Product Images Ephedrine Sulfate

View Photos of Packaging, Labels & Appearance

Product Label Images

The following 3 images provide visual information about the product associated with Ephedrine Sulfate NDC 72603-203 by Northstar Rxllc, such as packaging, labeling, and the appearance of the drug itself. This resource could be helpful for medical professionals, pharmacists, and patients seeking to verify medication information and ensure they have the correct product.

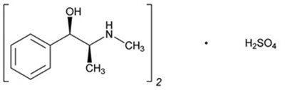
structural formula - ca13c146 3b3f 41a8 8877 8451daaeea9b 01

structural formula - ca13c146 3b3f 41a8 8877 8451daaeea9b 01

1 mL Vial Label - ca13c146 3b3f 41a8 8877 8451daaeea9b 02

1 mL Vial Label - ca13c146 3b3f 41a8 8877 8451daaeea9b 02

This text provides information about a medication called Ephedrine Sulfate Injection, USP. It needs to be diluted for intravenous use and comes in a 1 mL Single-Dose Vial. Each mL contains 50 mg of Ephedrine sulfate. The medication is manufactured by Maiva Pharma Private Limited in India for Northstar Rx LLC in Memphis, TN. The label also includes details about dosage equivalency and expiration dates.*

25-count Carton Label - ca13c146 3b3f 41a8 8877 8451daaeea9b 03

25-count Carton Label - ca13c146 3b3f 41a8 8877 8451daaeea9b 03

This is a description of a product containing Ephedrine Sulfate USP in 50mg/5ml concentration for intravenous use. The product must be stored at 20° to 25°C until use and discarded after single-use. It comes in 25 x 1 mL single-dose vials. The manufacturer is Maiva Pharma Private Limited in Hosur, India. The product is distributed by Northstar Rx LLC based in Memphis, TN. The details regarding expiration date, lot number, and specific instructions for use are also provided.*

* The product label images have been analyzed using a combination of traditional computing and machine learning techniques. It should be noted that the descriptions provided may not be entirely accurate as they are experimental in nature. Use the information in this page at your own discretion and risk.