Product Images Zolpidem Tartrate

View Photos of Packaging, Labels & Appearance

Product Label Images

The following 7 images provide visual information about the product associated with Zolpidem Tartrate NDC 72722-104 by The Acme Laboratories Ltd., such as packaging, labeling, and the appearance of the drug itself. This resource could be helpful for medical professionals, pharmacists, and patients seeking to verify medication information and ensure they have the correct product.

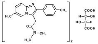
Image - e49e41d7 0f51 464f 8e31 2fb446e5f1e8 01

Image - e49e41d7 0f51 464f 8e31 2fb446e5f1e8 01

PRINCIPAL DISPLAY PANEL - 5 mg (100 Tablets) Bottle Label - e49e41d7 0f51 464f 8e31 2fb446e5f1e8 02

PRINCIPAL DISPLAY PANEL - 5 mg (100 Tablets) Bottle Label - e49e41d7 0f51 464f 8e31 2fb446e5f1e8 02

This text provides information on the usual adult dose of a medication and instructions for storage and dispensing. The medication is manufactured by The ACE Laboratories Ltd in Bangladesh. It is recommended to store the tablets at controlled room temperature between 2-25 degrees Celsius. The text advises dispensing in a light-resistant container and includes a reference number RO924.*

PRINCIPAL DISPLAY PANEL - 5 mg (1000 Tablets) Bottle Label - e49e41d7 0f51 464f 8e31 2fb446e5f1e8 03

PRINCIPAL DISPLAY PANEL - 5 mg (1000 Tablets) Bottle Label - e49e41d7 0f51 464f 8e31 2fb446e5f1e8 03

This text provides information about Zolpidem Tartrate tablets, including the recommended adult dose, storage instructions, and manufacturer details such as The ACME Laboratories Ltd. in Bangladesh. It also mentions the necessity of dispensing in a light-resistant, child-resistant container and provides a unique identification number.*

PRINCIPAL DISPLAY PANEL - 10 mg (100 Tablets) Bottle Label - e49e41d7 0f51 464f 8e31 2fb446e5f1e8 04

PRINCIPAL DISPLAY PANEL - 10 mg (100 Tablets) Bottle Label - e49e41d7 0f51 464f 8e31 2fb446e5f1e8 04

Zolpidem Tartrate tablets are typically taken at bedtime, with the usual adult dose being one or two tablets as prescribed. It is important to store the medication at a controlled room temperature of 20-25°C (68-77°F) and in a light-resistant, child-resistant container. This product is manufactured by The ACME Laboratories Ltd. in Bangladesh. For further details, refer to the complete prescribing information provided with the medication.*

PRINCIPAL DISPLAY PANEL - 10 mg (1000 Tablets) Bottle Label - e49e41d7 0f51 464f 8e31 2fb446e5f1e8 05

PRINCIPAL DISPLAY PANEL - 10 mg (1000 Tablets) Bottle Label - e49e41d7 0f51 464f 8e31 2fb446e5f1e8 05

This is a description of a medication labeled as Zolpidem 10mg tablets manufactured by The ACME Laboratories Ltd. It is recommended to take one or two tablets at bedtime as directed. The medication should be stored at a controlled room temperature of 25°C (66-77°F) and dispensed in a tight, light-resistant, child-resistant container. The prescription should be accompanied by the complete prescribing information and dispensed with a Medication Guide. The medicine should not be used in case of unverifiable areas of the tablet packaging.*

PRINCIPAL DISPLAY PANEL - 5 mg (30 Tablets) Bottle Label - e49e41d7 0f51 464f 8e31 2fb446e5f1e8 06

PRINCIPAL DISPLAY PANEL - 5 mg (30 Tablets) Bottle Label - e49e41d7 0f51 464f 8e31 2fb446e5f1e8 06

This text provides details about a medication's usual adult dose, storage instructions, manufacturer information, and a specific product code. It also mentions the need to dispense the medication in a specific type of container and reminds pharmacists to include a medication guide with the prescription. The text appears to be a label or package insert for a tablet medication called "Elrelig."*

PRINCIPAL DISPLAY PANEL - 10 mg (30 Tablets) Bottle Label - e49e41d7 0f51 464f 8e31 2fb446e5f1e8 07

PRINCIPAL DISPLAY PANEL - 10 mg (30 Tablets) Bottle Label - e49e41d7 0f51 464f 8e31 2fb446e5f1e8 07

This text provides information about Zolpidem Tartrate tablets, including the usual adult dose of one or two tablets at bedtime as directed. The storage instructions recommend keeping the medication at room temperature between 68°F to 77°F and dispensing it in a light-resistant, child-resistant container. The manufacturer is listed as The ACME Laboratories Ltd. located in Dhaka, Bangladesh. The text also mentions the need to dispense the medication with a Medication Guide.*

* The product label images have been analyzed using a combination of traditional computing and machine learning techniques. It should be noted that the descriptions provided may not be entirely accurate as they are experimental in nature. Use the information in this page at your own discretion and risk.