3 describes the effect of coadministered drugs on systemic exposure of linagliptin.
Table 3 Effect of Coadministered Drugs on Systemic Exposure of Linagliptin
| Coadministered Drug | Dosing of Coadministered Drug* | Dosing of Linagliptin* | Geometric Mean Ratio (ratio with/without coadministered drug) No effect=1.0 | |
| AUC† | Cmax | |||
| Metformin | 850 mg TID | 10 mg QD | 1.20 | 1.03 |
| Glyburide | 1.75 mg# | 5 mg QD | 1.02 | 1.01 |
| Pioglitazone | 45 mg QD | 10 mg QD | 1.13 | 1.07 |
| Ritonavir** | 200 mg BID | 5 mg# | 2.01 | 2.96 |
| Rifampin | 600 mg QD | 5 mg QD | 0.60 | 0.56 |
*Multiple dose (steady-state) unless otherwise noted
**For information regarding clinical recommendations [see Drug Interactions (7)].
# Single dose
†AUC=AUC(0 to 24 hours) for single-dose treatments and AUC = AUC(TAU) for multiple-dose treatments
QD=once daily
BID=twice daily
TID=three times daily
Table 4 describes the effect of linagliptin on systemic exposure of coadministered drugs.
Table 4 Effect of Linagliptin on Systemic Exposure of Coadministered Drugs
| Coadministered Drug | Dosing of Coadministered Drug* | Dosing of Linagliptin* | Geometric Mean Ratio(ratio with/without coadministered drug) No effect=1.0 | ||||
| | AUC† | Cmax | |||||
| Metformin | 850 mg TID | 10 mg QD | metformin | 1.01 | 0.89 | ||
| Glyburide | 1.75 mg# | 5 mg QD | glyburide | 0.86 | 0.86 | ||
| Pioglitazone | 45 mg QD | 10 mg QD | pioglitazone metabolite M-III metabolite M-IV | 0.94 0.98 1.04 | 0.86 0.96 1.05 | ||
| Digoxin | 0.25 mg QD | 5 mg QD | digoxin | 1.02 | 0.94 | ||
| Simvastatin | 40 mg QD | 10 mg QD | simvastatin simvastatin acid | 1.34 1.33 | 1.10 1.21 | ||
| Warfarin | 10 mg# | 5 mg QD | R-warfarin S-warfarin INR PT | 0.99 1.03 0.93** 1.03** | 1.00 1.01 1.04** 1.15** | ||
| Ethinylestradiol and levonorgestrel | ethinylestradiol 0.03 mg and levonorgestrel 0.150 mg QD | 5 mg QD | ethinylestradiol levonorgestrel | 1.01 1.09 | 1.08 1.13 | ||
* Multiple dose (steady-state) unless otherwise noted
# Single dose
†AUC = AUC(INF) for single-dose treatments and AUC = AUC(TAU) for multiple-dose treatments
**AUC=AUC(0 to 168) and Cmax=Emax for pharmacodynamic end points
INR = International Normalized Ratio
PT = Prothrombin Time
QD = once daily
TID = three times daily
Metformin HCl
Table 5 describes the effect of coadministered drugs on plasma metformin systemic exposure.
Table 5 Effect of Coadministered Drugs on Plasma Metformin Systemic Exposure
| Coadministered Drug | Dosing of Coadministered Drug* | Dosing of Metformin* | Geometric Mean Ratio(ratio with/without coadministered drug) No effect=1.0 | ||
| | AUC† | Cmax | |||
| Glyburide | 5 mg | 850 mg | metformin | 0.91‡ | 0.93‡ |
| Furosemide | 40 mg | 850 mg | metformin | 1.09‡ | 1.22‡ |
| Nifedipine | 10 mg | 850 mg | metformin | 1.16 | 1.21 |
| Propranolol | 40 mg | 850 mg | metformin | 0.90 | 0.94 |
| Ibuprofen | 400 mg | 850 mg | metformin | 1.05‡ | 1.07‡ |
| Cationic drugs eliminated by renal tubular secretion may reduce metformin elimination [see DrugInteractions (7)]. | |||||
| Cimetidine | 400 mg | 850 mg | metformin | 1.40 | 1.61 |
| Carbonic anhydrase inhibitors may cause metabolic acidosis [see Drug Interactions (7)]. | |||||
| Topiramate** | 100 mg | 500 mg | metformin | 1.25 | 1.17 |
* All metformin and coadministered drugs were given as single doses
† AUC = AUC(INF)
‡ Ratio of arithmetic means
**At steady-state with topiramate 100 mg every 12 hours and metformin 500 mg every 12 hours; AUC = AUC(0-12hours)
Table 6 describes the effect of metformin on coadministered drug systemic exposure.
Table 6 Effect of Metformin on Coadministered Drug Systemic Exposure
| Coadministered Drug | Dosing of Coadministered Drug* | Dosing of Metformin* | Geometric Mean Ratio (ratio with/without metformin) No effect=1.0 | ||
| | AUC† | Cmax | |||
| Glyburide | 5 mg | 850 mg | glyburide | 0.78‡ | 0.63‡ |
| Furosemide | 40 mg | 850 mg | furosemide | 0.87‡ | 0.69‡ |
| Nifedipine | 10 mg | 850 mg | nifedipine | 1.10§ | 1.08 |
| Propranolol | 40 mg | 850 mg | propranolol | 1.01§ | 1.02 |
| Ibuprofen | 400 mg | 850 mg | ibuprofen | 0.97¶ | 1.01¶ |
| Cimetidine | 400 mg | 850 mg | cimetidine | 0.95§ | 1.01 |
* All metformin and coadministered drugs were given as single doses
† AUC = AUC(INF) unless otherwise noted
‡ Ratio of arithmetic means, p-value of difference <0.05
§ AUC (0 to24 hours) reported
¶ Ratio of arithmetic means
13.1 Carcinogenesis, Mutagenesis, Impairment Of Fertility
Linagliptin and Metformin Hydrochloride
No carcinogenicity, mutagenicity, or impairment of fertility studies have been conducted with the combination of linagliptin and metformin HCl.
