Product Images Ketoconazole
View Photos of Packaging, Labels & Appearance
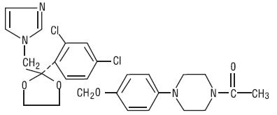
Product Label Images
The following 2 images provide visual information about the product associated with Ketoconazole NDC 72789-052 by Pd-rx Pharmaceuticals, Inc., such as packaging, labeling, and the appearance of the drug itself. This resource could be helpful for medical professionals, pharmacists, and patients seeking to verify medication information and ensure they have the correct product.
72789052 Label - 72789052

This is a medication package containing 30 tablets of Ketoconazole USP 200 mg. The tablets are to be taken several times a day, as prescribed by a doctor. Before using, check the medication's lot and expiration date. Medical advice should be sought from a doctor or reported to the FDA if side effects occur.*
* The product label images have been analyzed using a combination of traditional computing and machine learning techniques. It should be noted that the descriptions provided may not be entirely accurate as they are experimental in nature. Use the information in this page at your own discretion and risk.