Product Images Lacosamide

View Photos of Packaging, Labels & Appearance

Product Label Images

The following 6 images provide visual information about the product associated with Lacosamide NDC 72603-263 by Northstar Rxllc, such as packaging, labeling, and the appearance of the drug itself. This resource could be helpful for medical professionals, pharmacists, and patients seeking to verify medication information and ensure they have the correct product.

aspiro - aspiro

aspiro - aspiro

lacosamide-inj-fig-1 - lacosamide inj fig 1

lacosamide-inj-fig-1 - lacosamide inj fig 1

This information shows the percentage of seizure reduction with different doses of Lacosamide compared to a placebo in a clinical trial. The table displays the results for 200mg, 400mg, and 600mg doses of Lacosamide, highlighting the statistical significance in seizure reduction compared to the placebo.*

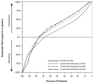
lacosamide-inj-fig-2 - lacosamide inj fig 2

lacosamide-inj-fig-2 - lacosamide inj fig 2

This text provides information on responder rates for different dosages of lacosamide as compared to placebo. The responder rates are categorized into improvement, worsening, and percentages based on different dosage levels. The data includes the number of patients in each group and the percentage of patients within each category.*

lacosamide-inj-structure - lacosamide inj structure

lacosamide-inj-structure - lacosamide inj structure

lacosamideviallabel10mgml - lacosamide vial label 10 mg ml

lacosamideviallabel10mgml - lacosamide vial label 10 mg ml

lacosamidevialcarton10mgml. - lacosamidevialcarton10mgml

lacosamidevialcarton10mgml. - lacosamidevialcarton10mgml

The text contains information about a pharmaceutical product: Lacosamide Injection, available in a strength of 200 mg/20 mL. The product is intended for intravenous use and batch details along with a 2D data matrix will be coded or printed on it. The text also includes instructions and dosage information for pharmacists. Finally, it mentions that the product will have an unvarnished area.*

* The product label images have been analyzed using a combination of traditional computing and machine learning techniques. It should be noted that the descriptions provided may not be entirely accurate as they are experimental in nature. Use the information in this page at your own discretion and risk.