Linagliptin
Linagliptin did not increase the incidence of tumors in male and female rats in a 2-year study at doses of 6, 18, and 60 mg/kg. The highest dose of 60 mg/kg is approximately 418 times the clinical dose of 5 mg/day based on AUC exposure. Linagliptin did not increase the incidence of tumors in mice in a 2-year study at doses up to 80 mg/kg (males) and 25 mg/kg (females), or approximately 35 and 270 times the clinical dose based on AUC exposure. Higher doses of linagliptin in female mice (80 mg/kg) increased the incidence of lymphoma at approximately 215 times the clinical dose based on AUC exposure.
Linagliptin was not mutagenic or clastogenic with or without metabolic activation in the Ames bacterial mutagenicity assay, a chromosomal aberration test in human lymphocytes, and an
in vivo micronucleus assay.
In fertility studies in rats, linagliptin had no adverse effects on early embryonic development, mating, fertility, or bearing live young up to the highest dose of 240 mg/kg (approximately 943 times the clinical dose based on AUC exposure).
Metformin HCl
Long-term carcinogenicity studies have been performed in rats (dosing duration of 104 weeks) and mice (dosing duration of 91 weeks) at doses up to and including 900 mg/kg/day and 1,500 mg/kg/day, respectively. These doses are both approximately 4 times the maximum recommended human daily dose of 2,000 mg/kg/day based on body surface area comparisons. No evidence of carcinogenicity with metformin was found in either male or female mice. Similarly, there was no tumorigenic potential observed with metformin in male rats. There was, however, an increased incidence of benign stromal uterine polyps in female rats treated with 900 mg/kg/day.
There was no evidence of a mutagenic potential of metformin in the following in vitro tests: Ames test (Salmonella typhimurium), gene mutation test (mouse lymphoma cells), or chromosomal aberrations test (human lymphocytes). Results in the in vivo mouse micronucleus test were also negative.
Fertility of male or female rats was unaffected by metformin when administered at doses as high as 600 mg/kg/day, which is approximately 2 times the MRHD based on body surface area comparisons.
14.1 Glycemic Control Trials In Adults With Type 2 Diabetes Mellitus
Initial Combination Therapy with Linagliptin and Metformin
A total of 791 patients with type 2 diabetes mellitus and inadequate glycemic control on diet and exercise participated in the 24-week, randomized, double-blind, portion of this placebo-controlled factorial trial designed to assess the efficacy of linagliptin as initial therapy with metformin. Patients on an antihyperglycemic agent (52%) underwent a drug washout period of 4 weeks’ duration. After the washout period and after completing a 2-week single-blind placebo run-in period, patients with inadequate glycemic control (A1C ≥7% to ≤10.5%) were randomized. Patients with inadequate glycemic control (A1C ≥7.5% to <11%) not on antihyperglycemic agents at trial entry (48%) immediately entered the 2-week single-blind placebo run-in period and then were randomized. Randomization was stratified by baseline A1C (<8.5% vs ≥8.5%) and use of a prior oral antidiabetic drug (none vs monotherapy). Patients were randomized in a 1:2:2:2:2:2 ratio to either placebo or one of 5 active-treatment arms. Approximately equal numbers of patients were randomized to receive initial therapy with 5 mg of linagliptin once daily, 500 mg or 1,000 mg of metformin twice daily, or 2.5 mg of linagliptin twice daily in combination with 500 mg or 1,000 mg of metformin twice daily. Patients who failed to meet specific glycemic goals during the trial were treated with sulfonylurea, thiazolidinedione, or insulin rescue therapy.
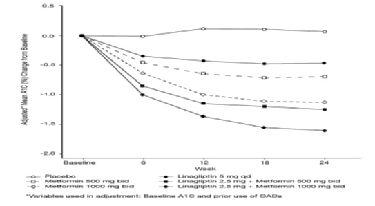
Initial therapy with the combination of linagliptin and metformin provided significant improvements in A1C, and fasting plasma glucose (FPG) compared to placebo, to metformin alone, and to linagliptin alone (Table 7, Figure 1). The adjusted mean treatment difference in A1C from baseline to week 24 (LOCF) was -0.5% (95% CI -0.7, -0.3; p<0.0001) for linagliptin 2.5 mg/metformin 1,000 mg twice daily compared to metformin 1,000 mg twice daily; -1.1% (95% CI -1.4, -0.9; p<0.0001) for linagliptin 2.5 mg/metformin 1,000 mg twice daily compared to linagliptin 5 mg once daily; -0.6% (95% CI -0.8, -0.4; p<0.0001) for linagliptin 2.5 mg/metformin 500 mg twice daily compared to metformin 500 mg twice daily; and -0.8% (95% CI -1, -0.6; p<0.0001) for linagliptin 2.5 mg/metformin 500 mg twice daily compared to linagliptin 5 mg once daily. Lipid effects were generally neutral. No meaningful change in body weight was noted in any of the 6 treatment groups.
