Product Images Enoxaparin Sodium

View Photos of Packaging, Labels & Appearance

Product Label Images

The following 26 images provide visual information about the product associated with Enoxaparin Sodium NDC 72572-280 by Civica, Inc., such as packaging, labeling, and the appearance of the drug itself. This resource could be helpful for medical professionals, pharmacists, and patients seeking to verify medication information and ensure they have the correct product.

Figure A - eno0j 0000 01

Figure A - eno0j 0000 01

Figure B - eno0j 0000 02

Figure B - eno0j 0000 02

Figure C - eno0j 0000 03

Figure C - eno0j 0000 03

Figure D - eno0j 0000 04

Figure D - eno0j 0000 04

Figure E - eno0j 0000 05

Figure E - eno0j 0000 05

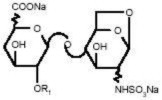
Structural Formula - eno0j 0000 06

Structural Formula - eno0j 0000 06

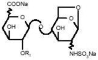
Structural Formula - eno0j 0000 07

Structural Formula - eno0j 0000 07

Figure - eno0j 0000 08

Figure - eno0j 0000 08

This is a table showing data related to various subgroups in a study, including details such as sex, age, infarct location, diabetes status, prior myocardial infarction, fibrinolytic agent used, time to treatment, PCI status, and outcomes. The table includes information on the number of patients, percentages, relative risk, and outcomes comparing Enoxaparin and Unfractionated Heparin (UFH) treatments. The results suggest that Enoxaparin may be better in some cases, as indicated in the "Enoxaparin better" section at the end.*

Figure - eno0j 0000 09

Figure - eno0j 0000 09

The text provides statistical results from a log-rank test with a significant p-value of less than 0.0001. The data also includes a hazard distribution function related to time to death or myocardial re-infarction in days. The number at risk for each group is displayed, showing the count for Enox and URH at different time points.*

Figure - eno0j 0000 10

Figure - eno0j 0000 10

This text seems to mention a plunger rod with a protective sleeve for post-use protection. This protective sleeve could help maintain the hygiene and cleanliness of the plunger rod.*

Figure - eno0j 0000 11

Figure - eno0j 0000 11

Enoxaparin sodium Prefilled Syringe - This product is a prefilled syringe containing enoxaparin sodium, a medication used for preventing blood clots. It is commonly used in the treatment and prevention of various conditions such as deep vein thrombosis and pulmonary embolism. The prefilled syringe provides convenient and accurate dosing for patients requiring anticoagulant therapy.*

Figure - eno0j 0000 12

Figure - eno0j 0000 12

Figure - eno0j 0000 13

Figure - eno0j 0000 13

Figure - eno0j 0000 14

Figure - eno0j 0000 14

Figure - eno0j 0000 15

Figure - eno0j 0000 15

Figure - eno0j 0000 16

Figure - eno0j 0000 16

Figure - eno0j 0000 17

Figure - eno0j 0000 17

Figure - eno0j 0000 18

Figure - eno0j 0000 18

Figure - eno0j 0000 19

Figure - eno0j 0000 19

Figure - eno0j 0000 20

Figure - eno0j 0000 20

Figure - eno0j 0000 21

Figure - eno0j 0000 21

Figure - eno0j 0000 22

Figure - eno0j 0000 22

Figure - eno0j 0000 23

Figure - eno0j 0000 23

A protective sleeve is a cover or casing designed to shield an item from damage or wear. It acts as a barrier against potential harm such as scratches, impacts, or dust, preserving the object's condition and longevity. Protective sleeves are commonly used for electronic devices, books, documents, and other valuable items that need safeguarding.*

Figure - eno0j 0000 24

Figure - eno0j 0000 24

PACKAGE LABEL – PRINCIPAL DISPLAY PANEL – Syringe Blister Label - eno0j 0000 25

PACKAGE LABEL – PRINCIPAL DISPLAY PANEL – Syringe Blister Label - eno0j 0000 25

This is a description of Enoxaparin Sodium Injection. Each syringe contains 40 mg of Enoxaparin sodium derived from porcine intestinal mucosa. The product is for subcutaneous injection and comes in single-dose syringe with an automatic safety device. Keep this product out of reach of children. A recommended code number for this syringe is APDRUGS 10357.*

PACKAGE LABEL – PRINCIPAL DISPLAY PANEL – Carton - eno0j 0000 26

PACKAGE LABEL – PRINCIPAL DISPLAY PANEL – Carton - eno0j 0000 26

* The product label images have been analyzed using a combination of traditional computing and machine learning techniques. It should be noted that the descriptions provided may not be entirely accurate as they are experimental in nature. Use the information in this page at your own discretion and risk.