Product Images Silodosin
View Photos of Packaging, Labels & Appearance
Product Label Images
The following 7 images provide visual information about the product associated with Silodosin NDC 72789-090 by Pd-rx Pharmaceuticals, Inc., such as packaging, labeling, and the appearance of the drug itself. This resource could be helpful for medical professionals, pharmacists, and patients seeking to verify medication information and ensure they have the correct product.
72789090 Label - 72789090

This is a medication with the active ingredient Silodosin, which is to be taken orally once a day with a meal. The usual adult dosage is not specified. The medication is contained in capsules, with each capsule containing 8mg of the active ingredient. The manufacturer is PD-Rx Pharmaceuticals, Inc. Full prescribing information is available in the package insert. The storage conditions recommended are to store at 25°C (77°F); excursions permitted to 15 to 30°C (59 to 86°F) and to protect from light and moisture. It is important to keep the medication out of reach of children. The product comes in a package of 30 capsules, with a unique identification code on the package.*
fig-2 - silodosin figure 02

The text describes a statistic related to the change from baseline in IPSS total score, represented by the letter "B". The value of B is not available in the given text. However, it is mentioned that the statistical significance of this change is denoted by p<0.0001, indicating strong evidence for the change. The numbers 35, 7, 14, and 28 likely refer to data points or groups being measured. The text also includes a timeline represented on a horizontal axis, with the measurement taken on day 84 or as a last observation carried forward (LOCF).*
fig-3 - silodosin figure 03

The text provides information on the change from baseline in IPSS total score with statistical significance (p-value of <0.0001). The rest of the text seems to be unreadable or not relevant.*
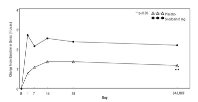
fig-4 - silodosin figure 04

This appears to be a report or a chart showing data related to a change in Qmax (maximum urine flow rate) over time, possibly in relation to a medication or treatment. The data includes a comparison between a placebo and an 8 mg dose, and indicates statistical significance with a p-value of less than 0.05. The timeframe of the study appears to be 84 days, with measurements taken on days 1, 7, 14, 28, and possibly more. Some of the characters are not legible due to the quality of the , but the general topic and layout of the information can be inferred.*
* The product label images have been analyzed using a combination of traditional computing and machine learning techniques. It should be noted that the descriptions provided may not be entirely accurate as they are experimental in nature. Use the information in this page at your own discretion and risk.