Table 7 Glycemic Parameters at Final Visit (24-Week Trial) for Linagliptin and Metformin, Alone and in Combination in Randomized Patients with Type 2 Diabetes Mellitus Inadequately Controlled on Diet and Exercise**
| | Placebo | Linagliptin 5 mg Once Daily* | Metformin 500 mg Twice Daily | Linagliptin 2.5 mgTwice Daily* + Metformin 500 mg Twice Daily | Metformin 1,000 mg Twice Daily | Linagliptin 2.5 mg Twice Daily* + Metformin 1,000 mgTwice Daily |
| A1C (%) | | | | | | |
| Number of patients | n=65 | n=135 | n=141 | n=137 | n=138 | n=140 |
| Baseline (mean) | 8.7 | 8.7 | 8.7 | 8.7 | 8.5 | 8.7 |
| Change from baseline (adjusted mean****) | 0.1 | -0.5 | -0.6 | -1.2 | -1.1 | -1.6 |
| Difference from placebo (adjusted mean) (95% CI) | - | -0.6 (-0.9, -0.3) | -0.8 (-1, -0.5) | -1.3 (-1.6, -1.1) | -1.2 (-1.5, -0.9) | -1.7 (-2, -1.4) |
| Patients [n (%)] achieving A1C <7%*** | 7 (10.8) | 14 (10.4) | 26 (18.6) | 41 (30.1) | 42 (30.7) | 74 (53.6) |
| Patients (%) receivingrescue medication | 29.2 | 11.1 | 13.5 | 7.3 | 8 | 4.3 |
| FPG (mg/dL) | | | | | | |
| Number of patients | n=61 | n=134 | n=136 | n=135 | n=132 | n=136 |
| Baseline (mean) | 203 | 195 | 191 | 199 | 191 | 196 |
| Change from baseline (adjusted mean****) | 10 | -9 | -16 | -33 | -32 | -49 |
| Difference from placebo (adjusted mean) (95% CI) | - | -19 (-31, -6) | -26 (-38, -14) | -43 (-56, -31) | -42 (-55, -30) | -60 (-72, -47) |
*Total daily dosage of linagliptin is equal to 5 mg
**Full analysis population using last observation on trial
***Metformin 500 mg twice daily, n=140; Linagliptin 2.5 mg twice daily + Metformin 500 mg twice daily, n=136; Metformin 1,000 mg twice daily, n=137; Linagliptin 2.5 mg twice daily + Metformin 1,000 mg twice daily, n=138
****HbA1c: ANCOVA model included treatment and number of prior OADs as class-effects, as well as baseline HbA1c as continuous covariates. FPG: ANCOVA model included treatment and number of prior OADs as class-effects, as well as baseline HbA1c and baseline FPG as continuous covariates.
Figure 1 Adjusted Mean Change from Baseline for A1C (%) over 24 Weeks with Linagliptin and Metformin, Alone and in Combination in Patients with Type 2 Diabetes Mellitus Inadequately Controlled with Diet and Exercise - FAS completers
Initial Combination Therapy with Linagliptin and Metformin vs Linagliptin in Treatment-Naïve Patients
A total of 316 patients with type 2 diabetes mellitus diagnosed within the previous 12 months and treatment-naïve (no antidiabetic therapy for 12 weeks prior to randomization) and inadequate glycemic control (A1C ≥8.5% to ≤12%) participated in a 24-week, randomized, double-blind, trial designed to assess the efficacy of linagliptin in combination with metformin vs linagliptin. Patients were randomized (1:1), after a 2-week run-in period, to either linagliptin 5 mg plus metformin (1,500 to 2,000 mg per day, n=159) or linagliptin 5 mg plus placebo, (n=157) administered once daily. Patients in the linagliptin and metformin treatment group were up-titrated to a maximum tolerated dosage of metformin (1,000 to 2,000 mg per day) over a three-week period.
Initial therapy with the combination of linagliptin and metformin provided statistically significant improvements in A1C compared to linagliptin (Table 8). The mean difference between groups in A1C change from baseline was -0.8% with 2-sided 95% confidence interval
(-1.23%, -0.45%).
Table 8 Glycemic Parameters at 24 Weeks in Trial Comparing Linagliptin in Combination with Metformin to Linagliptin in Treatment-Naïve Patients*
| | Linagliptin 5 mg + Metformin | Linagliptin 5 mg + Placebo |
| A1C (%)* | | |
| Number of patients | n=153 | n=150 |
| Baseline (mean) | 9.8 | 9.9 |
| Change from baseline (adjusted mean) | -2.9 | -2 |
| Difference from linagliptin (adjusted mean**) (95% CI) | -0.84† (-1.23, -0.45) | - |
| Patients [n (%)] achieving A1C <7%* | 82 (53.6) | 45 (30) |
| FPG (mg/dL)* | | |
| Number of patients | n=153 | n=150 |
| Baseline (mean) | 196 | 198 |
| Change from baseline (adjusted mean) | -54 | -35 |
| Difference from linagliptin (adjusted mean**) (95% CI) | -18††(-31, -5.5) | - |
†p<0.0001 compared to linagliptin, ††p=0.0054 compared to linagliptin
*Full analysis set population
**A1C: MMRM model included treatment, continuous baseline A1C, baseline A1C by visit interaction, visit by treatment interaction, baseline renal impairment by treatment interaction and baseline renal impairment by treatment by visit interaction. FPG: MMRM model included treatment, continuous baseline A1C, continuous baseline FPG, baseline FPG by visit interaction, visit by treatment interaction, baseline renal impairment by treatment interaction and baseline renal impairment by treatment by visit interaction.
The adjusted mean changes for A1C (%) from baseline over time for linagliptin and metformin as compared to linagliptin alone were maintained throughout the 24 week treatment period. Using the completers analysis the respective adjusted means for A1C (%) changes from baseline for linagliptin and metformin as compared to linagliptin alone were -1.9 and -1.3 at week 6, -2.6 and -1.8 at week 12, -2.7 and -1.9 at week 18, and -2.7 and -1.9 at week 24.
Changes in body weight from baseline were not clinically significant in either treatment group.
Add-On Combination Therapy with Metformin
A total of 701 patients with type 2 diabetes mellitus participated in a 24-week, randomized, double-blind, placebo-controlled trial designed to assess the efficacy of linagliptin in combination with metformin. Patients already on metformin (n=491) at a dosage of at least 1,500 mg per day were randomized after completing a 2-week, open-label, placebo run-in period. Patients on metformin and another antihyperglycemic agent (n=207) were randomized after a run-in period of approximately 6 weeks on metformin (at a dosage of at least 1,500 mg per day) in monotherapy. Patients were randomized to the addition of either linagliptin 5 mg or placebo, administered once daily. Patients who failed to meet specific glycemic goals during the studies were treated with glimepiride rescue.
In combination with metformin, linagliptin provided statistically significant improvements in A1C, FPG, and 2-hour PPG compared with placebo (Table 9). Rescue glycemic therapy was used in 7.8% of patients treated with linagliptin 5 mg and in 18.9% of patients treated with placebo. A similar decrease in body weight was observed for both treatment groups.
