Product Images Tolterodine Tartrate

View Photos of Packaging, Labels & Appearance

Product Label Images

The following 4 images provide visual information about the product associated with Tolterodine Tartrate NDC 73152-026 by Athem Llc, such as packaging, labeling, and the appearance of the drug itself. This resource could be helpful for medical professionals, pharmacists, and patients seeking to verify medication information and ensure they have the correct product.

1mg-60ct - 1mg 60ct

1mg-60ct - 1mg 60ct

2mg-500ct - 2mg 500ct

2mg-500ct - 2mg 500ct

2mg-60ct - 2mg 60ct

2mg-60ct - 2mg 60ct

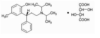
structure - structure

structure - structure