Table 9 Glycemic Parameters in Placebo-Controlled Trial for Linagliptin in Combination with Metformin*
| | Linagliptin 5 mg + Metformin | Placebo + Metformin |
| A1C (%) | | |
| Number of patients | n=513 | n=175 |
| Baseline (mean) | 8.1 | 8 |
| Change from baseline (adjusted mean***) | -0.5 | 0.15 |
| Difference from placebo + metformin (adjusted mean) (95% CI) | -0.6 (-0.8, -0.5) | - |
| Patients [n (%)] achieving A1C <7%** | 127 (26.2) | 15 (9.2) |
| FPG (mg/dL) | | |
| Number of patients | n=495 | n=159 |
| Baseline (mean) | 169 | 164 |
| Change from baseline (adjusted mean***) | -11 | 11 |
| Difference from placebo + metformin (adjusted mean) (95% CI) | -21 (-27, -15) | - |
| 2-hour PPG (mg/dL) | | |
| Number of patients | n=78 | n=21 |
| Baseline (mean) | 270 | 274 |
| Change from baseline (adjusted mean***) | -49 | 18 |
| Difference from placebo + metformin (adjusted mean) (95% CI) | -67 (-95, -40) | - |
* Full analysis population using last observation on trial
**Linagliptin 5 mg + Metformin, n=485; Placebo + Metformin, n=163
***HbA1c: ANCOVA model included treatment and number of prior oral OADs as class-effects, as well as baseline HbA1c as continuous covariates. FPG: ANCOVA model included treatment and number of prior OADs as class-effects, as well as baseline HbA1c and baseline FPG as continuous covariates. PPG: ANCOVA model included treatment and number of prior OADs as class-effects, as well as baseline HbA1c and baseline postprandial glucose after two hours as covariate.
Active-Controlled Trial vs Glimepiride in Combination with Metformin
The efficacy of linagliptin was evaluated in a 104-week, double-blind, glimepiride-controlled non-inferiority trial in type 2 diabetic patients with insufficient glycemic control despite metformin therapy. Patients being treated with metformin only entered a run-in period of 2 weeks’ duration, whereas patients pretreated with metformin and one additional antihyperglycemic agent entered a run-in treatment period of 6 weeks’ duration with metformin monotherapy (dosage of ≥1,500 mg per day) and washout of the other agent. After an additional 2-week placebo run-in period, those with inadequate glycemic control (A1C 6.5% to 10%) were randomized 1:1 to the addition of linagliptin 5 mg once daily or glimepiride. Randomization was stratified by baseline HbA1c (<8.5% vs ≥8.5%), and the previous use of antidiabetic drugs (metformin alone vs metformin plus one other OAD). Patients receiving glimepiride were given an initial dosage of 1 mg/day and then electively titrated over the next 12 weeks to a maximum dosage of 4 mg/day as needed to optimize glycemic control. Thereafter, the glimepiride dosage was to be kept constant, except for down-titration to prevent hypoglycemia.
After 52 weeks and 104 weeks, linagliptin and glimepiride both had reductions from baseline in A1C (52 weeks: -0.4% for linagliptin, -0.6% for glimepiride; 104 weeks: -0.2% for linagliptin,
-0.4% for glimepiride) from a baseline mean of 7.7% (Table 10). The mean difference between groups in A1C change from baseline was 0.2% with 2-sided 97.5% confidence interval (0.1%, 0.3%) for the intent-to-treat population using last observation carried forward. These results were consistent with the completers analysis.
Table 10 Glycemic Parameters at 52 and 104 Weeks in Trial Comparing Linagliptin to Glimepiride as Add-On Therapy in Patients Inadequately Controlled on Metformin**
| | Week 52 | Week 104 | ||
| | Linagliptin 5 mg + Metformin | Glimepiride + Metformin(mean glimepiride dosage 3 mg) | Linagliptin 5 mg + Metformin | Glimepiride + Metformin(mean glimepiride dosage 3 mg) |
| A1C (%) | | | | |
| Number of patients | n=764 | n=755 | n=764 | n=755 |
| Baseline (mean) | 7.7 | 7.7 | 7.7 | 7.7 |
| Change from baseline (adjusted mean***) | -0.4 | -0.6 | -0.2 | -0.4 |
| Difference from glimepiride (adjusted mean) (97.5% CI) | 0.2 (0.1, 0.3) | - | 0.2 (0.1, 0.3) | - |
| FPG (mg/dL) | | | | |
| Number of patients | n=733 | n=725 | n=733 | n=725 |
| Baseline (mean) | 164 | 166 | 164 | 166 |
| Change from baseline (adjusted mean***) | -8* | -15 | -2† | -9 |
*p<0.0001 vs glimepiride; †p=0.0012 vs glimepiride
**Full analysis population using last observation on trial
***HbA1c: ANCOVA model included treatment and number of prior OADs as class-effects, as well as baseline HbA1c as continuous covariates. FPG: ANCOVA model included treatment and number of prior OADs as class-effects, as well as baseline HbA1c and baseline FPG as continuous covariates.
Patients treated with linagliptin had a mean baseline body weight of 86 kg and were observed to have an adjusted mean decrease in body weight of 1.1 kg at 52 weeks and 1.4 kg at 104 weeks. Patients on glimepiride had a mean baseline body weight of 87 kg and were observed to have an adjusted mean increase from baseline in body weight of 1.4 kg at 52 weeks and 1.3 kg at 104 weeks (treatment difference p<0.0001 for both timepoints).
Add-On Combination Therapy with Metformin and a Sulfonylurea
A total of 1,058 patients with type 2 diabetes mellitus participated in a 24-week, randomized, double-blind, placebo-controlled trial designed to assess the efficacy of linagliptin in combination with a sulfonylurea and metformin. The most common sulfonylureas used by patients in the trial were glimepiride (31%), glibenclamide (26%), and gliclazide (26% [not available in the United States]). Patients on a sulfonylurea and metformin were randomized to receive linagliptin 5 mg or placebo, each administered once daily. Patients who failed to meet specific glycemic goals during the trial were treated with pioglitazone rescue. Glycemic end points measured included A1C and FPG.
In combination with a sulfonylurea and metformin, linagliptin provided statistically significant improvements in A1C and FPG compared with placebo (Table 11). In the entire trial population (patients on linagliptin in combination with a sulfonylurea and metformin), a mean reduction from baseline relative to placebo in A1C of -0.6% and in FPG of -13 mg/dL was seen. Rescue therapy was used in 5.4% of patients treated with linagliptin 5 mg and in 13% of patients treated with placebo. Change from baseline in body weight did not differ significantly between the groups.
Table 11 Glycemic Parameters at Final Visit (24-Week Trial) for Linagliptin in Combination with Metformin and Sulfonylurea*
| | Linagliptin 5 mg + Metformin + SU | Placebo + Metformin + SU |
| A1C (%) | | |
| Number of patients | n=778 | n=262 |
| Baseline (mean) | 8.2 | 8.1 |
| Change from baseline (adjusted mean***) | -0.7 | -0.1 |
| Difference from placebo (adjusted mean) (95% CI) | -0.6 (-0.7, -0.5) | - |
| Patients [n (%)] achieving A1C <7%** | 217 (29.2) | 20 (8.1) |
| FPG (mg/dL) | | |
| Number of patients | n=739 | n=248 |
| Baseline (mean) | 159 | 163 |
| Change from baseline (adjusted mean***) | -5 | 8 |
| Difference from placebo (adjusted mean) (95% CI) | -13 (-18, -7) | - |
SU=sulfonylurea
*Full analysis population using last observation on trial
**Linagliptin 5 mg + Metformin + SU, n=742; Placebo + Metformin + SU, n=247
***HbA1c: ANCOVA model included treatment as class-effects and baseline HbA1c as continuous covariates. FPG: ANCOVA model included treatment as class-effects, as well as baseline HbA1c and baseline FPG as continuous covariates.
14.2 Linagliptin Cardiovascular Safety Trials In Patients With Type 2 Diabetes Mellitus
CARMELINA
The cardiovascular risk of linagliptin was evaluated in CARMELINA, a multi-national, multi-center, placebo-controlled, double-blind, parallel group trial comparing linagliptin (N=3,494) to placebo (N=3,485) in adult patients with type 2 diabetes mellitus and a history of established macrovascular and/or renal disease. The trial compared the risk of major adverse cardiovascular events (MACE) between linagliptin and placebo when these were added to standard of care treatments for diabetes mellitus and other cardiovascular risk factors. The trial was event driven, the median duration of follow-up was 2.2 years and vital status was obtained for 99.7% of patients.
Patients were eligible to enter the trial if they were adults with type 2 diabetes mellitus, with HbA1c of 6.5% to 10%, and had either albuminuria and previous macrovascular disease (39% of enrolled population), or evidence of impaired renal function by eGFR and Urinary Albumin Creatinine Ratio (UACR) criteria (42% of enrolled population), or both (18% of enrolled population).
At baseline the mean age was 66 years and the population was 63% male, 80% White, 9% Asian, 6% Black or African American and 36% were of Hispanic or Latino ethnicity. Mean HbA1c was 8% and mean duration of type 2 diabetes mellitus was 15 years. The trial population included 17% patients ≥75 years of age and 62% patients with renal impairment defined as eGFR <60 mL/min/1.73 m2. The mean eGFR was 55 mL/min/1.73 m2 and 27% of patients had mild renal impairment (eGFR 60 to 90 mL/min/1.73 m2), 47% of patients had moderate renal impairment (eGFR 30 to <60 mL/min/1.73 m2) and 15% of patients had severe renal impairment (eGFR <30 mL/min/1.73 m2). Patients were taking at least one antidiabetic drug (97%), and the most common were insulin and analogues (57%), metformin (54%) and sulfonylurea (32%). Patients were also taking antihypertensives (96%), lipid lowering drugs (76%) with 72% on statin, and aspirin (62%).
The primary endpoint, MACE, was the time to first occurrence of one of three composite outcomes which included cardiovascular death, non-fatal myocardial infarction or non-fatal stroke. The trial was designed as a non-inferiority trial with a pre-specified risk margin of 1.3 for the hazard ratio of MACE.
The results of CARMELINA, including the contribution of each component to the primary composite endpoint, are shown in Table 12. The estimated hazard ratio for MACE associated with linagliptin relative to placebo was 1.02 with a 95% confidence interval of (0.89, 1.17). The upper bound of this confidence interval, 1.17, excluded the risk margin of 1.3. The Kaplan-Meier curve depicting time to first occurrence of MACE is shown in Figure 2.
Table 12 Major Adverse Cardiovascular Events (MACE) by Treatment Group in the CARMELINA Trial
| | Linagliptin 5 mg n = 3,494 | Placebo n = 3,485 | Hazard Ratio | ||
| | Number of Subjects (%) | Incidence Rate per 1,000 PY* | Number of Subjects (%) | Incidence Rate per 1,000 PY* | (95% CI) |
Composite of first event of CV death, nonfatal myocardial infarction (MI), or non-fatal stroke (MACE) | 434 (12.4) | 57.7 | 420 (12.1) | 56.3 | 1.02 (0.89, 1.17) |
| CV death** | 255 (7.3) | 32.6 | 264 (7.6) | 34 | 0.96 (0.81, 1.14) |
| Non-fatal MI** | 156 (4.5) | 20.6 | 135 (3.9) | 18 | 1.15 (0.91, 1.45) |
| Non-fatal stroke** | 65 (1.9) | 8.5 | 73 (2.1) | 9.6 | 0.88 (0.63, 1.23) |
*PY=patient years
**A patient may have experienced more than one component; therefore, the sum of the components is larger than the number of patients who experienced the composite outcome.
Figure 2 Kaplan-Meier: Time to First Occurrence of MACE in the CARMELINA Trial
CAROLINA
The cardiovascular risk of linagliptin was evaluated in CAROLINA, a multi-center, multi-national, randomized, double-blind, parallel group trial comparing linagliptin (N=3,023) to glimepiride (N=3,010) in adult patients with type 2 diabetes mellitus and a history of established cardiovascular disease and/or multiple cardiovascular risk factors. The trial compared the risk of major adverse cardiovascular events (MACE) between linagliptin and glimepiride when these were added to standard of care treatments for diabetes mellitus and other cardiovascular risk factors. The trial was event driven, the median duration of follow-up was 6.23 years and vital status was obtained for 99.3% of patients.
Patients were eligible to enter the trial if they were adults with type 2 diabetes mellitus with insufficient glycemic control (defined as HbA1c of 6.5% to 8.5% or 6.5% to 7.5% depending on whether treatment-naïve, on monotherapy or on combination therapy), and were defined to be at high cardiovascular risk with previous vascular disease, evidence of vascular related end-organ damage, age ≥70 years, and/or two cardiovascular risk factors (duration of diabetes mellitus >10 years, systolic blood pressure >140 mmHg, current smoker, LDL cholesterol ≥135 mg/dL).
At baseline, the mean age was 64 years and the population was 60% male, 73% White, 18% Asian, 5% Black or African American, and 17% were of Hispanic or Latino ethnicity. The mean HbA1c was 7.15% and mean duration of type 2 diabetes mellitus was 7.6 years. The trial population included 34% patients ≥70 years of age and 19% patients with renal impairment defined as eGFR <60 mL/min/1.73 m2. The mean eGFR was 77 mL/min/1.73 m2. Patients were taking at least one antidiabetic drug (91%) and the most common were metformin (83%) and sulfonylurea (28%). Patients were also taking antihypertensives (89%), lipid lowering drugs (70%) with 65% on statin, and aspirin (47%).
The primary endpoint, MACE, was the time to first occurrence of one of three composite outcomes which included cardiovascular death, non-fatal myocardial infarction or non-fatal stroke. The trial was designed as a non-inferiority trial with a pre-specified risk margin of 1.3 for the upper bound of the 95% CI for the hazard ratio of MACE.
The results of CAROLINA, including the contribution of each component to the primary composite endpoint, are shown in Table 13. The Kaplan-Meier curve depicting time to first occurrence of MACE is shown in Figure 3.
Table 13 Major Adverse Cardiovascular Events (MACE) by Treatment Group in the CAROLINA Trial
| | Linagliptin 5 mg n=3,023 | Glimepiride (1 mg to 4 mg) n=3,010 | Hazard Ratio | ||
| | Number of Subjects (%) | Incidence Rate per 1,000 PY* | Number of Subjects (%) | Incidence Rate per 1,000 PY* | (95% CI) |
| Composite of first event of CV death, nonfatal myocardial infarction (MI), or non-fatal stroke (MACE) | 356 (11.8) | 20.7 | 362 (12) | 21.2 | 0.98 (0.84, 1.14) |
| CV death** | 169 (5.6) | 9.2 | 168 (5.6) | 9.2 | 1. (0.81, 1.24) |
| Non-fatal MI** | 145 (4.8) | 8.3 | 142 (4.7) | 8.2 | 1.01 (0.80, 1.28) |
| Non-fatal stroke** | 91 (3) | 5.2 | 104 (3.5) | 6 | 0.87 (0.66, 1.15) |
*PY=patient years
**A patient may have experienced more than one component; therefore, the sum of the components is larger than the number of patients who experienced the composite outcome
Figure 3 Time to First Occurrence of 3P-MACE in CAROLINA
16 How Supplied/Storage And Handling
Linagliptin and metformin hydrochloride tablets 2.5 mg/500 mg are yellow, oval, biconvex film-coated tablets debossed with “500” on one side and “LM” on the other side, and are supplied as follows:
Bottles of 60 (NDC 72205-407-01)
Bottles of 180 (NDC 72205-407-02)
Linagliptin and metformin hydrochloride tablets 2.5 mg/850 mg are orange, oval, biconvex film-coated tablets debossed with “850” on one side and “LM” on the other side, and are supplied as follows:
Bottles of 60 (NDC 72205-408-01)
Bottles of 180 (NDC 72205-408-02)
Linagliptin and metformin hydrochloride tablets 2.5 mg/1,000 mg are pink, oval, biconvex film-coated tablets debossed with “1000” on one side and “LM” on the other side, and are supplied as follows:
Bottles of 60 (NDC 72205-409-01)
Bottles of 180 (NDC 72205-409-02)
Storage
Store at 20°C to 25°C (68°F to 77°F); excursions permitted to 15°C to 30°C (59°F to 86°F) [see USP Controlled Room Temperature]. Protect from exposure to high humidity.
17 Patient Counseling Information
Advise the patient to read the FDA-approved patient labeling (Medication Guide)
Lactic Acidosis
Inform patients of the risks of lactic acidosis due to metformin, its symptoms, and conditions that predispose to its development. Advise patients to discontinue linagliptin and metformin hydrochloride immediately and to notify their healthcare provider promptly if unexplained hyperventilation, malaise, myalgia, unusual somnolence, or other nonspecific symptoms occur. Counsel patients against excessive alcohol intake and inform patients about importance of regular testing of renal function while receiving linagliptin and metformin hydrochloride. Instruct patients to inform their healthcare provider that they are taking linagliptin and metformin hydrochloride prior to any surgical or radiological procedure, as temporary discontinuation may be required until renal function has been confirmed to be normal [see Warnings and Precautions (5.1)].
Pancreatitis
Inform patients that acute pancreatitis has been reported during use of linagliptin. Inform patients that persistent severe abdominal pain, sometimes radiating to the back, which may or may not be accompanied by vomiting, is the hallmark symptom of acute pancreatitis. Instruct patients to discontinue linagliptin and metformin hydrochloride promptly and contact their healthcare provider if persistent severe abdominal pain occurs [see Warnings and Precautions (5.2)].
Hypoglycemia with Concomitant Use with Insulin and Insulin Secretagogues
Inform patients that the risk of hypoglycemia is increased when linagliptin and metformin hydrochloride is used in combination with an insulin secretagogue (e.g., sulfonylurea) or insulin [see Warnings and Precautions (5.3)].
Hypersensitivity Reactions
Inform patients that serious allergic reactions, such as anaphylaxis, angioedema, and exfoliative skin conditions, have been reported during postmarketing use of linagliptin (one of the components of linagliptin and metformin hydrochloride). If symptoms of allergic reactions (such as rash, skin flaking or peeling, urticaria, swelling of the skin, or swelling of the face, lips, tongue, and throat that may cause difficulty in breathing or swallowing) occur, patients must stop taking linagliptin and metformin hydrochloride and seek medical advice promptly [see Warnings and Precautions (5.4)] .
Vitamin B12 Deficiency
Inform patients about the importance of regular hematological parameters while receiving linagliptin and metformin hydrochloride [seeWarnings and Precautions (5.5)].
Severe and Disabling Arthralgia
Inform patients that severe and disabling joint pain may occur with this class of drugs. The time to onset of symptoms can range from one day to years. Instruct patients to seek medical advice if severe joint pain occurs [see Warnings and Precautions (5.6)].
Bullous Pemphigoid
Inform patients that bullous pemphigoid has been reported during use of linagliptin. Instruct patients to seek medical advice if blisters or erosions occur [see Warnings and Precautions (5.7)].
Heart Failure
Inform patients of the signs and symptoms of heart failure. Before initiating linagliptin and metformin hydrochloride, patients should be asked about a history of heart failure or other risk factors for heart failure including moderate to severe renal impairment. Instruct patients to contact their healthcare provider as soon as possible if they experience symptoms of heart failure, including increasing shortness of breath, rapid increase in weight or swelling of the feet [see Warnings and Precautions (5.8)].
Patients of Reproductive Potential
Inform patients that treatment with metformin may result in ovulation in some premenopausal anovulatory patients, which may lead to unintended pregnancy [see Use in Specific Populations (8.3)].
Missed Dose
Instruct patients to take linagliptin and metformin hydrochloride only as prescribed. If a dose is missed, it should be taken as soon as the patient remembers. Advise patients not to double their next dose.
Manufactured by:
MSN Laboratories Private Limited
Telangana - 509 228,
INDIA
Distributed by:
Novadoz Pharmaceuticals LLC
Piscataway, NJ 08854 -3714
The brands listed are trademarks or registered trademarks of their respective owners and are not affiliated with and do not endorse Novadoz Pharmaceuticals LLC.
Issued: 11/2025
Medication Guide
Linagliptin and metformin hydrochloride Tablets (LIN-a-GLIP-tin and met-FOR-min HYE-droe-KLOR-ide) for oral use |
What is the most important information I should know about linagliptin and metformin hydrochloride tablets? Linagliptin and metformin hydrochloride tablets can cause serious side effects, including: 1. Lactic acidosis. Metformin hydrochloride (HCl), one of the medicines in linagliptin and metformin hydrochloride tablets, can cause a rare but serious condition called lactic acidosis (a build-up of lactic acid in the blood) that can cause death. Lactic acidosis is a medical emergency and must be treated in a hospital. Stop taking linagliptin and metformin hydrochloride tablets and call your healthcare provider right away or go to the nearest hospital emergency room if you get any of the following symptoms of lactic acidosis: • feel very weak and tired • have unusual sleepiness or sleep longer than usual • have unusual (not normal) muscle pain • feel cold, especially in your arms and legs • have trouble breathing • feel dizzy or lightheaded • have unexplained stomach or intestinal problems with nausea and vomiting, or diarrhea • have a slow or irregular heartbeat You have a higher chance of getting lactic acidosis with linagliptin and metformin hydrochloride tablets if you: • have severe kidney problems. • have liver problems. • drink a lot of alcohol (very often or short-term “binge” drinking). • get dehydrated (lose a large amount of body fluids). This can happen if you are sick with a fever, vomiting, or diarrhea. Dehydration can also happen when you sweat a lot with activity or exercise and do not drink enough fluids. • have certain x-ray tests with injectable dyes or contrast agents. • have surgery or other procedures for which you need to restrict the amount of food and liquid you eat and drink. • have congestive heart failure. • have a heart attack, severe infection, or stroke. • are 65 years of age or older. Tell your healthcare provider if you have any of the problems in the list above. Tell your healthcare provider that you are taking linagliptin and metformin hydrochloride before you have surgery or x-ray tests. Your healthcare provider may decide to stop your linagliptin and metformin hydrochloride tablets for a while if you have surgery or certain x-ray tests. Linagliptin and metformin hydrochloride tablets can have other serious side effects. See “What are the possible side effects of linagliptin and metformin hydrochloride tablets?” 2. Inflammation of the pancreas (pancreatitis) which may be severe and lead to death. Certain medical problems make you more likely to get pancreatitis. Before you start taking linagliptin and metformin hydrochloride tablets, tell your healthcare provider if you have ever had: • inflammation of your pancreas (pancreatitis) • stones in your gallbladder (gallstones) • a history of alcoholism • high blood triglyceride levels Stop taking linagliptin and metformin hydrochloride tablets and call your healthcare provider right away if you have pain in your stomach area (abdomen) that is severe and will not go away. The pain may be felt going from your abdomen to your back. The pain may happen with or without vomiting. These may be symptoms of pancreatitis. |
What are linagliptin and metformin hydrochloride tablets?
|
Who should not take linagliptin and metformin hydrochloride tablets? Do not take linagliptin and metformin hydrochloride tablets if you: • have severe kidney problems. • have a condition called metabolic acidosis or diabetic ketoacidosis (increased ketones in the blood or urine). • are allergic to linagliptin metformin, or any of the ingredients in linagliptin and metformin hydrochloride tablets. See the end of this Medication Guide for a complete list of ingredients in linagliptin and metformin hydrochloride tablets. Symptoms of a serious allergic reaction to linagliptin and metformin hydrochloride tablets may include: o skin rash, itching, flaking or peeling o raised red patches on your skin (hives) o swelling of your face, lips, tongue and throat that may cause difficulty in breathing or swallowing o difficulty with swallowing or breathing If you have any of these symptoms, stop taking linagliptin and metformin hydrochloride tablets and call your healthcare provider right away or go to the nearest hospital emergency room. |
What should I tell my healthcare provider before taking linagliptin and metformin hydrochloride tablets? Before taking linagliptin and metformin hydrochloride tablets, tell your healthcare provider about all of your medical conditions, including if you: • have or have had inflammation of your pancreas (pancreatitis). • have kidney problems. • have liver problems. • have heart problems, including congestive heart failure. • are 65 years of age or older.
|
How should I take linagliptin and metformin hydrochloride tablets? • Take linagliptin and metformin hydrochloride tablets exactly as your healthcare provider tells you to take it.
|
What should I avoid while taking linagliptin and metformin hydrochloride tablets? Avoid drinking alcohol very often or drinking a lot of alcohol in a short period of time (“binge” drinking). It can increase your chances of getting serious side effects. |
What are the possible side effects of linagliptin and metformin hydrochloride tablets? Linagliptin and metformin hydrochloride tablets may cause serious side effects, including: • See “What is the most important information I should know about linagliptin and metformin hydrochloride tablets?” Low blood sugar (hypoglycemia). If you take linagliptin and metformin hydrochloride tablets with another medicine that can cause low blood sugar, such as a sulfonylurea or insulin, your risk of getting low blood sugar is higher. The dose of your sulfonylurea medicine or insulin may need to be lowered while you take linagliptin and metformin hydrochloride tablets. Signs and symptoms of low blood sugar may include: o headache o irritability o drowsiness o hunger o weakness o fast heartbeat o dizziness o sweating o confusion o shaking or feeling jittery • Allergic (hypersensitivity) reactions. Serious allergic reactions have happened in people who are taking linagliptin and metformin hydrochloride tablets. Symptoms may include: o swelling of your face, lips, tongue, throat, and other areas on your skin o difficulty with swallowing or breathing o raised, red areas on your skin (hives) o skin rash, itching, flaking, or peeling If you have any of these symptoms, stop taking linagliptin and metformin hydrochloride tablets and call your healthcare provider right away or go to the nearest hospital emergency room. • Low vitamin B12 (vitamin B12 deficiency). Using metformin for long periods of time may cause a decrease in the amount of vitamin B12 in your blood, especially if you have had low vitamin B12 blood levels before. Your healthcare provider may do blood tests to check your vitamin B12 levels. • Joint pain. Some people who take linagliptin, one of the medicines in linagliptin and metformin hydrochloride tablets, may develop joint pain that can be severe. Call your healthcare provider if you have severe joint pain. • Skin reaction. Some people who take medicines called DPP-4 inhibitors, one of the medicines in linagliptin and metformin hydrochloride tablets, may develop a skin reaction called bullous pemphigoid that can require treatment in a hospital. Tell your healthcare provider right away if you develop blisters or the breakdown of the outer layer of your skin (erosion). Your healthcare provider may tell you to stop taking linagliptin and metformin hydrochloride tablets. • Heart failure. Heart failure means your heart does not pump blood well enough. Before you start taking linagliptin and metformin hydrochloride tablets, tell your healthcare provider if you have ever had heart failure or have problems with your kidneys. Contact your healthcare provider right away if you have any of the following symptoms: • increasing shortness of breath or trouble breathing, especially when you lie down • swelling or fluid retention, especially in the feet, ankles or legs • an unusually fast increase in weight • unusual tiredness These may be symptoms of heart failure. The most common side effects of linagliptin and metformin hydrochloride tablets include: • stuffy or runny nose and sore throat • diarrhea Tell your healthcare provider if you have any side effects that bother you or that do not go away. These are not all the possible side effects of linagliptin and metformin hydrochloride tablets. For more information, ask your healthcare provider or pharmacist. Call your doctor for medical advice about side effects. You may report side effects to FDA at 1-800-FDA-1088. |
How should I store linagliptin and metformin hydrochloride tablets? • Store linagliptin and metformin hydrochloride tablets at room temperature between 68°F and 77°F (20°C and 25°C). • Keep tablets dry. • Keep linagliptin and metformin hydrochloride tablets and all medicines out of the reach of children. |
General information about the safe and effective use of linagliptin and metformin hydrochloride tablets. Medicines are sometimes prescribed for purposes other than those listed in a Medication Guide. Do not use linagliptin and metformin hydrochloride tablets for a condition for which it was not prescribed. Do not give linagliptin and metformin hydrochloride tablets to other people, even if they have the same symptoms you have. It may harm them. You can ask your pharmacist or healthcare provider for information about linagliptin and metformin hydrochloride tablets that is written for health professionals. |
What are the ingredients in linagliptin and metformin hydrochloride tablets? Active Ingredients: linagliptin and metformin hydrochloride Inactive Ingredients: colloidal silicon dioxide, copovidone, corn starch, hypromellose, magnesium stearate, meglumine, povidone, propylene glycol, titanium dioxide, talc. 2.5 mg/500 mg and 2.5 mg/850 mg tablets also contain yellow iron oxide. 2.5 mg/850 mg and 2.5 mg/1,000 mg tablets also contain red iron oxide. Manufactured by: MSN Laboratories Private Limited Telangana - 509 228, INDIA Distributed by: Novadoz Pharmaceuticals LLC. Piscataway, NJ 08854 -3714 The brands listed are trademarks or registered trademarks of their respective owners and are not affiliated with and do not endorse Novadoz Pharmaceuticals LLC.. For more information about linagliptin and metformin hydrochloride tablets, including current prescribing information and Medication Guide, go to www.novadozpharma.com or call 1-855-668-2369. |
This Medication Guide has been approved by the U.S. Food and Drug Administration. Issued: 11/2025
Package Label.Principal Display Panel
Linagliptin and metformin hydrochloride tablets 2.5 mg/500 mg 60's Container Label
Linagliptin and metformin hydrochloride tablets 2.5 mg/500 mg 180's Container Label
Linagliptin and metformin hydrochloride tablets 2.5 mg/850 mg 60's Container Label
Linagliptin and metformin hydrochloride tablets 2.5 mg/850 mg 180's Container Label
Linagliptin and metformin hydrochloride tablets 2.5 mg/1000 mg 60's Container Label
Linagliptin and metformin hydrochloride tablets 2.5 mg/1000 mg 180's Container Label
* Please review the disclaimer below.



